Rectifying Nonreciprocal Perfect Absorber Based on Generalized Effective-Medium Theory for Composite Magnetic Metamaterials
Abstract
1. Introduction
2. Effective-Medium Theory
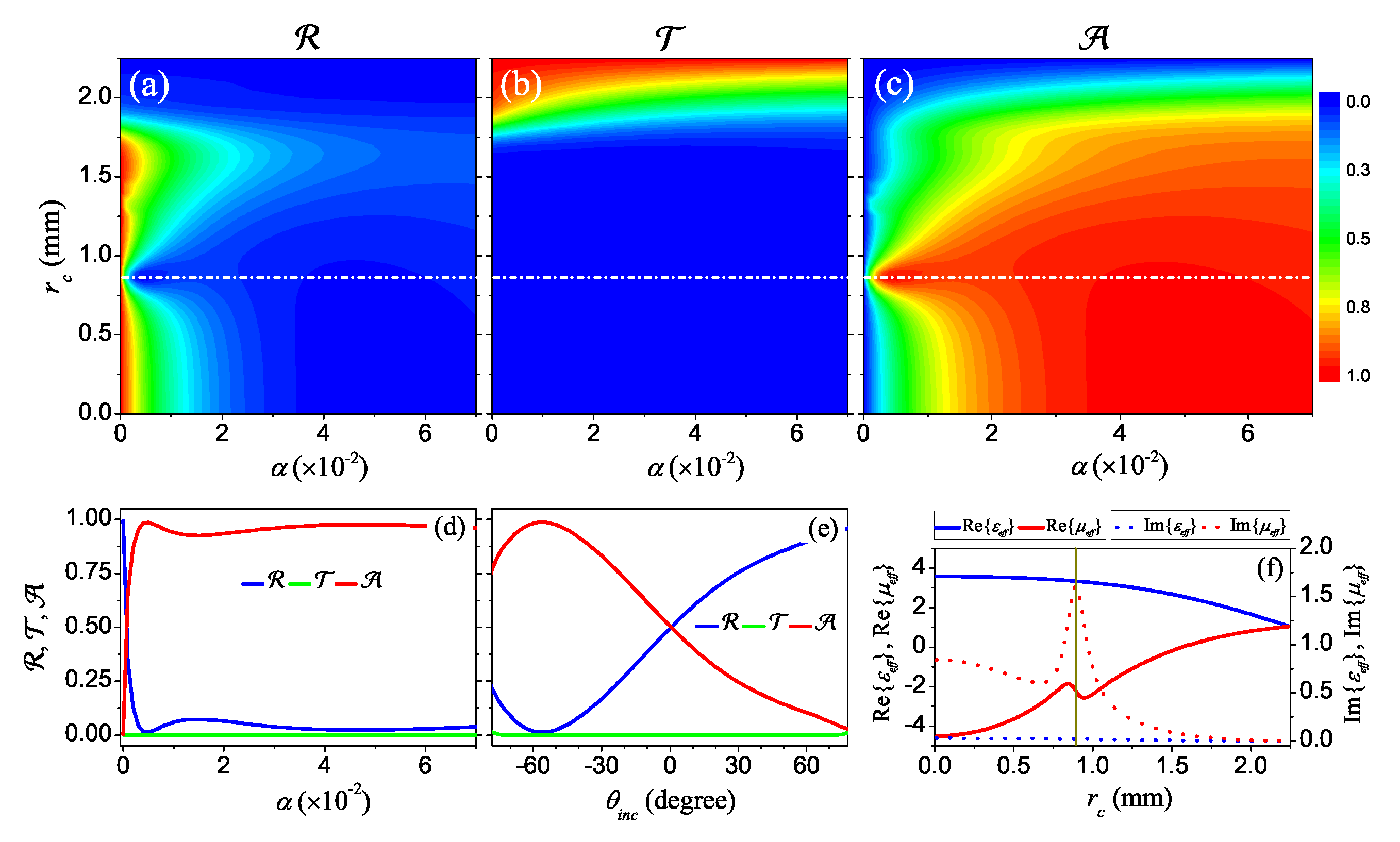
3. Nonreciprocal Perfect Absorption by Composite MMs
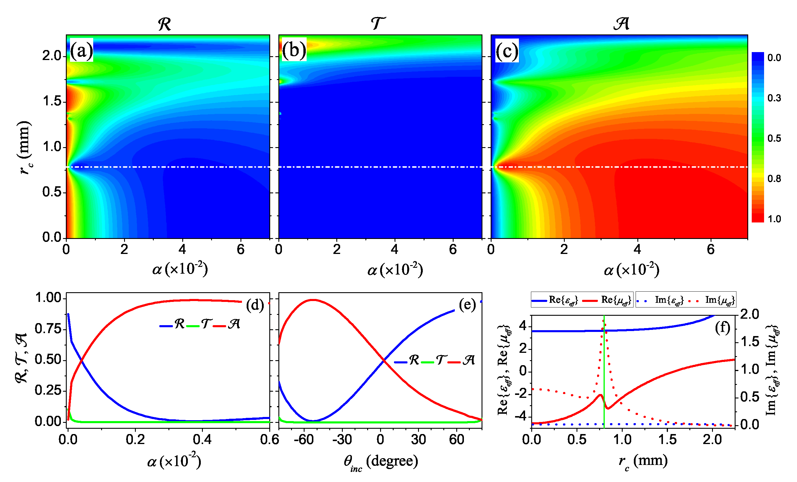
4. Improving Nonreciprocity by Optimizing the DCL Ferrite Rod
5. Tunability by a BMF
6. Conclusions
Author Contributions
Funding
Institutional Review Board Statement
Informed Consent Statement
Data Availability Statement
Conflicts of Interest
References
- Walther, K. Reflection factor of gradual-transition absorbers for electromagnetic and acoustic waves. IRE Trans. Anten. Propag. 1960, 8, 608–621. [Google Scholar] [CrossRef]
- Naito, Y.; Suetake, K. Application of ferrite to electromagnetic wave absorber and its characteristics. IEEE Trans. Microwave Theory Tech. 1971, MTT-19, 65–72. [Google Scholar] [CrossRef]
- Aoto, T.; Yoshida, N.; Fukai, I. Transient analysis of the electromagnetic field for a wave absorber in three-dimensional space. IEEE Trans. Electromagn. Compat. 1987, EMC-29, 18–23. [Google Scholar] [CrossRef]
- Kim, K.Y.; Kim, W.S.; Hong, S.Y. A study on the behaviour of laminated electromagnetic wave absorber. IEEE Trans. Magn. 1993, 29, 2134–2138. [Google Scholar]
- Kim, D.I.; Takahashi, M.; Anzai, H.; Jun, S.Y. Electromagnetic wave absorber with wide-band frequency characteristics using exponentially tapered ferrite. IEEE Trans. Electromagn. Compat. 1996, 38, 173–177. [Google Scholar]
- Huang, Y.F.; Chattopadhyay, S.; Jen, Y.J.; Peng, C.Y.; Liu, T.A.; Hsu, Y.K.; Pan, C.L.; Lo, H.C.; Hsu, C.H.; Chang, Y.H.; et al. Improved broadband and quasiomnidirectional anti-reflection properties with biomimetic silicon nanostructures. Nat. Nanotechnol. 2007, 2, 770–774. [Google Scholar] [CrossRef]
- Yang, Z.P.; Ci, L.J.; Bur, J.A.; Lin, S.Y.; Ajayan, P.M. Experimental observation of an extremely dark material made by a low-density nanotube array. Nano Lett. 2008, 8, 446–451. [Google Scholar] [CrossRef]
- Kim, T.; Do, H.W.; Choi, K.J.; Kim, S.; Lee, M.; Kim, T.; Yu, B.K.; Cheon, J.; Min, B.W.; Shim, W. Layered aluminum for electromagnetic wave absorber with near-zero reflection. Nano Lett. 2021, 21, 1132–1140. [Google Scholar] [CrossRef]
- Liang, J.; Ye, F.; Cao, Y.C.; Mo, R.; Cheng, L.F.; Song, Q. Defect-engineered graphene/Si3N4 multilayer alternating core-shell nanowire membrane: A plainified hybrid for broadband electromagnetic wave absorption. Adv. Funct. Mater. 2022, 32, 2200141. [Google Scholar] [CrossRef]
- Hu, H.B.; Gao, J.H.; Wang, W.; Tang, S.W.; Zhou, L.; He, Q.; Wu, H.C.; Zheng, X.Y.; Li, X.Y.; Li, X.H.; et al. Ultra-broadband perfect absorber based on self-organizing multi-scale plasmonic nanostructures. Appl. Mater. Today 2022, 26, 101266. [Google Scholar] [CrossRef]
- Cheng, J.Y.; Zhang, H.B.; Wang, H.H.; Huang, Z.H.; Raza, H.; Hou, C.X.; Zheng, G.P.; Zhang, D.Q.; Zheng, Q.B.; Che, R.C. Tailoring self-polarization of bimetallic organic frameworks with multiple polar units toward high-performance consecutive multi-band electromagnetic wave absorption at gigahertz. Adv. Funct. Mater. 2022, 32, 2201129. [Google Scholar] [CrossRef]
- Wu, Z.C.; Cheng, H.W.; Jin, C.; Yang, B.T.; Xu, C.Y.; Pei, K.; Zhang, H.B.; Yang, Z.Q.; Che, R.C. Dimensional design and core-shell engineering of nanomaterials for electromagnetic wave absorption. Adv. Mater. 2022, 34, 2107538. [Google Scholar] [CrossRef]
