Autoionization of Ultracold Cesium Rydberg Atom in 37D5/2 State
Abstract
:1. Introduction
2. Experimental Setup
3. Autoionization Mechanism Analysis
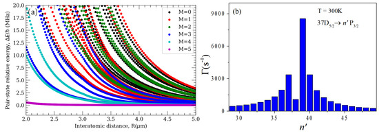
4. Results and Discussion
5. Conclusions
Author Contributions
Funding
Institutional Review Board Statement
Informed Consent Statement
Data Availability Statement
Conflicts of Interest
References
- Gallagher, T.F. Rydberg Atoms, 3rd ed.; Cambridge University Press: New York, NY, USA, 1994; pp. 1–9. [Google Scholar]
- Tong, D.; Farooqi, S.M.; Stanojevic, J.; Krishnan, S.; Zhang, Y.P.; Côté, R.; Eyler, E.E.; Gould, P.L. Local blockade of Rydberg excitation in an ultracold gas. Phys. Rev. Lett. 2004, 93, 063001. [Google Scholar] [CrossRef] [PubMed] [Green Version]
- Urban, U.; Johnson, T.A.; Henage, T.; Isenhower, L.; Yavuz, D.D.; Walker, T.G.; Saffman, M. Observation of Rydberg blockade between two atoms. Nat. Phys. 2009, 5, 110–114. [Google Scholar] [CrossRef]
- Mourachko, I.; Comparat, D.A.; Tomasi, F.D.; Fioretti, A.; Nosbaum, P.; Akulin, V.M.; Pillet, P. Many-Body Effects in a Frozen Rydberg Gas. Phys. Rev. Lett. 1998, 80, 253–256. [Google Scholar] [CrossRef]
- Carroll, T.J.; Sunder, S.; Noel, M.W. Many-body interactions in a sample of ultracold Rydberg atoms with varying dimensions and densities. Phys. Rev. A 2006, 73, 032725. [Google Scholar] [CrossRef] [Green Version]
- Walz-Flannigan, A.; Guest, J.R.; Choi, J.-H.; Raithel, G. Cold-Rydberg-gas dynamics. Phys. Rev. A 2004, 69, 063405. [Google Scholar] [CrossRef] [Green Version]
- Li, W.; Noel, M.W.; Robinson, M.P.; Tanner, P.J.; Gallagher, T.F.; Comparat, D.; Tolra, B.L.; Vanhaecke, N.; Vogt, T.; Zahzam, N.; et al. A. Evolution dynamics of a dense frozen Rydberg gas to plasma. Phys. Rev. A 2004, 70, 042713. [Google Scholar] [CrossRef] [Green Version]
- Li, W.; Tanner, P.J.; Gallagher, T.F. Dipole-Dipole Excitation and Ionization in an Ultracold Gas of Rydberg Atoms. Phys. Rev. Lett. 2005, 94, 173001. [Google Scholar] [CrossRef]
- Amthor, T.; Reetz-Lamou, M.; Giese, C.; Weidemüller, M. Modeling many-particle mechanical effects of an interacting Rydberg gas. Phys. Rev. A 2007, 76, 054702. [Google Scholar] [CrossRef] [Green Version]
- Weimer, H.; Müller, M.; Lesanovsky, I.; Zoller, P.; Büchler, H.P. A Rydberg quantum simulator. Nat. Phys. 2010, 6, 382–388. [Google Scholar] [CrossRef] [Green Version]
- Browaeys, A.; Lahaye, T. Many-body physics with individually controlled Rydberg atoms. Nat. Phys. 2020, 16, 132–142. [Google Scholar] [CrossRef]
- Lukin, M.D.; Fleischhauer, M.; Cote, R.; Duan, L.M.; Jaksch, D.; Cirac, J.I.; Zoller, P. Dipole Blockade and Quantum Information Processing in Mesoscopic Atomic Ensembles. Phys. Rev. Lett. 2001, 87, 037901. [Google Scholar] [CrossRef] [PubMed] [Green Version]
- Jaksch, D.; Cirac, J.I.; Zoller, P.; Rolston, S.L.; Côté, R.; Lukin, M.D. Fast Quantum Gates for Neutral Atoms. Phys. Rev. Lett. 2000, 85, 2208. [Google Scholar] [CrossRef] [PubMed] [Green Version]
- Bloom, B.J.; Nicholson, T.L.; Williams, J.R.; Campbell, S.L.; Bishof, M.; Zhang, X.; Zhang, W.; Bromley, S.L.; Ye, J. An optical lattice clock with accuracy and stability at the 10-18 level. Nature 2014, 506, 71–75. [Google Scholar] [CrossRef] [PubMed] [Green Version]
