Collective Lattice Resonances in All-Dielectric Nanostructures under Oblique Incidence
Abstract
1. Introduction
2. Model
2.1. Coupled Dipole Approximation
2.2. Wood–Rayleigh Anomalies
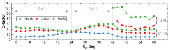
3. Results
4. Conclusions
Author Contributions
Funding
Conflicts of Interest
Abbreviations
| CLR | collective lattice resonance |
| ED | electric dipole |
| MD | magnetic dipole |
| NP | nanoparticle |
| WRA | Wood–Rayleigh anomaly |
References
- Staude, I.; Pertsch, T.; Kivshar, Y.S. All-dielectric resonant meta-optics lightens up. ACS Photonics 2019, 6, 802–814. [Google Scholar] [CrossRef]
- Baranov, D.G.; Zuev, D.A.; Lepeshov, S.I.; Kotov, O.V.; Krasnok, A.E.; Evlyukhin, A.B.; Chichkov, B.N. All-dielectric nanophotonics: The quest for better materials and fabrication techniques. Optica 2017, 4, 814–825. [Google Scholar] [CrossRef]
- Proust, J.; Bedu, F.; Gallas, B.; Ozerov, I.; Bonod, N. All-dielectric colored metasurfaces with silicon Mie resonators. ACS Nano 2016, 10, 7761–7767. [Google Scholar] [CrossRef] [PubMed]
- Dong, Z.; Ho, J.; Yu, Y.F.; Fu, Y.H.; Paniagua-Dominguez, R.; Wang, S.; Kuznetsov, A.I.; Yang, J.K.W. Printing beyond sRGB color gamut by mimicking silicon nanostructures in free-space. Nano Lett. 2017, 17, 7620–7628. [Google Scholar] [CrossRef] [PubMed]
- Sun, S.; Zhou, Z.; Zhang, C.; Gao, Y.; Duan, Z.; Xiao, S.; Song, Q. All-dielectric full-color printing with TiO2 metasurfaces. ACS Nano 2017, 11, 4445–4452. [Google Scholar] [CrossRef] [PubMed]
- Evlyukhin, A.B.; Bozhevolnyi, S.I. Polarization control of colors in resonant evanescent field scattering by silicon nanodisks [Invited]. Opt. Mater. Express 2019, 9, 151–161. [Google Scholar] [CrossRef]
- Miyata, M.; Nakajima, M.; Hashimoto, T. High-sensitivity color imaging using pixel-scale color splitters based on dielectric metasurfaces. ACS Photonics 2019, 6, 1442–1450. [Google Scholar] [CrossRef]
- Krasnok, A.; Caldarola, M.; Bonod, N.; Alú, A. Spectroscopy and biosensing with optically resonant dielectric nanostructures. Adv. Opt. Mater. 2018, 6, 1701094. [Google Scholar] [CrossRef]
- Yavas, O.; Svedendahl, M.; Quidant, R. Unravelling the role of electric and magnetic dipoles in biosensing with Si nanoresonators. ACS Nano 2019, 13, 4582–4588. [Google Scholar] [CrossRef]
- Yesilkoy, F.; Arvelo, E.R.; Jahani, Y.; Liu, M.; Tittl, A.; Cevher, V.; Kivshar, Y.; Altug, H. Ultrasensitive hyperspectral imaging and biodetection enabled by dielectric metasurfaces. Nat. Photonics 2019, 13, 390–396. [Google Scholar] [CrossRef]
- Daskalakis, K.S.; Eldridge, P.S.; Christmann, G.; Trichas, E.; Murray, R.; Iliopoulos, E.; Monroy, E.; Pelekanos, N.T.; Baumberg, J.J.; Savvidis, P.G. All-dielectric GaN microcavity: Strong coupling and lasing at room temperature. Appl. Phys. Lett. 2013, 102, 101113. [Google Scholar] [CrossRef]
- Ha, S.T.; Fu, Y.H.; Emani, N.K.; Pan, Z.; Bakker, R.M.; Paniagua-Domínguez, R.; Kuznetsov, A.I. Directional lasing in resonant semiconductor nanoantenna arrays. Nat. Nanotechnol. 2018, 13, 1042–1047. [Google Scholar] [CrossRef] [PubMed]