- Tao, H.; Landy, N.I.; Bingham, C.M.; Zhang, X.; Averitt, R.D.; Padilla, W.J. A metamaterial absorber for the terahertz regime: Design, fabrication and characterization. Opt. Express 2008, 16, 7181–7188. [Google Scholar] [CrossRef]
- Landy, N.I.; Sajuyigbe, S.; Mock, J.J.; Smith, D.R.; Padilla, W.J. Perfect metamaterial absorber. Phys. Rev. Lett. 2008, 100, 207402. [Google Scholar] [CrossRef]
- Ma, Y.; Chen, Q.; Grant, J.; Saha, S.C.; Khalid, A.; Cumming, D.R. A terahertz polarization insensitive dual band metamaterial absorber. Opt. Lett. 2011, 36, 945–947. [Google Scholar] [CrossRef]
- Liu, X.M.; Lan, C.W.; Bi, K.; Li, B.; Zhao, Q.; Zhou, J. Dual band metamaterial perfect absorber based on Mie resonances. Appl. Phys. Lett. 2016, 109, 062902. [Google Scholar] [CrossRef]
- Yin, W.; Shen, Z.L.; Li, S.N.; Zhang, L.Y.; Chen, X.F. A three-dimensional dual-band terahertz perfect absorber as a highly sensitive sensor. Front. Phys. 2021, 9, 665280. [Google Scholar] [CrossRef]
- Zhu, J.; Yin, J.G.; Wu, C.S. Tunable perfect absorber of graphene metamaterial in the terahertz band and its sensing properties. Adv. Photonics Res. 2022, 3, 2100291. [Google Scholar] [CrossRef]
- Shen, X.P.; Yang, Y.; Zang, Y.Z.; Gu, J.Q.; Han, J.G.; Zhang, W.L.; Cui, T.J. Triple-band terahertz metamaterial absorber: Design, experiment, and physical interpretation. Appl. Phys. Lett. 2012, 101, 154102. [Google Scholar] [CrossRef]
- Wang, G.Z.; Wang, B.X. Five-band terahertz metamaterial absorber based on a four-gap comb resonator. J. Light. Technol. 2015, 33, 5151–5156. [Google Scholar] [CrossRef]
- Bao, Z.Y.; Wang, J.C.; Hu, Z.D.; Balmakou, A.; Khakhomov, S.; Tang, Y.; Zhang, C.L. Coordinated multi-band angle insensitive selection absorber based on graphene metamaterials. Opt. Express 2019, 27, 31435–31445. [Google Scholar] [CrossRef]
- Hu, D.; Wang, H.Y.; Zhu, Q.F. Design of six-band terahertz perfect absorber using a simple u-shaped closed-ring resonator. IEEE Photon. J. 2016, 8, 5500608. [Google Scholar] [CrossRef]
- Wang, J.Q.; Fan, C.Z.; Ding, P.; He, J.N.; Cheng, Y.G.; Hu, W.Q.; Cai, G.W.; Liang, E.J.; Xue, Q.Z. Tunable broad-band perfect absorber by exciting of multiple plasmon resonances at optical frequency. Opt. Express 2012, 20, 14871–14878. [Google Scholar] [CrossRef]
- Kenney, M.; Grant, J.; Shah, Y.D.; Escorcia-Carranza, I.; Humphreys, M.; Cumming, D.R.S. Octave-spanning broadband absorption of terahertz light using metasurface fractal-cross absorbers. ACS Photon. 2017, 4, 2604–2612. [Google Scholar] [CrossRef]
- Huang, Y.J.; Liu, L.; Pu, M.B.; Li, X.; Ma, X.L.; Luo, X.G. A refractory metamaterial absorber for ultra-broadband, omnidirectional and polarization-independent absorption in the UV-NIR spectrum. Nanoscale 2018, 10, 8298–8303. [Google Scholar] [CrossRef]
- Huang, Y.W.; Kaj, K.; Chen, C.X.; Yang, Z.W.; Haque, S.R.U.; Zhang, Y.; Zhao, X.G.; Averitt, R.D.; Zhang, X. Broadband terahertz silicon membrane metasurface absorber. ACS Photon. 2022, 9, 1150–1156. [Google Scholar] [CrossRef]
- Zhu, B.; Feng, Y.J.; Zhao, J.M.; Huang, C.; Jiang, T. Switchable metamaterial reflector/absorber for different polarized electromagnetic waves. Appl. Phys. Lett. 2010, 97, 051906. [Google Scholar] [CrossRef]
- Meng, L.J.; Zhao, D.; Li, Q.; Qiu, M. Polarization-sensitive perfect absorbers at near-infrared wavelengths. Opt. Express 2013, 21, A111–A122. [Google Scholar] [CrossRef]
