Next Article in Journal
Comparison of Two- and Three-Beam Interference Pattern Generation in Structured Illumination Microscopy
Previous Article in Journal
Tunable Spacing Dual-Wavelength Q-Switched Fiber Laser Based on Tunable FBG Device
 
 
Font Type:
Arial Georgia Verdana
Font Size:
Aa Aa Aa
Line Spacing:
Column Width:
Background:
Article

Experimental Certification of Quantum Entanglement Based on the Classical Complementary Correlations of Two-Qubit States

1
School of Science, Jiangnan University, Wuxi 214122, China
2
Key Laboratory of Quantum Information, University of Science and Technology of China, Chinese Academy of Sciences, Hefei 230026, China
*
Author to whom correspondence should be addressed.
Photonics 2021, 8(12), 525; https://doi.org/10.3390/photonics8120525
Submission received: 3 November 2021 / Revised: 21 November 2021 / Accepted: 22 November 2021 / Published: 23 November 2021
(This article belongs to the Section Quantum Photonics and Technologies)

Abstract

:
Quantum entanglement is one of the essential resources in quantum information processing. It is of importance to verify whether a quantum state is entangled. At present, a typical quantum certification focused on the classical correlations has attracted widespread attention. Here, we experimentally investigate the relation between quantum entanglement and the classical complementary correlations based on the mutual information, Pearson correlation coefficient and mutual predictability of two-qubit states. Our experimental results show the classical correlations for complementary properties have strong resolution capability to verify entanglement for two qubit pure states and Werner states. We find that the resolution capability has great performance improvement when the eigenstates of the measurement observables constitute a complete set of mutually unbiased bases. For Werner states in particular, the classical complementary correlations based on the Pearson correlation coefficient and mutual predictability can provide the ultimate bounds to certify entanglement.

1. Introduction

As an indispensable resource in quantum nonlocality [1,2,3], quantum entanglement is generally used in quantum dense coding [4,5,6], quantum teleportation [7,8], quantum distillation purification [9,10,11] and so on. Verifying specific kinds of quantum entanglement is of importance for quantum information processing. Basically speaking, if the measurement devices are fully trusted, one can direct access to the quantum state and perform quantum state tomography to reconstitute the density matrix, which contains all the information of the quantum state. However, with the increase in dimension, the number of projective measurement basis required is exponential growth. It is difficult to perform quantum state tomography under a large dimension and fewer copies of a quantum state. Moreover, in practical tasks, it happens frequently that the devices are untrusted. Thus in the aforesaid circumstances, quantum state tomography may not be the best choice to verify the entanglement of an unknown state.
In general, there are many ways to identify entanglement, such as Bell-like inequality violations [12,13], local uncertainty relations [14,15,16], entropic uncertainty relations [17,18,19], entanglement witnesses [20,21], monotones over local operations and classical communication [22] and so on. Different from these studies, in this article, we focus on the entanglement verification by means of classical correlations for complementary properties [23,24,25]. The term “complementarity”, as a physical concept, is first introduced by Niels Bohr to reveal his own thinking about “duality” [26,27]. He said, “…evidence obtained under different conditions cannot be comprehended within a single picture, but must be regarded as complementary in the sense that only the totality of the phenomena exhausts the possible information about the objects” [28]. Finally, Bohr had concluded the famous principle of physics, duality, as: the close observation of any quantum object will reveal either wave-like or particle-like behavior, one or the other of two fundamental and complementary features. Uncertainty relation is an illustrative explanation of complementarity. For two non-commutative physical observables describing a quantum system in the evolution, the complementarity tells that if the value of one observable is precisely observed, then all the possible values of the other observable are equiprobable.
In this work, we report an experimental investigation of the relationship between quantum entanglement and the classical correlations of complementary observables, which are quantified in terms of the mutual information, Pearson correlation coefficient and mutual predictability. The remainder of this article is organized as follows. In Section 2, we give a brief introduction of complementary obvservables and different types of classical correlations. Then we show the theoretical quantum entanglement criteria of classical correlations for complementary observables. In Section 3 we experimentally demonstrate the entanglement criteria of different families of quantum states, such as two-qubit pure states and Werner states, by linear optical elements. In Section 4 we discuss and summarize our results.