- Savelev, R.S.; Slobozhanyuk, A.P.; Miroshnichenko, A.E.; Kivshar, Y.S.; Belov, P.A. Subwavelength waveguides composed of dielectric nanoparticles. Phys. Rev. B 2014, 89, 035435. [Google Scholar] [CrossRef]
- Bulgakov, E.N.; Maksimov, D.N. Light guiding above the light line in arrays of dielectric nanospheres. Optics Letters 2016, 41, 3888–3891. [Google Scholar] [CrossRef] [PubMed]
- Bakker, R.M.; Yu, Y.F.; Paniagua-Domínguez, R.; Luk’yanchuk, B.; Kuznetsov, A.I. Resonant light guiding along a chain of silicon nanoparticles. Nano Lett. 2017, 17, 3458–3464. [Google Scholar] [CrossRef]
- Shen, F.; Kang, Q.; Wang, J.; Guo, K.; Zhou, Q.; Guo, Z. Dielectric metasurface-based high-efficiency mid-infrared optical filter. Nanomaterials 2018, 8, 938. [Google Scholar] [CrossRef]
- Ng, R.C.; Garcia, J.C.; Greer, J.R.; Fountaine, K.T. Polarization-independent, narrowband, near-IR spectral filters via guided mode resonances in ultrathin a-Si nanopillar arrays. ACS Photonics 2019, 6, 265–271. [Google Scholar] [CrossRef]
- Utyushev, A.D.; Isaev, I.L.; Gerasimov, V.S.; Ershov, A.E.; Zakomirnyi, V.I.; Rasskazov, I.L.; Polyutov, S.P.; Ågren, H.; Karpov, S.V. Engineering novel tunable optical high-Q nanoparticle array filters for a wide range of wavelengths. Opt. Express 2020, 28, 1426–1438. [Google Scholar] [CrossRef]
- Gili, V.F.; Carletti, L.; Locatelli, A.; Rocco, D.; Finazzi, M.; Ghirardini, L.; Favero, I.; Gomez, C.; Lemaître, A.; Celebrano, M.; et al. Monolithic AlGaAs second-harmonic nanoantennas. Opt. Express 2016, 24, 15965–15971. [Google Scholar] [CrossRef]
- Liu, S.; Keeler, G.A.; Reno, J.L.; Sinclair, M.B.; Brener, I. III-V Semiconductor nanoresonators-a new strategy for passive, active, and nonlinear all-dielectric metamaterials. Adv. Opt. Mater. 2016, 4, 1457–1462. [Google Scholar] [CrossRef]
- Liu, S.; Vabishchevich, P.P.; Vaskin, A.; Reno, J.L.; Keeler, G.A.; Sinclair, M.B.; Staude, I.; Brener, I. An all-dielectric metasurface as a broadband optical frequency mixer. Nat. Commun. 2018, 9, 2507. [Google Scholar] [CrossRef] [PubMed]
- Smirnova, D.; Smirnov, A.I.; Kivshar, Y.S. Multipolar second-harmonic generation by Mie-resonant dielectric nanoparticles. Phys. Rev. A 2018, 97, 013807. [Google Scholar] [CrossRef]
- Koshelev, K.; Kruk, S.; Melik-Gaykazyan, E.; Choi, J.H.; Bogdanov, A.; Park, H.G.; Kivshar, Y. Subwavelength dielectric resonators for nonlinear nanophotonics. Science 2020, 367, 288–292. [Google Scholar] [CrossRef] [PubMed]
- Staude, I.; Miroshnichenko, A.E.; Decker, M.; Fofang, N.T.; Liu, S.; Gonzales, E.; Dominguez, J.; Luk, T.S.; Neshev, D.N.; Brener, I.; et al. Tailoring directional scattering through magnetic and electric resonances in subwavelength silicon nanodisks. ACS Nano 2013, 7, 7824–7832. [Google Scholar] [CrossRef] [PubMed]
- Baryshnikova, K.V.; Petrov, M.I.; Babicheva, V.E.; Belov, P.A. Plasmonic and silicon spherical nanoparticle antireflective coatings. Sci. Rep. 2016, 6, 22136. [Google Scholar] [CrossRef] [PubMed]
- Tsoi, S.; Bezares, F.J.; Giles, A.; Long, J.P.; Glembocki, O.J.; Caldwell, J.D.; Owrutsky, J. Experimental demonstration of the optical lattice resonance in arrays of Si nanoresonators. Appl. Phys. Lett. 2016, 108, 111101. [Google Scholar] [CrossRef]
