Hybrid Adaptive Bias OFDM-Based IM/DD Visible Light Communication System
Abstract
:1. Introduction
- A novel structure combining different optical OFDM components to transmit the signals simultaneously is proposed for VLC. This structure occupies all subcarriers to convey the signals, thus significantly enhancing the spectral efficiency in comparison with ABO-OFDM.
- The adaptive bias is carefully designed to guarantee the non-negativity of the transmitted signal and improve power efficiency. Furthermore, since the interference caused by the adaptive bias does not disturb the estimation of the superimposed signals at the receiver, a relatively simple receiver can be employed in HABO-OFDM.
- Different performances analysis of our proposed system is presented. We show its performance and perform analysis by comparing the proposed scheme with HACO-OFDM and ABO-OFDM in terms of bit error rate (BER), peak-to-average-power ratio (PAPR), and power efficiency performances. In addition, the BER performance under nonlinear conditions is also demonstrated.
2. System Model
2.1. Transmitter
2.2. Receiver
- case 1:
- when ,
- case 2:
- when ,
3. Complexity Analysis
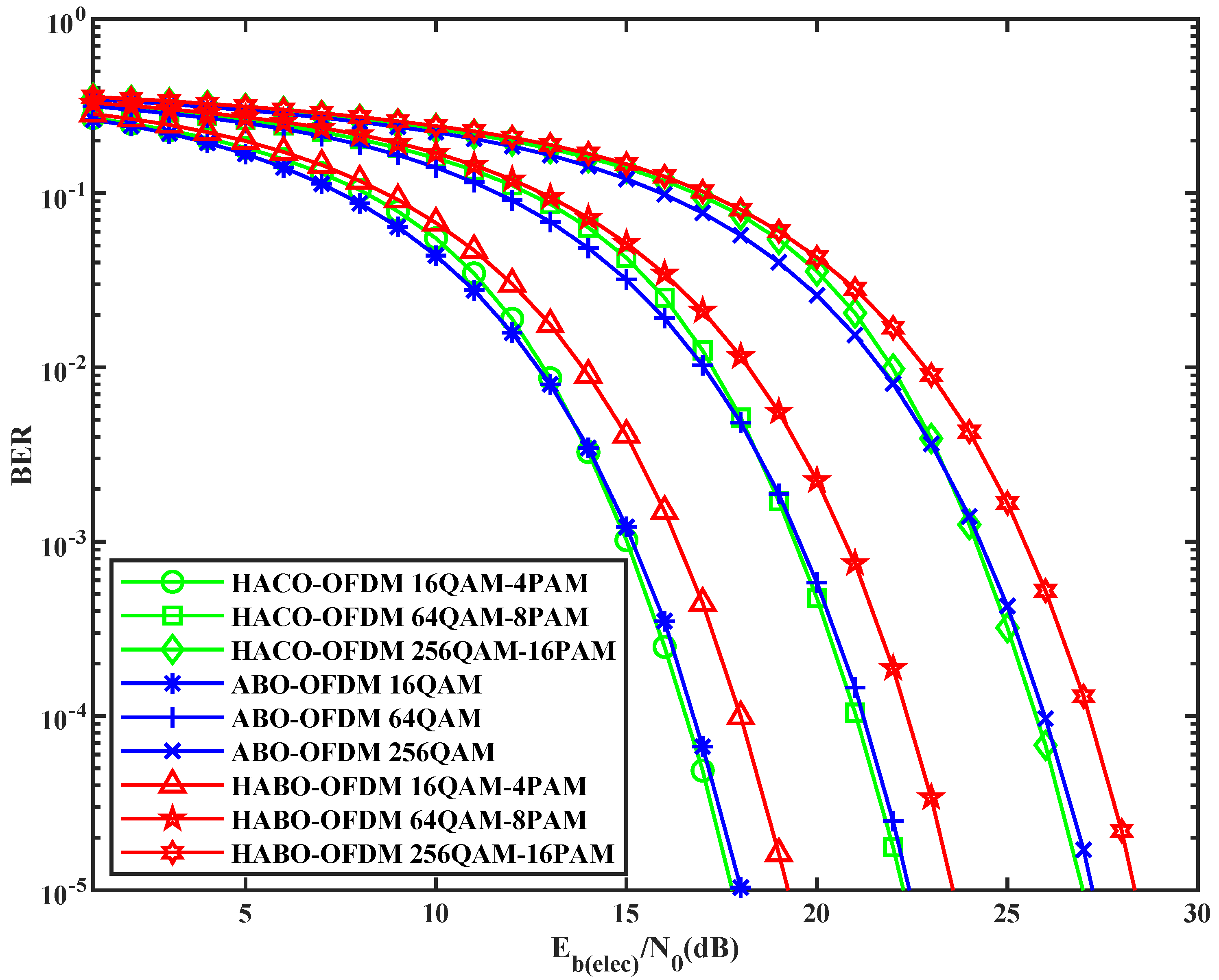
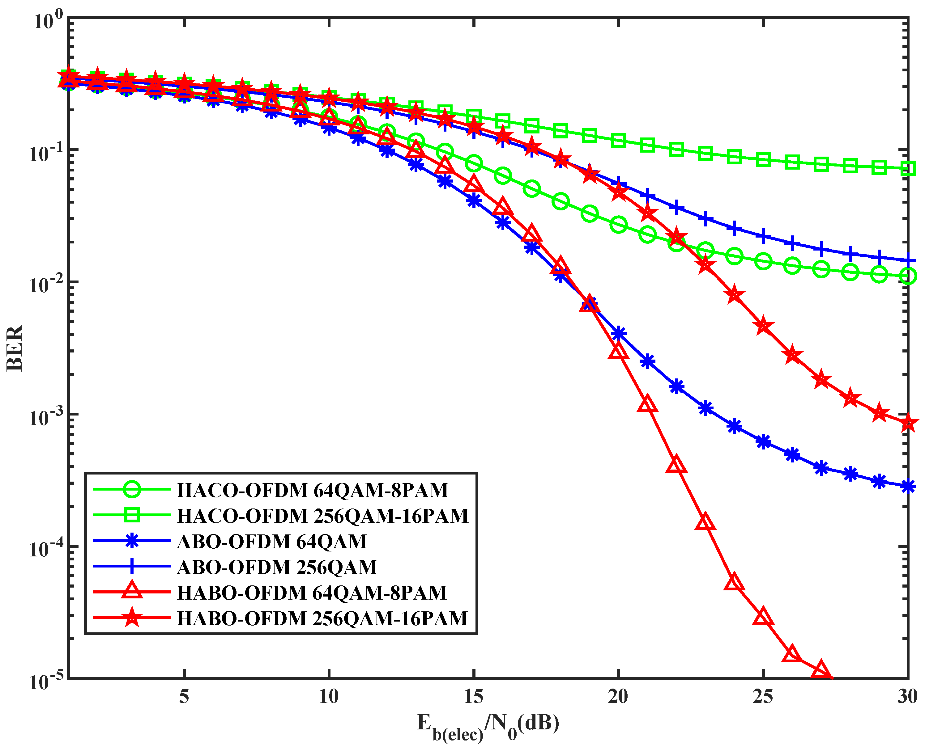
4. Simulation Results
5. Conclusions
Author Contributions
Funding
Institutional Review Board Statement
Informed Consent Statement
Data Availability Statement
Conflicts of Interest
References
- Zafar, F.; Karunatilaka, D.; Parthiban, R. Dimming Schemes for Visible Light Communication: The State of Research. IEEE Wireless Commun. 2015, 22, 29–35. [Google Scholar] [CrossRef]
- Khan, L.U. Visible Light Communication: Applications, Architecture, Standardization and Research Challenges. Digit. Commun. Netw. 2017, 3, 78–88. [Google Scholar] [CrossRef] [Green Version]