2. Entanglement Criterions of Classical Correlations for Complementary Observables

In quantum mechanics, strictly speaking, a nondegenerate observable A 1 can be decomposed by its own eigenstates in the form of A 1 = i f ( a 1 i ) | a 1 i a 1 i | , where | a 1 i are the eigenstates with i = 1 , 2 , d and d is the Hilbert space dimension of A 1 . f ( a 1 i ) is an arbitrary bijective function. Similarly we define another nondegenerate observable A 2 = j g ( a 2 j ) | a 2 j a 2 j | . When the equality | a 1 i | a 2 j | 2 = 1 / d holds for all i, j, the two nondegenerate observables are complementary. Obviously complementarity reveals | a 1 i and | a 2 j are two mutually unbiased bases [29].
It is clearly known that if d is a power of a prime, there exist d + 1 mutually unbiased bases for a system [29,30]. When d = 2 , the set of three mutually unbiased bases can be directly obtained from the eigenvectors of the three Pauli matrices, namely { | 0 , | 1 } for σ z , { 1 2 ( | 0 + | 1 ) , 1 2 ( | 0 | 1 ) } for σ x and { 1 2 ( | 0 + i | 1 ) , 1 2 ( | 0 i | 1 ) } for σ y . These three bases constitute a complete set since it is impossible to find an additional basis that is mutually unbiased to all of them. Of course, one can obtain the different forms of the complete set through transformation of coordinates.
Consider Alice and Bob share a two-qubit quantum state ρ A B in which the subscript A ( B ) represents the subsystem of Alice (Bob). Here for a two-qubit system, there exists a set of three complementary observables in each side. We first consider the case Alice and Bob successively carry out two measurement observables { A 1 , A 2 } and { B 1 , B 2 } on their own systems respectively. Here A 1 and A 2 , B 1 and B 2 are corresponding to the complementary properties. By labeling the measurement results as a and b for Alice and Bob respectively, we can quantify different classical correlations between the two complementary observables by means of joint measurement. In this article, we focus on the mutual information, Pearson correlations and mutual predictability. Note that the values of a and b are dichotomic in assemble { 0 , 1 } .
Mutual information is a typical correlation which quantifies the information obtained about one random variable by observing the other one. In physics, it defines the common information contained in two measurements observables. The form of mutual information is given by
I A i B i = H ( A i ) H ( A i | B i ) ,
where H ( A i ) = a p ( a | A i ) log p ( a | A i ) is the Shannon entropy of the probabilities of the measurement outcomes a and H ( A i | B i ) = H ( A i , B i ) H ( B i ) is the conditional entropy, while the joint entropy H ( A i , B i ) = a , b p ( a b | A i B i ) log p ( a b | A i B i ) is a measure of the uncertainty associated with observables { A i , B i } . p ( a b | A i B i ) is the joint probability of obtaining the outcome a when Alice performs A i on system A and Bob obtains the outcome b by performing B i on system B. For the two complementary observables case, we define the classical correlation as I A 1 B 1 + I A 2 B 2 . In the two-qubit system (i.e., the Hilbert space dimension of measurement in each side is d = 2 ), the relation between quantum entanglement and complementary correlation is illustrated by [23]
I A 1 B 1 + I A 2 B 2 > 1 .
Equation (2) gives a sufficient condition for entanglement, which means that state ρ A B is entangled when the mutual information inequality of complementary observables is postulated. The maximum value of the left-hand side of Equation (2) is 2 if, and only if, the two-qubit quantum system is maximally entangled.
Here we take into account another correlation, the Pearson correlation coefficient. The Pearson correlation coefficient is essentially a normalised measurement of the covariance of two variables, and has been applied extensively in different areas of statistical applications. Given a pair of observables { A i , B i } , the Pearson correlation coefficient is defined as
C A i B i = A i B i A i B i A i 2 A i 2 B i 2 B i 2 ,
where A i B i = P ( a = b | A i B i ) P ( a = ( b 1 ) | A i B i ) is the expectation value of joint measurement on the quantum state ρ A B , in which ⊕ is addition modulo two. A i is the expectation value of Alice applying measurement A i on her own system with a 2 × 2 identity matrix applied on Bob’s system. The same definition is appropriate for B i . The denominator of the right-hand side in Equation (3) is the product of standard deviations of the observables, in which A i 2 = B i 2 = 1 since A i and B i are unitary operators. Clearly, the Pearson correlation coefficient cannot be applied to the eigenstates of observables [23]. In physics, the Pearson correlation coefficient is widely used to quantify the quantum synchronization in the context of temporal dynamics of local observables [31] and formulate Bell-CHSH type inequalities [32]. Here we introduce the Pearson correlation coefficient of complementary observables as a measure of correlations to witness entanglement of quantum states. Ref. [23] provides a conjecture to certify the entanglement for bipartite systems
| C A 1 B 1 | + | C A 2 B 2 | > 1 .
The state ρ A B is conjectured to be entangled when Equation (4) is valid. Similarly to mutual information inequality of complementary observables, ρ A B is maximally entangled if, and only if, the sum of the Pearson correlation coefficient is 2.
Now we focus on the mutual predictability which is written as
S A i B i = a = b = 0 1 p ( a b | A i B i ) .
The mutual predictability quantifies the probability of predicting the measurement results a if the outcome b is known, and vice versa. At present, the mutual predictability has attracted broad attention since it can be used for deriving quantum steering inequality [33] and self-testing two-qubit entangled pure states [34,35]. In Ref. [25], Spengler et al. brought forward a quantum criterion to verify entanglement, that is
i = 1 m S A i B i 1 + m 1 d ,
in which m is the permitted number of mutually unbiased bases applied to the states. Equation (6) holds for all separable states, namely, ρ A B is entangled when Equation (6) is violated. Evidently quantum criterion becomes
S A 1 B 1 + S A 2 B 2 3 2
when Alice and Bob carry out two groups of complementary observables on the two-qubit system.
Note that the sufficient condition for the entanglement criteria above still holds even if one adds a third complementary observable for each Alice’s and Bob’s side, which is labeled by { A 3 , B 3 } here. Now the measurement operators constitute a set of complete complementary observables. It is easy to infer that sufficient condition for entanglement of the two-qubit system can be made stronger in three complementary observables case since the information extracted from the quantum state grows with the increase of measurement basis. For instance, using m mutually unbiased bases for Alice and Bob, one can obtain the ultimate bound to verify the d-dimensional isotropic states [25].
In next section we will show the experimental investigation of the relation between quantum entanglement and classical complementary correlations of different families of states. Here we give a traditional method to verify the entanglement of a state theoretically, namely the quantum concurrence, which is defined for a two-qubit state as [36,37]
C con = max ( 0 , λ 1 λ 2 λ 3 λ 4 ) .
λ j ( j = 1 , 2 , 3 , 4 ) in the above equation represent the eigenvalues in descending order of the Hermitian rotation matrix R = ρ ρ ˜ ρ with ρ ˜ = ( σ y σ y ) ρ ( σ y σ y ) , in which * is complex conjugation to ρ A B . The concurrence shows that the state ρ A B is entangled when C con > 0 . It is easily calculated that for the family of two-qubit pure state
| ψ p = p | 00 + 1 p 2 | 11 ,
the concurrence C con > 0 when p 0 or 1. Here p is a adjustable state parameter and ρ p is the maximally entangled state | ψ + = 1 2 ( | 00 + | 11 ) when p = 1 2 . Without loss of generality, we define p is real and use Equation (9) to stand for all two-qubit pure entangled states since the whole states can be translated into Equation (9) via certain unitary operations which do not change the degree of quantum correlation.
For Werner states, in order to reveal the comparison of different states intuitively, we use the same symbol p to write the form of the density matrices of states, that is
ρ w = p | ψ + ψ + | + 1 p 4 I 4 ,
where I 4 is the 4 × 4 identity matrix and p denotes the decoherence parameter which controls the ratio of the white noise here. Note that C con = 0 when p 1 3 , which implies that Werner states are entangled for p > 1 3 .
Note that the measurement bases which maximize the complementary correlations above of the two families of states are the eigenvectors of three Pauli matrixes exactly. So the measurement observables of Alice are { σ x , σ y , σ z } in this article. The corresponding to Bob are { σ x , σ y , σ z } . The global phase 1 is added to σ y on Bob’s side, due to the fact that the mutual predictability is associated with diagonal elements of the density matrix of a state, since the observable σ y seems like a bit flipping operator and we only need to consider the outcomes a = b = 0 ( 1 ) . Meanwhile, the two eigenvalues corresponding to the same eigenstates of 2-dimensional σ y are exchanged with each other after adding to the global phase 1 . Thus, it can be assumed that the outcomes on Bob’s side need to translate from b = 0 ( 1 ) into b = 1 ( 0 ) in the process of calculating the mutual predictability. One can easily obtain that the maximum is achieved when applying the observables { σ x , σ y , σ z } to the states | φ p = p | 01 + 1 p 2 | 10 . Therefore, up to local isometries, for | ψ p , the corresponding observables which, maximizing the mutual predictability, are { σ x , σ y , σ z } [35,38].