- Babicheva, V.E.; Evlyukhin, A.B. Interplay and coupling of electric and magnetic multipole resonances in plasmonic nanoparticle lattices. MRS Commun. 2018, 8, 712–717. [Google Scholar] [CrossRef]
- Babicheva, V.E.; Moloney, J.V. Lattice effect influence on the electric and magnetic dipole resonance overlap in a disk array. Nanophotonics 2018, 7, 1663–1668. [Google Scholar] [CrossRef]
- Babicheva, V.E. Lattice Kerker effect in the array of hexagonal boron nitride antennas. MRS Adv. 2018, 3, 2783–2788. [Google Scholar] [CrossRef]
- Babicheva, V.E. Directional scattering by the hyperbolic-medium antennas and silicon particles. MRS Adv. 2018, 3, 1913–1917. [Google Scholar] [CrossRef]
- Babicheva, V.E.; Evlyukhin, A.B. Resonant suppression of light transmission in high-refractive-index nanoparticle metasurfaces. Optics Lett. 2018, 43, 5186–5189. [Google Scholar] [CrossRef] [PubMed]
- Li, J.; Verellen, N.; Van Dorpe, P. Engineering electric and magnetic dipole coupling in arrays of dielectric nanoparticles. J. Appl. Phys. 2018, 123, 083101. [Google Scholar] [CrossRef]
- Babicheva, V.E. Multipole resonances in transdimensional lattices of plasmonic and silicon nanoparticles. MRS Adv. 2019, 4, 713–722. [Google Scholar] [CrossRef]
- Rahimzadegan, A.; Arslan, D.; Suryadharma, R.N.S.; Fasold, S.; Falkner, M.; Pertsch, T.; Staude, I.; Rockstuhl, C. Disorder-induced phase transitions in the transmission of dielectric metasurfaces. Phys. Rev. Lett. 2019, 122, 015702. [Google Scholar] [CrossRef] [PubMed]
- Terekhov, P.D.; Babicheva, V.E.; Baryshnikova, K.V.; Shalin, A.S.; Karabchevsky, A.; Evlyukhin, A.B. Multipole analysis of dielectric metasurfaces composed of nonspherical nanoparticles and lattice invisibility effect. Phys. Rev. B 2019, 99, 045424. [Google Scholar] [CrossRef]
- Zakomirnyi, V.I.; Karpov, S.V.; Ågren, H.; Rasskazov, I.L. Collective lattice resonances in disordered and quasi-random all-dielectric metasurfaces. J. Opt. Soc. Am. B 2019, 36, E21–E29. [Google Scholar] [CrossRef]
- Zakomirnyi, V.I.; Ershov, A.E.; Gerasimov, V.S.; Karpov, S.V.; Ågren, H.; Rasskazov, I.L. Collective lattice resonances in arrays of dielectric nanoparticles: A matter of size. Opt. Lett. 2019, 44, 5743–5746. [Google Scholar] [CrossRef]
- Babicheva, V.E.; Evlyukhin, A.B. Resonant lattice Kerker effect in metasurfaces with electric and magnetic optical responses. Laser Photonics Rev. 2017, 11, 1700132. [Google Scholar] [CrossRef]
- Babicheva, V.E.; Petrov, M.I.; Baryshnikova, K.V.; Belov, P.A. Reflection compensation mediated by electric and magnetic resonances of all-dielectric metasurfaces [Invited]. J. Opt. Soc. Am. B 2017, 34, D18–D28. [Google Scholar] [CrossRef]
- Liu, W.; Kivshar, Y.S. Generalized Kerker effects in nanophotonics and meta-optics [Invited]. Opt. Express 2018, 26, 13085. [Google Scholar] [CrossRef]
- Shamkhi, H.K.; Baryshnikova, K.V.; Sayanskiy, A.; Kapitanova, P.; Terekhov, P.D.; Belov, P.; Karabchevsky, A.; Evlyukhin, A.B.; Kivshar, Y.; Shalin, A.S. Transverse scattering and generalized Kerker effects in all-dielectric Mie-resonant metaoptics. Phys. Rev. Lett. 2019, 122, 193905. [Google Scholar] [CrossRef] [PubMed]