- Wu, S.; Wang, H.; Youn, C. Visible Light Communications for 5G Wireless Networking Systems: From Fixed to Mobile Communications. IEEE Netw. 2014, 28, 41–45. [Google Scholar] [CrossRef]
- Khalid, A.; Asif, H.M.; Kostromitin, K.I.; Al-Otaibi, S.; Huq, K.M.S.; Rodriguez, J. Doubly Orthogonal Wavelet Packets for Multi-Users Indoor Visible Light Communication Systems. Photonics 2019, 6, 85. [Google Scholar] [CrossRef] [Green Version]
- Haas, H.; Yin, L. Physical-Layer Security in Multiuser Visible Light Communication Networks. IEEE J. Sel. Areas Commun. 2018, 36, 162–174. [Google Scholar]
- Islim, M.S.; Ferreira, R.X.; He, X.Y.; Xie, E.Y.; Videv, S.; Viola, S.; Watson, S.; Bamiedakis, N.; Penty, R.V.; White, I.H.; et al. Towards 10Gb/s Orthogonal Frequency Division Multiplexing-Based Visible Light Communication Using A GaN Violet Micro-LED. Photon. Res. 2017, 5, A35–A43. [Google Scholar] [CrossRef]
- Başar, E.; Aygölü, Ü.; Panayırcı, E.; Poor, H.V. Orthogonal Frequency Division Multiplexing with Index Modulation. IEEE Trans. Signal Process. 2013, 61, 5536–5549. [Google Scholar] [CrossRef]
- Armstrong, J.; Schmidt, B.J.C. Comparison of Asymmetrically Clipped Optical OFDM and DC-Biased Optical OFDM in AWGN. IEEE Commun. Lett. 2008, 12, 343–345. [Google Scholar] [CrossRef]
- Armstrong, J.; Lowery, A.J. Power Efficient Optical OFDM. Electron. Lett. 2006, 42, 370–372. [Google Scholar] [CrossRef] [Green Version]
- Le-Tran, M.; Kim, S. Deep Learning-Assisted Index Estimator for Generalized LED Index Modulation OFDM in Visible Light Communication. Photonics 2021, 8, 168. [Google Scholar] [CrossRef]
- Xu, W.; Wu, M.; Zhang, H.; You, X.; Zhao, C. ACO-OFDM-Specified Recoverable Upper Clipping with Efficient Detection for Optical Wireless Communications. IEEE Photon. J. 2014, 6, 1–17. [Google Scholar]
- Lee, S.C.J.; Randel, S.; Breyer, F.; Koonen, A.M.J. PAM-DMT for Intensity-Modulated and Direct-Detection Optical Communication Systems. IEEE Photon. Technol. Lett. 2009, 21, 1745–1749. [Google Scholar] [CrossRef]