3. Experimental Demonstration and Results

In this section, we first introduce the generation of two types of two-qubit states. The whole setup in our experiment, which is represented via linear optical elements, is divided into two modules: the state preparation part and the measurement device (Figure 1). The computational basis states | 0 and | 1 are encoded by the horizontal and vertical polarization of a photon, and the entangled photon pairs are generated through type-I spontaneous parametric down-conversion process [39,40]. The polarization of the pump beam, which is from a semiconductor laser with 400.8 nm, is controlled by a half-wave plate (HWP) H 0 . After passing through a pair of glued nonlinear β -barium-borate (BBO) crystals whose optic axes are normal to each other, the signal photons are associated with the idle photons. By rotating the angle of H 0 as cos θ 0 H = 2 p , photon pairs are prepared into a family of two-qubit pure states | ψ p . The following pair of α -BBO crystals in each photon paths after optical fiber coupler (FC) are used to modulate the phase difference between two photons.
For Werner states, decoherence should be introduced to the maximally entangled state | ψ + . In this cases, we fix the setting angle of H 0 to θ 0 H = 22 . 5 . The schematic diagram is illustrated in the dotted line framed insert in Figure 1. In the lower path, the photons are separated into two ways via a 50/50 beam splitter (BS). In the reflected way, three quartz crystals with sufficient thickness and a HWP H 1 with θ 1 H = 22 . 5 are applied to dephase the state | ψ + into a completely mixed state [41]. In the transmission way, there exists a tilted HWP H 2 to compensate the phase of the two-photon state. The two adjustable apertures in the reflected and transmission ways are used for controlling the proportion of | ψ + and the white noise. After mixing at the output port of the second BS, arbitrary Werner state ρ w is generated. Note that no compensated crystal is required in the transmission way since the optical path difference between the two ways is large enough for incoherent superposition. In the lower path, the photons directly travel to the measurement device.
For a linear optical system, any 2 × 2 unitary measurement operators can be constructed via certain HWPs and QWPs [42,43,44]. In our measurement setup, all of the mutually unbiased bases can be realized by a quarter-wave plate (QWP), a HWP and a polarization beam splitter (PBS). All the joint probabilities which are used to calculate the correlations can be read out from the coincidence between certain single-photon avalanche photodiodes (APDs). Here, in order to obtain the higher purities of the initial calibrated states, we set the time window of APD as 7ns. For each measurement, we record the clicks for 20 s and the total coincidence counts between APDs of Alice and Bob are about 10,000.
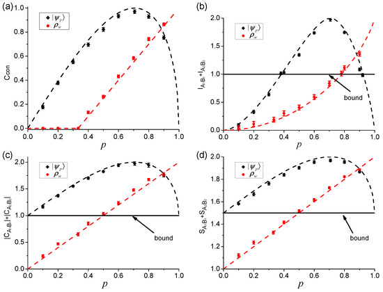
As a theoretical contrast, we first calculate the concurrence C con by the density matrices of the post selected initial states, which are reconstructed through quantum state tomography. The fidelities of the initial states in our experiment are all higher than 0.982. From Figure 2a we see that for any two-qubit pure state | ψ p , the concurrence C con > 0 except p = 0 or 1 which shows that arbitrary | ψ p is entangled ( 0 < p < 1 ). The maximal C con = 0.970 ± 0.015 is achieved when is achieved when p = 1 2 indicates the initial state is the maximally entangled state. For Werner states, the concurrence C con > 0 when p > 1 3 tells us the states are entangled, which agrees well with theoretical prediction.
Next we calculate the different classical correlations for two groups of complementary observables based on the joint measurement between Alice and Bob. For simplicity, we choose the measurement choices as { A 1 = B 1 = σ z , A 2 = B 2 = σ x } simultaneously. The former can be realized by a QWP Q 1 and a HWP H 3 with the setting angles θ 1 Q = 0 and θ 3 H = 0 and a following PBS on Alice’s side, and the corresponding on Bob’s side, the setting angles of QWP Q 2 and HWP H 4 are θ 2 Q = 0 and θ 4 H = 0 as well. The latter observables σ x can be realized by a similar setup by rotating θ 3 H and θ 4 H to 22 . 5 . The response of D 1 and D 2 characterizes the measurement results of Alice are a = 0 and a = 1 , respectively. Meanwhile, the counts of D 3 and D 4 correspond to b = 0 and b = 1 for Bob, respectively. Thus the coincidence counting of APDs { D 1 , D 3 } represents for the measurement result a = b = 0 simultaneously, similarly, { D 1 , D 4 } for a = 0 and b = 1 , { D 2 , D 3 } for a = 1 and b = 0 , { D 2 , D 4 } for a = b = 1 . Therefore, we can directly calculate the joint probabilities p ( a b | A i B i ) by the photon counts.
To obtain the mutual information, the Shannon entropy of the probabilities of the outcomes p ( a | A i ) and p ( b | B i ) are required to measure. As a typical instance, we give the method to calculate the probability p ( a = 0 | A i ) , namely
p ( a = 0 | A i ) = N { D 1 , D 3 } + N { D 1 , D 4 } N { D 1 , D 3 } + N { D 1 , D 4 } + N { D 2 , D 3 } + N { D 2 , D 4 } ,
where the numerator of the right-hand side is the coincidence counting photon numbers of result a = 0 in Alice’s side and the denominator is the total photon numbers. Other probabilities can be obtained via the similar way.