- Wood, R.W. On a remarkable case of uneven distribution of light in a diffraction grating spectrum. Proc. Phys. Soc. Lond. 1902, 18, 269–275. [Google Scholar] [CrossRef]
- Rayleigh, L. On the dynamical theory of gratings. Proc. R. Soc. A 1907, 79, 399–416. [Google Scholar] [CrossRef]
- Zou, S.; Schatz, G.C. Narrow plasmonic/photonic extinction and scattering line shapes for one and two dimensional silver nanoparticle arrays. J. Chem. Phys. 2004, 121, 12606–12612. [Google Scholar] [CrossRef]
- Zou, S.; Janel, N.; Schatz, G.C. Silver nanoparticle array structures that produce remarkably narrow plasmon lineshapes. J. Chem. Phys. 2004, 120, 10871–10875. [Google Scholar] [CrossRef]
- Markel, V.A. Divergence of dipole sums and the nature of non-Lorentzian exponentially narrow resonances in one-dimensional periodic arrays of nanospheres. J. Phys. B 2005, 38, L115–L121. [Google Scholar] [CrossRef][Green Version]
- Kravets, V.G.; Schedin, F.; Grigorenko, A.N. Extremely narrow plasmon resonances based on diffraction coupling of localized plasmons in arrays of metallic nanoparticles. Phys. Rev. Lett. 2008, 101, 087403. [Google Scholar] [CrossRef]
- Chu, Y.; Schonbrun, E.; Yang, T.; Crozier, K.B. Experimental observation of narrow surface plasmon resonances in gold nanoparticle arrays. Appl. Phys. Lett. 2008, 93, 181108. [Google Scholar] [CrossRef]
- Auguié, B.; Barnes, W.L. Collective resonances in gold nanoparticle arrays. Phys. Rev. Lett. 2008, 101, 143902. [Google Scholar] [CrossRef]
- Ross, M.B.; Mirkin, C.A.; Schatz, G.C. Optical properties of one-, two-, and three-dimensional arrays of plasmonic nanostructures. J. Phys. Chem. C 2016, 120, 816–830. [Google Scholar] [CrossRef]
- Zakomirnyi, V.I.; Rasskazov, I.L.; Gerasimov, V.S.; Ershov, A.E.; Polyutov, S.P.; Karpov, S.V. Refractory titanium nitride two-dimensional structures with extremely narrow surface lattice resonances at telecommunication wavelengths. Appl. Phys. Lett. 2017, 111, 123107. [Google Scholar] [CrossRef]
- Kravets, V.G.; Kabashin, A.V.; Barnes, W.L.; Grigorenko, A.N. Plasmonic surface lattice resonances: A review of properties and applications. Chem. Rev. 2018, 118, 5912–5951. [Google Scholar] [CrossRef] [PubMed]
- Wang, W.; Ramezani, M.; Väkeväinen, A.I.; Törmä, P.; Rivas, J.G.; Odom, T.W. The rich photonic world of plasmonic nanoparticle arrays. Mater. Today 2018, 21, 303–314. [Google Scholar] [CrossRef]
- Gerasimov, V.S.; Ershov, A.E.; Bikbaev, R.G.; Rasskazov, I.L.; Timofeev, I.V.; Polyutov, S.P.; Karpov, S.V. Engineering mode hybridization in regular arrays of plasmonic nanoparticles embedded in 1D photonic crystal. J. Quant. Spectrosc. Radiat. Transf. 2019, 224, 303–308. [Google Scholar] [CrossRef]
- Tan, T.; Plum, E.; Singh, R. Surface lattice resonances in THz metamaterials. Photonics 2019, 6, 75. [Google Scholar] [CrossRef]
- Ershov, A.E.; Gerasimov, V.S.; Bikbaev, R.G.; Polyutov, S.P.; Karpov, S.V. Mode coupling in arrays of Al nanoparticles. J. Quant. Spectrosc. Radiat. Transfer 2020, 106961. [Google Scholar] [CrossRef]