- Wang, W.H.; Besteiro, L.V.; Liu, T.J.; Wu, C.; Sun, J.C.; Yu, P.; Chang, L.; Wang, Z.M.; Govorov, A.O. Generation of hot electrons with chiral metamaterial perfect absorbers: Giant optical chirality for polarization-sensitive photochemistry. ACS Photon. 2019, 6, 3241–3252. [Google Scholar] [CrossRef]
- Wen, Y.; Liang, Z.K.; Lin, Y.S. Tunable perfect meta-absorber with high-sensitive polarization characteristic. Adv. Photonics Res. 2021, 2, 2000027. [Google Scholar] [CrossRef]
- Feng, R.; Qiu, J.; Cao, Y.Y.; Liu, L.H.; Ding, W.Q.; Chen, L.X. Omnidirectional and polarization insensitive nearly perfect absorber in one dimensional meta-structure. Appl. Phys. Lett. 2014, 105, 181102. [Google Scholar] [CrossRef]
- Tian, X.M.; Li, Z.Y. Visible-near infrared ultra-broadband polarization-independent metamaterial perfect absorber involving phase-change materials. Photon. Res. 2016, 4, 146–152. [Google Scholar] [CrossRef]
- Kang, M.; Zhang, H.F.; Zhang, X.Q.; Yang, Q.L.; Zhang, W.L.; Han, J.G. Interferometric control of dual-band terahertz perfect absorption using a designed metasurface. Phys. Rev. Appl. 2018, 9, 054018. [Google Scholar] [CrossRef]
- Li, H.J.; Wei, G.G.; Zhou, H.M.; Xiao, H.X.; Qin, M.; Xia, S.X.; Wu, F. Polarization-independent near-infrared superabsorption in transition metal dichalcogenide Huygens metasurfaces by degenerate critical coupling. Phys. Rev. B 2022, 105, 165305. [Google Scholar] [CrossRef]
- Avitzour, Y.; Urzhumov, Y.A.; Shvets, G. Wide-angle infrared absorber based on a negative-index plasmonic metamaterial. Phys. Rev. B 2009, 79, 045131. [Google Scholar] [CrossRef]
- Wu, C.H.; Neuner, B., III; Shvets, G. Large-area wide-angle spectrally selective plasmonic absorber. Phys. Rev. B 2011, 84, 075102. [Google Scholar] [CrossRef]
- Wang, X.; Jiang, X.; You, Q.; Guo, J.; Dai, X.Y.; Xiang, Y.J. Tunable and multichannel terahertz perfect absorber due to Tamm surface plasmons with graphene. Photon. Res. 2017, 5, 536–542. [Google Scholar] [CrossRef]
- Hou, W.J.; Yang, F.; Chen, Z.M.; Dong, J.W.; Jiang, S.J. Wide-angle and broadband solar absorber made using highly efficient large-area fabrication strategy. Opt. Express 2022, 30, 4424–4433. [Google Scholar] [CrossRef]
- Teperik, T.V.; García De Abajo, F.J.; Borisov, A.G.; Abdelsalam, M.; Bartlett, P.N.; Sugawara, Y.; Baumberg, J.J. Omnidirectional absorption in nanostructured metal surfaces. Nat. Photon. 2008, 2, 299–301. [Google Scholar] [CrossRef]
- Zhang, H.; Liu, F.J.; Blaikie, R.J.; Ding, B.Y.; Qiu, M. Bifacial omnidirectional and band-tunable light absorption in free-standing core-shell resonators. Appl. Phys. Lett. 2022, 120, 181110. [Google Scholar] [CrossRef]
- Atwater, H.A.; Polman, A. Plasmonics for improved photovoltaic devices. Nat. Mater. 2010, 9, 205–213. [Google Scholar] [CrossRef]
- Akselrod, G.M.; Huang, J.N.; Hoang, T.B.; Bowen, P.T.; Su, L.; Smith, D.R.; Mikkelsen, M.H. Large-area metasurface perfect absorbers from visible to near-infrared. Adv. Mater. 2015, 27, 8028–8034. [Google Scholar] [CrossRef]
- Yu, W.W.; Lu, Y.; Chen, X.R.; Xu, H.; Shao, J.; Chen, X.; Sun, Y.; Hao, J.M.; Dai, N. Large-area, broadband, wide-angle plasmonic metasurface absorber for midwavelength infrared atmospheric transparency window. Adv. Opt. Mater. 2019, 7, 1900841. [Google Scholar] [CrossRef]