Figure 2b shows the experimental mutual information of two types of states. For the two-qubit pure states | ψ p , the quantum verification Equation (2) holds when 0.38 < p < 0.92 . The classical correlations of the two critical states are 1.016 ± 0.023 and 0.984 ± 0.026 , which matches with the theoretical prediction. However, compared to the concurrence in Figure 2a, we find that Equation (2) has limitation to identify the two-qubit pure states. A similar situation also occurs in Werner states ρ w . The mutual information of state ρ w , p = 0.78 is 1.012 ± 0.042 , which means that Werner states are entangled when p 0.78 , since the complementary correlation is monotonically increasing with decoherence coefficient p.
In Figure 2c we show the experimental results of complementary correlation based on the Pearson correlation coefficient as a function of the state coefficient p for different states. It is clearly seen that for any two-qubit pure states, the conjecture Equation (4) provides a precise bound to certify the entanglement. Even for Werner states, the linear increasing of complementary correlation with p implies that Werner states ρ w are entangled for p > 0.5 since the experimental value is 1.033 ± 0.029 at the critical point p = 0.5 . Compared to the entanglement criterion based on the mutual information, we could obtain that the one based on Pearson correlation coefficient is stronger. The conclusion is surprising because less information is extracted in the Pearson correlation coefficient indeed, since the mutual information measures all types of correlations, whereas the Pearson correlation coefficient only measures linear correlation. The reason is there exists probability distribution that has maximal Pearson correlation but negligible mutual information basically [45].
Different from the above two correlations, we only need calculate the joint probabilities for the measurement results a = b in the mutual predictability. The experimental data are illustrated in Figure 2d. We find that the ability of the quantum criterion to verify entanglement for two-qubit pure states and Werner states is the same as the one based on Pearson correlation coefficient. Note that only two complementary observables are needed for detecting entanglement of Werner states up to a threshold of 50% noise. In comparison, Bell inequalities, by using two measurement settings for each party, merely reach a maximal noise threshold between 29.289% and 32.656%, depending on the dimension [46]. Regardless, the three complementary correlations are optimized only for maximally entangled states, namely, a state is maximally entangled if, and only if, there exist two complementary bases maximizing the above classical correlations.
Now we expand the above criterion to a complete set of three complementary observables. The measurement and calculation methods of the criterion with the additional observables { A 3 = σ y , B 3 = σ y } are analogous to the previous case. Here, the setting angles of QWPs and HWPs are θ 1 Q = θ 2 Q = 45 and θ 3 H = θ 4 H = 22 . 5 . In order to add the global phase 1 to Bob’s measurement, we insert an additional HWP H 5 with θ 5 H = 45 before the PBS. Figure 3 gives the experimental results of complementary correlations based on mutual information and Pearson correlation coefficient for two types of states. From an overall perspective, the resolution capability of the two criterions has improved significantly by adding a new group of complementary observables. In fact, this phenomenon is easy to understand since the more numbers of complementary observables within the allowable range ( d + 1 for d-dimensional systems), the more information is extracted from a state. In the case of the mutual information, the resolution capability for two-qubit pure states upgrades to 0.31 < p < 0.95 , since the experimental results are 0.974 ± 0.035 and 0.969 ± 0.394 , respectively (Figure 3a). Similarly to Werner states, the resolution capability promotes to p > 0.65 since the experimental result is 1.034 ± 0.059 , which agrees well with the theoretical one. In Figure 3b, one can surprisingly find that the Pearson correlation coefficients are now suitable to detect all types of states. For Werner states in particular, they signify the presence of entanglement for p > 1 3 since the classical correlation still varies linearly with the decoherence coefficient p, and the value is 1.012 ± 0.033 at the special point.
Finally, we discuss the complementary correlation based on the mutual predictability with a complete set of three complementary observables. Here, by plugging m = 3 in Equation (6), the upper bound of the quantum certification becomes 1 + m 1 2 = 2 [25], that is to say the states are entangled if the left-hand side of Equation (6) is greater than 2. Figure 4 shows the experimental results of two-qubit pure states and Werner states. We can obtain that the resolution capability of complementary correlation has improved significantly as well. All experimental violations are greater than 2 for pure states, which indicates that the whole two-qubit pure states are entangled (of course except p = 0 or 1). For Werner states, compared to Figure 2d, the resolution capability of the complementary correlation is promoted to p > 1 3 since the violation is 2.028 ± 0.031 when p = 1 3 , which verifies that, for a complete set of mutually unbiased bases, the complementary correlation based on the mutual predictability is necessary and sufficient for Werner states.