- Li, B.L.; Feng, S.; Xu, W. Spectrum-Efficient Hybrid PAM-DMT for Intensity-Modulated Optical Wireless Communication. Opt. Exp. 2020, 28, 12621–12637. [Google Scholar] [CrossRef]
- Ranjha, B.; Kavehrad, M. Hybrid Asymmetrically Clipped OFDM-Based IM/DD Optical Wireless System. IEEE/OSA J. Opt. Commun. Netw. 2014, 6, 387–396. [Google Scholar] [CrossRef]
- Zhang, T.; Zou, Y.; Sun, J.; Qiao, S. Design of PAM-DMT-Based Hybrid Optical OFDM for Visible Light Communications. IEEE Wirel. Commun. Lett. 2019, 8, 265–268. [Google Scholar] [CrossRef]
- Li, B.L.; Xu, W.; Li, Z.; Zhou, Y. Adaptively Biased OFDM for IM/DD-Aided Optical Wireless Communication Systems. IEEE Wireless Commun. Lett. 2020, 9, 698–701. [Google Scholar] [CrossRef]
- Li, B.L.; Xue, X.; Feng, S.; Xu, W. Layered Optical OFDM with Adaptive Bias for Dimming Compatible Visible Light Communications. J. Lightw. Technol. 2021, 39, 3434–3444. [Google Scholar] [CrossRef]
- Wang, T.; Hou, Y.; Ma, M. A Novel Receiver Design for HACO-OFDM by Time-Domain Clipping Noise Elimination. IEEE Commun. Lett. 2018, 22, 1862–1865. [Google Scholar] [CrossRef]
- Yesilkaya, A.; Bian, R.; Tavakkolnia, I.; Haas, H. OFDM-Based Optical Spatial Modulation. IEEE J. Sel. Top. Signal Process. 2019, 13, 1433–1444. [Google Scholar] [CrossRef]
- Wang, Q.; Qian, C.; Guo, X.; Wang, Z.; Cunningham, D.G.; White, I.H. Layered ACO-OFDM for Intensity-Modulated Direct-Detection Optical Wireless Transmission. Opt. Exp. 2015, 23, 12382–12393. [Google Scholar] [CrossRef] [Green Version]
- Liu, C.; Chan, C.; Cheng, P.; Lin, H. FFT-Based Multi-Rate Signal Processing for 18-Band Quasi-ANSI S1.11 1/3-Octave Filter Bank. IEEE Trans. Circuits Syst. II Exp. Briefs 2019, 66, 878–882. [Google Scholar] [CrossRef]