- Li, W.; Valentine, J. Metamaterial perfect absorber based hot electron photodetection. Nano Lett. 2014, 14, 3510–3514. [Google Scholar] [CrossRef]
- Zhan, Y.H.; Wu, K.; Zhang, C.; Wu, S.L.; Li, X.F. Infrared hot-carrier photodetection based on planar perfect absorber. Opt. Lett. 2015, 40, 4261–4264. [Google Scholar] [CrossRef]
- Chen, Z.; Weng, Y.D.; Liu, J.K.; Guo, N.; Yu, Y.L.; Xiao, L. Dual-band perfect absorber for a mid-infrared photodetector based on a dielectric metal metasurface. Photon. Res. 2021, 9, 27–33. [Google Scholar] [CrossRef]
- Fang, Y.R.; Jiao, Y.; Xiong, K.L.; Ogier, R.; Yang, Z.J.; Gao, S.W.; Dahlin, A.B.; Käll, M. Plasmon enhanced internal photoemission in antenna-spacer-mirror based Au/TiO2 nanostructures. Nano Lett. 2015, 15, 4059–4065. [Google Scholar] [CrossRef]
- Ng, C.; Cadusch, J.J.; Dligatch, S.; Roberts, A.; Davis, T.J.; Mulvaney, P.; Gómez, D.E. Hot carrier extraction with plasmonic broadband absorbers. ACS Nano 2016, 10, 4704–4711. [Google Scholar] [CrossRef]
- Tan, F.R.; Wang, N.; Lei, D.Y.; Yu, W.X.; Zhang, X.M. Plasmonic black absorbers for enhanced photocurrent of visible-light photocatalysis. Adv. Opt. Mater. 2017, 5, 1600399. [Google Scholar] [CrossRef]
- Maier, T.; Brueckl, H. Multispectral microbolometers for the midinfrared. Opt. Lett. 2010, 35, 3766–3768. [Google Scholar] [CrossRef]
- Grant, J.; Escorcia-Carranza, I.; Li, C.; McCrindle, I.J.H.; Gough, J.; Cumming, D.R.S. A monolithic resonant terahertz sensor element comprising a metamaterial absorber and micro-bolometer. Laser Photon. Rev. 2013, 7, 1043–1048. [Google Scholar] [CrossRef]
- Kong, X.T.; Khorashad, L.K.; Wang, Z.M.; Govorov, A.O. Photothermal circular dichroism induced by plasmon resonances in chiral metamaterial absorbers and bolometers. Nano Lett. 2018, 18, 2001–2008. [Google Scholar] [CrossRef] [PubMed]
- Liu, N.; Mesch, M.; Weiss, T.; Hentschel, M.; Giessen, H. Infrared perfect absorber and its application as plasmonic sensor. Nano Lett. 2010, 10, 2342–2348. [Google Scholar] [CrossRef] [PubMed]
- Ou, H.L.; Lu, F.Y.; Xu, Z.F.; Lin, Y.S. Terahertz metamaterial with multiple resonances for biosensing application. Nanomaterials 2020, 10, 1038. [Google Scholar] [CrossRef] [PubMed]
- Seyyedmasoumian, S.; Attariabad, A.; Pourziad, A.; Bemani, M. Refractive index biosensor using metamaterial perfect absorber based on graphene in near-infrared for disease diagnosis. IEEE Sens. J. 2022, 22, 14870–14877. [Google Scholar] [CrossRef]
- Chen, Q.; Hu, X.; Wen, L.; Yu, Y.; Cumming, D.R.S. Nanophotonic image sensors. Small 2016, 12, 4922–4935. [Google Scholar] [CrossRef] [PubMed]
- Rakhshani, M.R. Three-dimensional polarization-insensitive perfect absorber using nanorods array for sensing and imaging. IEEE Sens. J. 2020, 20, 14166–14172. [Google Scholar] [CrossRef]
- Sharma, A.; Kedia, J.; Gupta, N. Emerging nanostructured infrared absorbers enabling cost-effective image sensing: A review. Opt. Eng. 2021, 60, 090901. [Google Scholar]
- Diem, M.; Koschny, T.; Soukoulis, C.M. Wide-angle perfect absorber/thermal emitter in the terahertz regime. Phys. Rev. B 2009, 79, 033101. [Google Scholar] [CrossRef]
- Liu, X.L.; Tyler, T.; Starr, T.; Starr, A.F.; Jokerst, N.M.; Padilla, W.J. Taming the blackbody with infrared metamaterials as selective thermal emitters. Phys. Rev. Lett. 2011, 107, 045901. [Google Scholar] [CrossRef]