4. Discussion and Summary

In summary, we have presented an experiment to investigate the relation between quantum entanglement and the classical correlation, which is on the strength of complementary observables for two-qubit states via linear optical elements. The experimental results show that the quantum certification, which is focused on classical complementary correlations based on mutual information, the Pearson correlation coefficient and mutual predictability, has powerful sensitivity to two-qubit pure states and Werner states. We are surprised to find that the entanglement criterion based on the Pearson correlation coefficient and mutual predictability are stronger than mutual information, even though the mutual information measures all types of correlations. The former two classical complementary correlations can verify all two-qubit pure states whereas the one based on the mutual information only gives the bound 0.38 < p < 0.92 by applying two groups of complementary observables. For Werner states, the resolution capability of the former two complementary correlations is p > 1 2 while the later one is p 0.78 . By expanding the complementary observables to a complete set, we find the resolution capability of the entanglement criteria has improved significantly. For Werner states in particular, the resolution capability of the complementary correlations based on the Pearson correlation coefficient and mutual predictability promote to the ultimate bound p > 1 3 .

Author Contributions

Z.-H.B. designed the experiments, performed the experiments, analyzed the results and wrote part of the paper. H.W. wrote part of the paper. H.W. revised and edited the part of the paper. All authors have read and agreed to the published version of the manuscript.

Funding

This research was funded by the National Natural Science Foundation of China (Grant No. 12104186), Natural Science Foundation of Jiangsu Province (Grant No. BK20190577) and the Key Laboratory Open Fund of Quantum Information of Chinese Academy of Sciences (Grant No. KQI201).

Institutional Review Board Statement

Not applicable.

Informed Consent Statement

Not applicable.

Data Availability Statement

Not applicable.

Acknowledgments

Z.-H.B. thanks Xue, P. for discussions.

Conflicts of Interest

The author declare no conflict of interest.

Abbreviations

The following abbreviations are used in this manuscript:
HWPHalf-wave plate
BBOBarium borate
QWPQuarter wave plate
BSBeam splitter
PBSPolarization beamsplitter
APDAvalanche photodiodes