- Mestdagh, D.J.G.; Monsalve, J.L.; Brossier, J.M. GreenOFDM: A New Selected Mapping Method for OFDM PAPR Reduction. Electron. Lett. 2018, 54, 449–450. [Google Scholar] [CrossRef]
- Li, B.; Xu, W.; Zhang, H.; Zhao, C.; Hanzo, L. PAPR Reduction for Hybrid ACO-OFDM Aided IM/DD Optical Wireless Vehicular Communications. IEEE Trans. Veh. Technol. 2017, 66, 9561–9566. [Google Scholar] [CrossRef]
- Armstrong, J.; Dissanayake, S.D. Comparison of ACO-OFDM, DCO-OFDM and ADO-OFDM in IM/DD Systems. J. Lightw. Technol. 2013, 31, 1063–1072. [Google Scholar]








| Modulation | Transmitter | Receiver |
|---|---|---|
| HABO-OFDM | ||
| HACO-OFDM | ||
| PHO-OFDM |
| Name of Parameters | Values |
|---|---|
| The number of subcarriers | 512 |
| The constellation sizes of QAM | 16, 64, 256, 1024, 4096 |
| The constellation sizes of PAM | 4, 8, 16, 32, 64 |
| The clipping ratio | 9 dB |
| The BER target |
Publisher’s Note: MDPI stays neutral with regard to jurisdictional claims in published maps and institutional affiliations. |
© 2021 by the authors. Licensee MDPI, Basel, Switzerland. This article is an open access article distributed under the terms and conditions of the Creative Commons Attribution (CC BY) license (https://creativecommons.org/licenses/by/4.0/).
Share and Cite
Hong, H.; Li, Z. Hybrid Adaptive Bias OFDM-Based IM/DD Visible Light Communication System. Photonics 2021, 8, 257. https://doi.org/10.3390/photonics8070257
Hong H, Li Z. Hybrid Adaptive Bias OFDM-Based IM/DD Visible Light Communication System. Photonics. 2021; 8(7):257. https://doi.org/10.3390/photonics8070257
Chicago/Turabian StyleHong, Huandong, and Zhengquan Li. 2021. "Hybrid Adaptive Bias OFDM-Based IM/DD Visible Light Communication System" Photonics 8, no. 7: 257. https://doi.org/10.3390/photonics8070257
APA StyleHong, H., & Li, Z. (2021). Hybrid Adaptive Bias OFDM-Based IM/DD Visible Light Communication System. Photonics, 8(7), 257. https://doi.org/10.3390/photonics8070257