- Amthor, T.; Denskat, J.; Giese, C.; Bezuglov, N.N.; Ekers, A.; Cederbaum, L.S.; Weidemüller, M. Autoionization of an ultracold Rydberg gas through resonant dipole coupling. Eur. Phys. J. D 2009, 53, 329–335. [Google Scholar] [CrossRef] [Green Version]
- Efimov, D.D.; Miculis, K.; Bezuglov, N.N.; Ekers, A. Strong enhancement of Penning ionization for asymmetric atom pairs in cold Rydberg gases: The Tom and Jerry effect. J. Phys. B At. Mol. Opt. Phys. 2016, 49, 125302. [Google Scholar] [CrossRef]
- Robinson, M.P.; Tolra, B.L.; Noel, M.W.; Gallagher, T.F.; Pillet, P. Spontaneous Evolution of Rydberg Atoms into an Ultracold Plasma. Phys. Rev. Lett. 2000, 85, 4466. [Google Scholar] [CrossRef] [Green Version]
- Olson, R. Ionization Cross Sections for Rydberg-Atom-Rydberg-Atom Collisions. Phys. Rev. Lett. 1979, 43, 126. [Google Scholar] [CrossRef]
- Yoshida, S.; Burgdörfer, J.; Fields, G.; Brienza, R.; Dunning, F.B. Giant cross sections for L changing in Rydberg-Rydberg collisions. Phys. Rev. A 2020, 102, 022805. [Google Scholar] [CrossRef]
- Hahn, Y. Density dependence of molecular autoionization in a cold gas. J. Phys. B At. Mol. Opt. Phys 2000, 33, L655. [Google Scholar] [CrossRef]
- Gawlas, K.; Hogan, S.D. Rydberg-state ionization dynamics and tunnel ionization rates in strong electric fields. Phys. Rev. A 2019, 99, 013421. [Google Scholar] [CrossRef] [Green Version]
- Stecker, M.; Noldg, R.; Steinert, L.M.; Grimmel, J.; Petrosyan, D.; Fortgh, J.; Günther, A. Controlling the Dipole Blockade and Ionization Rate of Rydberg Atoms in Strong Electric Fields. Phys. Rev. Lett. 2020, 125, 103602. [Google Scholar] [CrossRef] [PubMed]
- Beterov, I.I.; Tretyakov, D.B.; Ryabtsev, I.I.; Entin, V.M.; Ekers, A.; Bezuglov, N.N. Ionization of Rydberg atoms by blackbody radiation. New J. Phys. 2009, 11, 013052. [Google Scholar] [CrossRef] [Green Version]
- Miculis, K.; Beterov, I.I.; Bezuglov, N.N.; Ryabtsev, I.I.; Tretyakov, D.B.; Ekers, A.; Klucharev, A.N. Collisional and thermal ionization of sodium Rydberg atoms: II. Theory for nS, nP and nD states with n = 5–25. J. Phys. B At. Mol. Opt. Phys 2005, 38, 1811. [Google Scholar] [CrossRef] [Green Version]





Publisher’s Note: MDPI stays neutral with regard to jurisdictional claims in published maps and institutional affiliations. |
© 2022 by the authors. Licensee MDPI, Basel, Switzerland. This article is an open access article distributed under the terms and conditions of the Creative Commons Attribution (CC BY) license (https://creativecommons.org/licenses/by/4.0/).
Share and Cite
Jiao, Y.; Hao, L.; Fan, J.; Bai, J.; Zhao, J.; Jia, S. Autoionization of Ultracold Cesium Rydberg Atom in 37D5/2 State. Photonics 2022, 9, 352. https://doi.org/10.3390/photonics9050352
Jiao Y, Hao L, Fan J, Bai J, Zhao J, Jia S. Autoionization of Ultracold Cesium Rydberg Atom in 37D5/2 State. Photonics. 2022; 9(5):352. https://doi.org/10.3390/photonics9050352
Chicago/Turabian StyleJiao, Yuechun, Liping Hao, Jiabei Fan, Jingxu Bai, Jianming Zhao, and Suotang Jia. 2022. "Autoionization of Ultracold Cesium Rydberg Atom in 37D5/2 State" Photonics 9, no. 5: 352. https://doi.org/10.3390/photonics9050352
APA StyleJiao, Y., Hao, L., Fan, J., Bai, J., Zhao, J., & Jia, S. (2022). Autoionization of Ultracold Cesium Rydberg Atom in 37D5/2 State. Photonics, 9(5), 352. https://doi.org/10.3390/photonics9050352