References

  1. Liang, Y.C.; Curchod, F.J.; Bowles, J.; Gisin, N. Anonymous quantum nonlocality. Phys. Rev. Lett. 2014, 113, 130401. [Google Scholar] [CrossRef] [Green Version]
  2. Palazuelos, C. Superactivation of quantum nonlocality. Phys. Rev. Lett. 2012, 109, 190401. [Google Scholar] [CrossRef] [Green Version]
  3. Hirsch, F.; Quintino, M.T.; Bowles, J.; Brunner, N. Genuine hidden quantum nonlocality. Phys. Rev. Lett. 2013, 111, 160402. [Google Scholar] [CrossRef] [Green Version]
  4. Horodecki, R.; Horodecki, P.; Horodecki, M.; Horodecki, K. Quantum entanglement. Rev. Mod. Phys. 2009, 81, 865. [Google Scholar] [CrossRef] [Green Version]
  5. Mattle, K.; Weinfurter, H.; Kwiat, P.G.; Zeilinger, A. Dense coding in experimental quantum communication. Phys. Rev. Lett. 1996, 76, 4656. [Google Scholar] [CrossRef] [Green Version]
  6. Chen, Y.; Liu, S.; Lou, Y.; Jing, J. Orbital Angular Momentum Multiplexed Quantum Dense Coding. Phys. Rev. Lett. 2021, 127, 093601. [Google Scholar] [CrossRef] [PubMed]
  7. Bouwmeester, D.; Pan, J.W.; Mattle, K.; Eibl, M.; Weinfurter, H.; Zeilinger, A. Experimental quantum teleportation. Nature 1997, 390, 575–579. [Google Scholar] [CrossRef] [Green Version]
  8. Lipka-Bartosik, P.; Skrzypczyk, P. Catalytic Quantum Teleportation. Phys. Rev. Lett. 2021, 127, 080502. [Google Scholar] [CrossRef]
  9. Regula, B.; Takagi, R. Fundamental limitations on distillation of quantum channel resources. Nat. Commun. 2021, 12, 1–12. [Google Scholar] [CrossRef] [PubMed]
  10. Fang, K.; Liu, Z.W. No-go theorems for quantum resource purification. Phys. Rev. Lett. 2020, 125, 060405. [Google Scholar] [CrossRef] [PubMed]
  11. Kalb, N.; Reiserer, A.A.; Humphreys, P.C.; Bakermans, J.J.; Kamerling, S.J.; Nickerson, N.H.; Benjamin, S.C.; Twitchenm, D.J.; Markhamand, M.; Hanson, R. Entanglement distillation between solid-state quantum network nodes. Science 2017, 356, 928–932. [Google Scholar] [CrossRef] [Green Version]
  12. Dada, A.C.; Leach, J.; Buller, G.S.; Padgett, M.J.; Andersson, E. Experimental high-dimensional two-photon entanglement and violations of generalized Bell inequalities. Nat. Phys. 2011, 7, 677–680. [Google Scholar] [CrossRef] [Green Version]
  13. Moreva, E.; Brida, G.; Gramegna, M.; Bose, S.; Home, D.; Genovese, M. Bell measurements as a witness of a dualism in entanglement. Phys. Rev. A 2015, 91, 062117. [Google Scholar] [CrossRef] [Green Version]
  14. Oppenheim, J.; Wehner, S. The uncertainty principle determines the nonlocality of quantum mechanics. Science 2010, 330, 1072–1074. [Google Scholar] [CrossRef] [Green Version]
  15. Pramanik, T.; Majumdar, A.S. Fine-grained uncertainty relation and nonlocality of tripartite systems. Phys. Rev. A 2012, 85, 024103. [Google Scholar] [CrossRef] [Green Version]
  16. Dey, A.; Pramanik, T.; Majumdar, A.S. Fine-grained uncertainty relation and biased nonlocal games in bipartite and tripartite systems. Phys. Rev. A 2013, 87, 012120. [Google Scholar] [CrossRef] [Green Version]
  17. Li, C.F.; Xu, J.S.; Xu, X.Y.; Li, K.; Guo, G.C. Experimental investigation of the entanglement-assisted entropic uncertainty principle. Nat. Phys. 2011, 7, 752–756. [Google Scholar] [CrossRef]
  18. Shi, J.; Ding, Z.; Wu, T.; He, J.; Yu, L.; Sun, W.; Wang, D.; Ye, L. Entanglement witness via quantum-memory-assisted entropic uncertainty relation. Laser Phys. Lett. 2017, 14, 125208. [Google Scholar] [CrossRef]
  19. Zou, H.M.; Fang, M.F.; Yang, B.Y.; Guo, Y.N.; He, W.; Zhang, S.Y. The quantum entropic uncertainty relation and entanglement witness in the two-atom system coupling with the non-Markovian environments. Phys. Scripta 2014, 89, 115101. [Google Scholar] [CrossRef] [Green Version]
  20. Hiesmayr, B.C.; Löffler, W. Complementarity reveals bound entanglement of two twisted photons. New J. Phys. 2013, 15, 083036. [Google Scholar] [CrossRef]
  21. Gühne, O.; Tóth, G. Entanglement detection. Phys. Rep. 2009, 474, 1–75. [Google Scholar] [CrossRef] [Green Version]
  22. Chitambar, E.; De Vicente, J.I.; Girard, M.W.; Gour, G. Entanglement manipulation beyond local operations and classical communication. J. Math Phys. 2020, 61, 042201. [Google Scholar] [CrossRef] [Green Version]
  23. Maccone, L.; Bruß, D.; Macchiavello, C. Complementarity and correlations. Phys. Rev. Lett. 2015, 114, 130401. [Google Scholar] [CrossRef] [Green Version]
  24. Qian, X.F.; Vamivakas, A.N.; Eberly, J.H. Entanglement limits duality and vice versa. Optica 2018, 5, 942–947. [Google Scholar] [CrossRef] [Green Version]
  25. Spengler, C.; Huber, M.; Brierley, S.; Adaktylos, T.; Hiesmayr, B.C. Entanglement detection via mutually unbiased bases. Phys. Rev. A 2012, 86, 022311. [Google Scholar] [CrossRef] [Green Version]
  26. Bohr, N. The quantum postulate and the recent development of atomic theory. Nature 1928, 121, 580–590. [Google Scholar] [CrossRef] [Green Version]
  27. Bohr, N. Atomic Theory and the Description of Nature; Cambridge University Press: Cambridge, UK, 1934; p. 10. [Google Scholar]
  28. Toulmin, S. Albert Einstein: Philosopher-Scientist. Philos. Q. 1951, 2, 557–562. [Google Scholar] [CrossRef]
  29. Durt, T.; Englert, B.G.; Bengtsson, I.; Życzkowski, K. On mutually unbiased bases. Int. J. Quantum. Inform. 2010, 8, 535–640. [Google Scholar] [CrossRef]
  30. Wootters, W.K.; Fields, B.D. Optimal state-determination by mutually unbiased measurements. Ann. Phys. 1989, 191, 363–381. [Google Scholar] [CrossRef]