- Du, K.K.; Li, Q.; Lyu, Y.B.; Ding, J.C.; Lu, Y.; Cheng, Z.Y.; Qiu, M. Control over emissivity of zero-static-power thermal emitters based on phase-changing material GST. Light Sci. Appl. 2017, 6, e16194. [Google Scholar] [CrossRef]
- Watts, C.M.; Shrekenhamer, D.; Montoya, J.; Lipworth, G.; Hunt, J.; Sleasman, T.; Krishna, S.; Smith, D.R.; Padilla, W.J. Terahertz compressive imaging with metamaterial spatial light modulators. Nat. Photon. 2014, 8, 605–609. [Google Scholar] [CrossRef]
- Carrillo, S.G.C.; Nash, G.R.; Hayat, H.; Cryan, M.J.; Klemm, M.; Bhaskaran, H.; Wright, C.D. Design of practicable phase-change metadevices for near-infrared absorber and modulator applications. Opt. Express 2016, 24, 13563–13573. [Google Scholar] [CrossRef]
- Li, W.L.; Hu, X.M.; Wu, J.B.; Fan, K.B.; Chen, B.W.; Zhang, C.H.; Hu, W.; Cao, X.; Jin, B.B.; Lu, Y.Q.; et al. Dual-color terahertz spatial light modulator for single-pixel imaging. Light Sci. Appl. 2022, 11, 191. [Google Scholar] [CrossRef]
- Wan, W.J.; Chong, Y.D.; Ge, L.; Noh, H.; Stone, A.D.; Cao, H. Time-reversed lasing and interferometric control of absorption. Science 2011, 331, 889–892. [Google Scholar] [CrossRef]
- Fu, Y.Y.; Cao, Y.Y.; Cummer, S.A.; Xu, Y.D.; Chen, H.Y. Coherent perfect absorber and laser modes in purely imaginary metamaterials. Phys. Rev. A 2017, 96, 043838. [Google Scholar] [CrossRef]
- Wang, C.; Shen, X.; Chu, H.C.; Luo, J.; Zhou, X.X.; Hou, B.; Peng, R.W.; Wang, M.; Lai, Y. Realization of broadband coherent perfect absorption of spoof surface plasmon polaritons. Appl. Phys. Lett. 2022, 120, 171703. [Google Scholar] [CrossRef]
- Sun, Y.; Tan, W.; Li, H.Q.; Li, J.; Chen, H. Experimental demonstration of a coherent perfect absorber with PT phase transition. Phys. Rev. Lett. 2014, 112, 143903. [Google Scholar] [CrossRef]
- Farhat, M.; Yang, M.Y.; Ye, Z.L.; Chen, P.Y. PT-symmetric absorber-laser enables electromagnetic sensors with unprecedented sensitivity. ACS Photon. 2020, 7, 2080–2088. [Google Scholar] [CrossRef]
- Yu, J.B.; Ma, B.Z.; Ouyang, A.; Ghosh, P.; Luo, H.; Pattanayak, A.; Kaur, S.; Qiu, M.; Belov, P.; Li, Q. Dielectric super-absorbing metasurfaces via PT symmetry breaking. Optica 2021, 8, 1290–1295. [Google Scholar] [CrossRef]
- Bai, P.; Ding, K.; Wang, G.; Luo, J.; Zhang, Z.Q.; Chan, C.T.; Wu, Y.; Lai, Y. Simultaneous realization of a coherent perfect absorber and laser by zero-index media with both gain and loss. Phys. Rev. A 2016, 94, 063841. [Google Scholar] [CrossRef]
- Hendrickson, J.R.; Vangala, S.; Dass, C.; Gibson, R.; Goldsmith, J.; Leedy, K.; Walker, D.E., Jr.; Cleary, J.W.; Kim, W.; Guo, J.P. Coupling of epsilon-near-zero mode to gap plasmon mode for flat-top wideband perfect light absorption. ACS Photon. 2018, 5, 776–781. [Google Scholar] [CrossRef]
- Castillo, M.A.; Estévez-Varela, C.; Wardley, W.P.; Serna, R.; Pastoriza-Santos, I.; Núñez-Sánchez, S.; Lopez-Garcia, M. Enhanced light absorption in all-polymer biomimetic photonic structures by near-zero-index organic matter. Adv. Funct. Mater. 2022, 32, 2113039. [Google Scholar] [CrossRef]
- Johns, B.; Chattopadhyay, S.; Mitra, J. Tailoring infrared absorption and thermal emission with ultrathin film interferences in epsilon-near-zero media. Adv. Photonics Res. 2022, 3, 2100153. [Google Scholar] [CrossRef]
- Genov, D.A.; Zhang, S.; Zhang, X. Mimicking celestial mechanics in metamaterials. Nat. Phys. 2009, 5, 687–692. [Google Scholar] [CrossRef]
- Liu, S.Y.; Li, L.; Lin, Z.F.; Chen, H.Y.; Zi, J.; Chan, C.T. Graded index photonic hole: Analytical and rigorous full wave solution. Phys. Rev. B 2010, 82, 054204. [Google Scholar] [CrossRef]
- Sheng, C.; Liu, H.; Wang, Y.; Zhu, S.N.; Genov, D.A. Trapping light by mimicking gravitational lensing. Nat. Photon. 2013, 7, 902–906. [Google Scholar] [CrossRef]
- Wen, G.F.; Zhao, L.Z.; Zhang, L.; Chen, Y.Y.; Luo, Q.L.; Fang, A.A.; Liu, S.Y. Tunable beam propagation based on cylindrically symmetric gradient index system. Acta Phys. Sin. 2022, 14, 144201. [Google Scholar] [CrossRef]
- Wang, X.; Duan, J.Y.; Chen, W.Y.; Zhou, C.B.; Liu, T.T.; Xiao, S.Y. Controlling light absorption of graphene at critical coupling through magnetic dipole quasi-bound states in the continuum resonance. Phys. Rev. B 2020, 102, 155432. [Google Scholar] [CrossRef]
- Tian, J.Y.; Li, Q.; Belov, P.A.; Sinha, R.K.; Qian, W.P.; Qiu, M. High-Q all-dielectric metasurface: Super and suppressed optical absorption. ACS Photon. 2020, 7, 1436–1443. [Google Scholar] [CrossRef]
- Saadabad, R.M.; Huang, L.J.; Miroshnichenko, A.E. Polarization-independent perfect absorber enabled by quasibound states in the continuum. Phys. Rev. B 2021, 104, 235405. [Google Scholar] [CrossRef]
- Zhao, X.G.; Zhang, J.D.; Fan, K.B.; Duan, G.W.; Metcalfe, G.D.; Wraback, M.; Zhang, X.; Averitt, R.D. Nonlinear terahertz metamaterial perfect absorbers using GaAs. Photon. Res. 2016, 4, A16–A21. [Google Scholar] [CrossRef]
- Nahvi, E.; Liberal, I.; Engheta, N. Nonlinear metamaterial absorbers enabled by photonic doping of epsilon-near-zero metastructures. Phys. Rev. B 2020, 102, 035404. [Google Scholar] [CrossRef]
- Luo, Z.J.; Ren, X.Y.; Zhou, L.; Chen, Y.; Cheng, Q.; Ma, H.F.; Cui, T.J. A high-performance nonlinear metasurface for spatial-wave absorption. Adv. Funct. Mater. 2022, 32, 2109544. [Google Scholar] [CrossRef]
- Mei, J.; Ma, G.C.; Yang, M.; Yang, Z.Y.; Wen, W.J.; Sheng, P. Dark acoustic metamaterials as super absorbers for low-frequency sound. Nat. Commun. 2012, 3, 756. [Google Scholar] [CrossRef]
- Shao, C.; Zhu, Y.Z.; Long, H.Y.; Liu, C.; Cheng, Y.; Liu, X.J. Metasurface absorber for ultra-broadband sound via over-damped modes coupling. Appl. Phys. Lett. 2022, 120, 083504. [Google Scholar] [CrossRef]
- Dong, H.W.; Zhao, S.D.; Oudich, M.; Shen, C.; Zhang, C.Z.; Cheng, L.; Wang, Y.S.; Fang, D.N. Reflective metasurfaces with multiple elastic mode conversions for broadband underwater sound absorption. Phys. Rev. Appl. 2022, 17, 044013. [Google Scholar] [CrossRef]
- Qu, S.C.; Gao, N.; Tinel, A.; Morvan, B.; Romero-García, V.; Groby, J.P.; Sheng, P. Underwater metamaterial absorber with impedance-matched composite. Sci. Adv. 2022, 8, eabm4206. [Google Scholar] [CrossRef]
- Shrekenhamer, D.; Chen, W.C.; Padilla, W.J. Liquid crystal tunable metamaterial absorber. Phys. Rev. Lett. 2013, 110, 177403. [Google Scholar] [CrossRef]
- Isić, G.; Vasić, B.; Zografopoulos, D.C.; Beccherelli, R.; Gajić, R. Electrically tunable critically coupled terahertz metamaterial absorber based on nematic liquid crystals. Phys. Rev. Appl. 2015, 3, 064007. [Google Scholar] [CrossRef]
- Lv, J.F.; Ding, C.; Meng, F.Y.; Han, J.Q.; Jin, T.; Wu, Q. A tunable metamaterial absorber based on liquid crystal with the compact unit cell and the wideband absorption. Liq. Cryst. 2021, 48, 1438–1447. [Google Scholar] [CrossRef]