  31. Boccaletti, S.; Kurths, J.; Osipov, G.; Valladares, D.L.; Zhou, C.S. The synchronization of chaotic systems. Phys. Rep. 2002, 366, 1–101. [Google Scholar] [CrossRef]
  32. Pozsgay, V.; Hirsch, F.; Branciard, C.; Brunner, N. Covariance bell inequalities. Phys. Rev. A 2017, 96, 062128. [Google Scholar] [CrossRef] [Green Version]
  33. Pramanik, T.; Kaplan, M.; Majumdar, A.S. Fine-grained einstein-podolsky-rosen–steering inequalities. Phys. Rev. A 2014, 90, 050305. [Google Scholar] [CrossRef] [Green Version]
  34. Goswami, S.; Bhattacharya, B.; Das, D.; Sasmal, S.; Jebaratnam, C.; Majumdar, A.S. One-sided device-independent self-testing of any pure two-qubit entangled state. Phys. Rev. A 2018, 98, 022311. [Google Scholar] [CrossRef] [Green Version]
  35. Bian, Z.; Majumdar, A.S.; Jebarathinam, C.; Wang, K.; Xiao, L.; Zhan, X.; Zhang, Y.; Xue, P. Experimental demonstration of one-sided device-independent self-testing of any pure two-qubit entangled state. Phys. Rev. A 2020, 101, 020301. [Google Scholar] [CrossRef] [Green Version]
  36. Wootters, W.K. Entanglement of formation and concurrence. Quantum Inf. Comput. 2001, 1, 27–44. [Google Scholar] [CrossRef]
  37. Hildebrand, R. Concurrence revisited. J. Math. Phys. 2007, 48, 102108. [Google Scholar] [CrossRef]
  38. Bian, Z.-H.; Yin, C.-Y. Experimental Demonstration of Fine-Grained Steering Inequality of Two-Qubit Mixed States. Photonics 2021, 8, 514. [Google Scholar] [CrossRef]
  39. Bian, Z.; Li, J.; Qin, H.; Zhan, X.; Zhang, R.; Sanders, B.C.; Xue, P. Realization of single-qubit positive-operator-valued measurement via a one-dimensional photonic quantum walk. Phys. Rev. Lett. 2015, 114, 203602. [Google Scholar] [CrossRef] [Green Version]
  40. Bian, Z.H.; Li, J.; Zhan, X.; Twamley, J.; Xue, P. Experimental implementation of a quantum walk on a circle with single photons. Phys. Rev. A 2017, 95, 052338. [Google Scholar] [CrossRef]
  41. Qi, B.; Hou, Z.; Wang, Y.; Dong, D.; Zhong, H.S.; Li, L.; Xiang, G.Y.; Wiseman, H.M.; Li, C.F.; Guo, G.C. Adaptive quantum state tomography via linear regression estimation: Theory and two-qubit experiment. npj Quantum Inf. 2017, 3, 1–7. [Google Scholar] [CrossRef]
  42. Xue, P.; Zhang, R.; Qin, H.; Zhan, X.; Bian, Z.H.; Li, J.; Sanders, B.C. Experimental quantum-walk revival with a time-dependent coin. Phys. Rev. Lett. 2015, 114, 140502. [Google Scholar] [CrossRef] [PubMed] [Green Version]
  43. Bian, Z.; Xiao, L.; Wang, K.; Onanga, F.A.; Ruzicka, F.; Yi, W.; Joglekar, Y.N.; Xue, P. Quantum information dynamics in a high-dimensional parity-time-symmetric system. Phys. Rev. A 2020, 102, 030201. [Google Scholar] [CrossRef]
  44. Bian, Z.; Xiao, L.; Wang, K.; Zhan, X.; Onanga, F.A.; Ruzicka, F.; Yi, W.; Joglekar, Y.N.; Xue, P. Conserved quantities in parity-time symmetric systems. Phys. Rev. Res. 2020, 2, 022039. [Google Scholar] [CrossRef]
  45. Foster, D.V.; Grassberger, P. Lower bounds on mutual information. Phys. Rev. A 2011, 83, 010101. [Google Scholar] [CrossRef] [PubMed] [Green Version]
  46. Collins, D.; Gisin, N.; Linden, N.; Massar, S.; Popescu, S. Bell inequalities for arbitrarily high-dimensional systems. Phys. Rev. Lett. 2002, 88, 040404. [Google Scholar] [CrossRef] [PubMed] [Green Version]
Figure 1. Diagram of the experimental setup. The experimental setup can be divided into state preparation and measurement device. The polarization-entangled photon pairs are generated via type-I spontaneous parametric down-conversion process. Arbitrary two-qubit pure states are generated by rotating the HWP H 0 . The dotted line framed insert is used to prepare arbitrary Werner states ρ w by fixing the setting angle of H 0 to θ 0 H = 22 . 5 . In the measurement setup, all complementary observables Alice and Bob carried out in the experiment are realized by a QWP, a HWP and a following PBS. All the raw counting photon numbers can be read out from the coincidence between certain APDs. Key to components: HWP, half-wave plate; BBO, β -barium-borate crystal; FC, optical fiber coupler; BS, beam splitter; QWP, quarter-wave plate; PBS, polarizing beam splitter; APD, avalanche photodiodes.
Figure 1. Diagram of the experimental setup. The experimental setup can be divided into state preparation and measurement device. The polarization-entangled photon pairs are generated via type-I spontaneous parametric down-conversion process. Arbitrary two-qubit pure states are generated by rotating the HWP H 0 . The dotted line framed insert is used to prepare arbitrary Werner states ρ w by fixing the setting angle of H 0 to θ 0 H = 22 . 5 . In the measurement setup, all complementary observables Alice and Bob carried out in the experiment are realized by a QWP, a HWP and a following PBS. All the raw counting photon numbers can be read out from the coincidence between certain APDs. Key to components: HWP, half-wave plate; BBO, β -barium-borate crystal; FC, optical fiber coupler; BS, beam splitter; QWP, quarter-wave plate; PBS, polarizing beam splitter; APD, avalanche photodiodes.
Photonics 08 00525 g001