- Qi, L.M.; Liu, C.; Shah, S.M.A. A broad dual-band switchable graphene-based terahertz metamaterial absorber. Carbon 2019, 153, 179–188. [Google Scholar] [CrossRef]
- Guo, Z.Y.; Yang, X.; Shen, F.; Zhou, Q.F.; Gao, J.; Guo, K. Active-tuning and polarization-independent absorber and sensor in the infrared region based on the phase change material of Ge2Sb2Te5 (GST). Sci. Rep. 2018, 8, 12433. [Google Scholar] [CrossRef]
- Lei, L.; Lou, F.; Tao, K.Y.; Huang, H.X.; Cheng, X.; Xu, P. Tunable and scalable broadband metamaterial absorber involving VO2-based phase transition. Photon. Res. 2019, 7, 734–741. [Google Scholar] [CrossRef]
- Kang, Q.L.; Li, D.K.; Wang, W.; Guo, K.; Guo, Z.Y. Multiband tunable thermal camouflage compatible with laser camouflage based on GST plasmonic metamaterial. J. Phys. D Appl. Phys. 2022, 55, 065103. [Google Scholar] [CrossRef]
- Liu, Y.N.; Weng, X.L.; Wang, M.R.; Li, W.X.; Ma, S.L.; Zhang, L.; Zhou, P.H.; Deng, L.J. Full control of Fano spectral profile with GST-based metamaterial. ACS Photon. 2022, 9, 888–894. [Google Scholar] [CrossRef]
- Pitchappa, P.; Ho, C.P.; Kropelnicki, P.; Singh, N.; Kwong, D.L.; Lee, C. Micro-electro-mechanically switchable near infrared complementary metamaterial absorber. Appl. Phys. Lett. 2014, 104, 201114. [Google Scholar] [CrossRef]
- Cong, L.Q.; Pitchappa, P.; Lee, C.K.; Singh, R. Active phase transition via loss engineering in a terahertz MEMS metamaterial. Adv. Mater. 2017, 29, 1700733. [Google Scholar] [CrossRef]
- Piper, L.K.; Singh, H.J.; Woods, J.R.C.; Sun, K.; Muskens, O.L.; Apostolopoulos, V. Mechanically tunable terahertz metamaterial perfect absorber. Adv. Photonics Res. 2021, 2, 2100136. [Google Scholar] [CrossRef]
- Liu, S.Y.; Chen, W.K.; Du, J.J.; Lin, Z.F.; Chui, S.T.; Chan, C.T. Manipulating negative-refractive behavior with a magnetic field. Phys. Rev. Lett. 2008, 101, 157407. [Google Scholar] [CrossRef]
- Yu, X.N.; Chen, H.J.; Lin, H.X.; Zhou, J.L.; Yu, J.J.; Qian, C.X.; Liu, S.Y. Continuously tuning effective refractive index based on thermally controllable magnetic metamaterials. Opt. Lett. 2014, 39, 4643–4646. [Google Scholar] [CrossRef]
- Luo, Q.L.; Zhao, L.Z.; Zhou, J.L.; Zhang, L.; Wen, G.F.; Ba, Q.T.; Wu, H.B.; Lin, Z.F.; Liu, S.Y. Magnetically reconfigurable unidirectional propagation of electromagnetic waves by zero-index-based heterostructured metamaterials. Front. Mater. 2022, 9, 845344. [Google Scholar] [CrossRef]
- Liu, S.Y.; Lu, W.L.; Lin, Z.F.; Chui, S.T. Magnetically controllable unidirectional electromagnetic waveguiding devices designed with metamaterials. Appl. Phys. Lett. 2010, 97, 201113. [Google Scholar] [CrossRef]
- Chui, S.T.; Liu, S.Y.; Lin, Z.F. Reflected wave of finite circulation from magnetic photonic crystals. J. Phys. Condens. Matter 2010, 22, 182201. [Google Scholar] [CrossRef]
- Liu, S.Y.; Lu, W.L.; Lin, Z.F.; Chui, S.T. Molding reflection from metamaterials based on magnetic surface plasmons. Phys. Rev. B 2011, 84, 045425. [Google Scholar] [CrossRef]
- Wang, M.D.; Zhang, R.Y.; Zhang, L.; Wang, D.Y.; Guo, Q.H.; Zhang, Z.Q.; Chan, C.T. Topological one-way large-area waveguide states in magnetic photonic crystals. Phys. Rev. Lett. 2021, 126, 067401. [Google Scholar] [CrossRef] [PubMed]
- Zhao, L.Z.; Wen, G.F.; Zhang, L.; Tong, J.X.; You, Y.C.; Ba, Q.T.; Luo, Q.L.; Liu, S.Y. Reconfigurable unidirectional propagation of electromagnetic waves in photonic crystal waveguides. J. Opt. Soc. Am. B 2022, 39, 2443–2449. [Google Scholar] [CrossRef]