Figure 2. Experimental results. (a) Concurrence C con with the coefficient p obtained via the density matrices of different post selected initial states which are reconstructed through quantum state tomography. Error bars are obtained based on assuming Poisson statistics. (b) The measurement correlation of mutual information I A 1 B 1 + I A 2 B 2 as a function of the state coefficient p for different types of states. (c) Same as previous for the complementary correlation based on Pearson correlation coefficient | C A 1 B 1 | + | C A 2 B 2 | . (d) Same as previous for the complementary correlation based on mutual predictability S A 1 B 1 + S A 2 B 2 . The diamond symbols represent the experimental data for two-qubit pure states | ψ p . The circle symbols represent the experimental data for Werner states ρ w . Dashed lines represent the theoretical prediction. Solid lines represent the bound of different complementary correlations to verify entanglement. Error bars are due to the statistical uncertainty.
Figure 2. Experimental results. (a) Concurrence C con with the coefficient p obtained via the density matrices of different post selected initial states which are reconstructed through quantum state tomography. Error bars are obtained based on assuming Poisson statistics. (b) The measurement correlation of mutual information I A 1 B 1 + I A 2 B 2 as a function of the state coefficient p for different types of states. (c) Same as previous for the complementary correlation based on Pearson correlation coefficient | C A 1 B 1 | + | C A 2 B 2 | . (d) Same as previous for the complementary correlation based on mutual predictability S A 1 B 1 + S A 2 B 2 . The diamond symbols represent the experimental data for two-qubit pure states | ψ p . The circle symbols represent the experimental data for Werner states ρ w . Dashed lines represent the theoretical prediction. Solid lines represent the bound of different complementary correlations to verify entanglement. Error bars are due to the statistical uncertainty.
Photonics 08 00525 g002
Figure 3. Experimental results for different classical correlations with a complete set of three complementary observables. (a) The measurement correlation of mutual information I A 1 B 1 + I A 2 B 2 + I A 3 B 3 as a function of the state coefficient a for different types of states. (b) Same as previous for the complementary correlation based on Pearson correlation coefficient | C A 1 B 1 | + | C A 2 B 2 | + | C A 3 B 3 | . The diamond symbols represent the experimental data for two-qubit pure states | ψ p . The circle symbols represent the experimental data for Werner states ρ w . Dashed lines represent the theoretical prediction. Solid lines represent the bound of different complementary correlations to verify entanglement. Error bars are due to the statistical uncertainty.
Figure 3. Experimental results for different classical correlations with a complete set of three complementary observables. (a) The measurement correlation of mutual information I A 1 B 1 + I A 2 B 2 + I A 3 B 3 as a function of the state coefficient a for different types of states. (b) Same as previous for the complementary correlation based on Pearson correlation coefficient | C A 1 B 1 | + | C A 2 B 2 | + | C A 3 B 3 | . The diamond symbols represent the experimental data for two-qubit pure states | ψ p . The circle symbols represent the experimental data for Werner states ρ w . Dashed lines represent the theoretical prediction. Solid lines represent the bound of different complementary correlations to verify entanglement. Error bars are due to the statistical uncertainty.
Photonics 08 00525 g003
Figure 4. Experimental results for classical correlation based on mutual predictability S A 1 B 1 + S A 2 B 2 + S A 3 B 3 with a complete set of three complementary observables. The diamond symbols represent the experimental data for two-qubit pure states | ψ p . The circle symbols represent the experimental data for Werner states ρ w . Dashed lines represent the theoretical prediction. Solid line represents the bound of the complementary correlation to verify entanglement. Error bars are due to the statistical uncertainty.
Figure 4. Experimental results for classical correlation based on mutual predictability S A 1 B 1 + S A 2 B 2 + S A 3 B 3 with a complete set of three complementary observables. The diamond symbols represent the experimental data for two-qubit pure states | ψ p . The circle symbols represent the experimental data for Werner states ρ w . Dashed lines represent the theoretical prediction. Solid line represents the bound of the complementary correlation to verify entanglement. Error bars are due to the statistical uncertainty.
Photonics 08 00525 g004
Publisher’s Note: MDPI stays neutral with regard to jurisdictional claims in published maps and institutional affiliations.

Share and Cite

MDPI and ACS Style

Bian, Z.-H.; Wu, H. Experimental Certification of Quantum Entanglement Based on the Classical Complementary Correlations of Two-Qubit States. Photonics 2021, 8, 525. https://doi.org/10.3390/photonics8120525

AMA Style

Bian Z-H, Wu H. Experimental Certification of Quantum Entanglement Based on the Classical Complementary Correlations of Two-Qubit States. Photonics. 2021; 8(12):525. https://doi.org/10.3390/photonics8120525

Chicago/Turabian Style

Bian, Zhi-Hao, and Hui Wu. 2021. "Experimental Certification of Quantum Entanglement Based on the Classical Complementary Correlations of Two-Qubit States" Photonics 8, no. 12: 525. https://doi.org/10.3390/photonics8120525

APA Style

Bian, Z.-H., & Wu, H. (2021). Experimental Certification of Quantum Entanglement Based on the Classical Complementary Correlations of Two-Qubit States. Photonics, 8(12), 525. https://doi.org/10.3390/photonics8120525

Note that from the first issue of 2016, this journal uses article numbers instead of page numbers. See further details here.

Article Metrics

Back to TopTop