- Wu, H.B.; Luo, Q.L.; Chen, H.J.; Han, Y.; Yu, X.N.; Liu, S.Y. Magnetically controllable nonreciprocal Goos-Hänchen shift supported by a magnetic plasmonic gradient metasurface. Phys. Rev. A 2019, 99, 033820. [Google Scholar] [CrossRef]
- Chen, H.J.; Lu, W.L.; Li, J.J.; Yu, J.J.; Lin, Z.F.; Chan, C.T.; Liu, S.Y. Manipulating unidirectional edge states via magnetic plasmonic gradient metasurfaces. Plasmonics 2017, 12, 1079–1090. [Google Scholar] [CrossRef]
- Wu, H.B.; Xi, X.; Li, X.M.; Poo, Y.; Liu, S.Y.; Wu, R.X. Manipulating electromagnetic radiation of one-way edge states by magnetic plasmonic gradient metasurfaces. Photon. Res. 2022, 10, 610–617. [Google Scholar] [CrossRef]
- Liu, S.Y.; Du, J.J.; Lin, Z.F.; Wu, R.X.; Chui, S.T. Formation of robust and completely tunable resonant photonic band gaps. Phys. Rev. B 2008, 78, 155101. [Google Scholar] [CrossRef]
- Pozar, D.M. Microwave Engineering, 4th ed.; John Wiley & Sons: New York, NY, USA, 2012; pp. 451–464. [Google Scholar]
- Wu, Y.; Li, J.; Zhang, Z.Q.; Chan, C.T. Effective medium theory for magnetodielectric composites: Beyond the long-wavelength limit. Phys. Rev. B 2006, 74, 085111. [Google Scholar] [CrossRef]
- Jin, J.F.; Liu, S.Y.; Lin, Z.F.; Chui, S.T. Effective-medium theory for anisotropic magnetic metamaterials. Phys. Rev. B 2009, 80, 115101. [Google Scholar] [CrossRef]
- Wang, X.D.; Zhang, X.G.; Yu, Q.L.; Harmon, B.N. Multiple-scattering theory for electromagnetic waves. Phys. Rev. B 1993, 47, 4161–4167. [Google Scholar] [CrossRef]
- Liu, S.Y.; Lin, Z.F. Opening up complete phototonic bandgaps in three-dimensional photonic crystals consisting of biaxial dielectric spheres. Phys. Rev. E 2006, 73, 066609. [Google Scholar] [CrossRef]








| Publisher’s Note: MDPI stays neutral with regard to jurisdictional claims in published maps and institutional affiliations. | 
© 2022 by the authors. Licensee MDPI, Basel, Switzerland. This article is an open access article distributed under the terms and conditions of the Creative Commons Attribution (CC BY) license (https://creativecommons.org/licenses/by/4.0/).
Share and Cite
Chen, Y.; Zhang, Y.; Zhao, L.; Wen, G.; Zhang, L.; Ba, Q.; Luo, Q.; Yu, J.; Liu, S. Rectifying Nonreciprocal Perfect Absorber Based on Generalized Effective-Medium Theory for Composite Magnetic Metamaterials. Photonics 2022, 9, 699. https://doi.org/10.3390/photonics9100699
Chen Y, Zhang Y, Zhao L, Wen G, Zhang L, Ba Q, Luo Q, Yu J, Liu S. Rectifying Nonreciprocal Perfect Absorber Based on Generalized Effective-Medium Theory for Composite Magnetic Metamaterials. Photonics. 2022; 9(10):699. https://doi.org/10.3390/photonics9100699
Chicago/Turabian StyleChen, Yiyun, Yaping Zhang, Lingzhong Zhao, Guangfeng Wen, Lin Zhang, Qingtao Ba, Qilin Luo, Jingjing Yu, and Shiyang Liu. 2022. "Rectifying Nonreciprocal Perfect Absorber Based on Generalized Effective-Medium Theory for Composite Magnetic Metamaterials" Photonics 9, no. 10: 699. https://doi.org/10.3390/photonics9100699
APA StyleChen, Y., Zhang, Y., Zhao, L., Wen, G., Zhang, L., Ba, Q., Luo, Q., Yu, J., & Liu, S. (2022). Rectifying Nonreciprocal Perfect Absorber Based on Generalized Effective-Medium Theory for Composite Magnetic Metamaterials. Photonics, 9(10), 699. https://doi.org/10.3390/photonics9100699
 
        