- Evlyukhin, A.B.; Reinhardt, C.; Seidel, A.; Luk’yanchuk, B.S.; Chichkov, B.N. Optical response features of Si-nanoparticle arrays. Phys. Rev. B 2010, 82, 045404. [Google Scholar] [CrossRef]
- García-Etxarri, A.; Gómez-Medina, R.; Froufe-Pérez, L.S.; López, C.; Chantada, L.; Scheffold, F.; Aizpurua, J.; Nieto-Vesperinas, M.; Sáenz, J.J. Strong magnetic response of submicron Silicon particles in the infrared. Opt. Exp. 2011, 19, 4815. [Google Scholar] [CrossRef]
- Auguié, B.; Barnes, W.L. Diffractive coupling in gold nanoparticle arrays and the effect of disorder. Opt. Lett. 2009, 34, 401–403. [Google Scholar] [CrossRef]
- Rodriguez, S.; Schaafsma, M.; Berrier, A.; Gómez Rivas, J. Collective resonances in plasmonic crystals: Size matters. Physica B 2012, 407, 4081–4085. [Google Scholar] [CrossRef]
- Zundel, L.; Manjavacas, A. Finite-size effects on periodic arrays of nanostructures. J. Phys. Photonics 2019, 1, 015004. [Google Scholar] [CrossRef]
- Wang, D.; Bourgeois, M.R.; Guan, J.; Fumani, A.K.; Schatz, G.C.; Odom, T.W. Lasing from finite plasmonic nanoparticle lattices. ACS Photonics 2020, 7, 630–636. [Google Scholar] [CrossRef]
- Marae-Djouda, J.; Caputo, R.; Mahi, N.; Lévêque, G.; Akjouj, A.; Adam, P.M.; Maurer, T. Angular plasmon response of gold nanoparticles arrays: Approaching the Rayleigh limit. Nanophotonics 2017, 6, 279–288. [Google Scholar] [CrossRef]
- Tretnak, V.; Hohenester, U.; Krenn, J.R.; Hohenau, A. The role of particle size in the dispersion engineering of plasmonic arrays. J. Phys. Chem. C 2020, 124, 2104–2112. [Google Scholar] [CrossRef]
- Mulholland, G.W.; Bohren, C.F.; Fuller, K.A. Light scattering by agglomerates: Coupled electric and magnetic dipole method. Langmuir 1994, 10, 2533–2546. [Google Scholar] [CrossRef]
- Merchiers, O.; Moreno, F.; González, F.; Saiz, J.M. Light scattering by an ensemble of interacting dipolar particles with both electric and magnetic polarizabilities. Phys. Rev. A 2007, 76, 043834. [Google Scholar] [CrossRef]
- Bohren, C.F.; Huffman, D.R. Absorption and Scattering of Light by Small Particles; Wiley-VCH Verlag GmbH: Weinheim, Germany, 1998; p. 530. [Google Scholar] [CrossRef]
- Palik, E.D. Handbook of Optical Constants of Solids II; Academic Press: New York, NY, USA, 1998; p. 1096. [Google Scholar]
- Chen, Y.G.; Kao, T.S.; Ng, B.; Li, X.; Luo, X.G.; Luk’yanchuk, B.; Maier, S.A.; Hong, M.H. Hybrid phase-change plasmonic crystals for active tuning of lattice resonances. Opt. Exp. 2013, 21, 13691–13698. [Google Scholar] [CrossRef]
- Zhang, C.; Jing, J.; Wu, Y.; Fan, Y.; Yang, W.; Wang, S.; Song, Q.; Xiao, S. Stretchable all-dielectric metasurfaces with polarization-insensitive and full-spectrum response. ACS Nano 2020, 14, 1418–1426. [Google Scholar] [CrossRef]




© 2020 by the authors. Licensee MDPI, Basel, Switzerland. This article is an open access article distributed under the terms and conditions of the Creative Commons Attribution (CC BY) license (http://creativecommons.org/licenses/by/4.0/).
Share and Cite
Utyushev, A.D.; Zakomirnyi, V.I.; Ershov, A.E.; Gerasimov, V.S.; Karpov, S.V.; Rasskazov, I.L. Collective Lattice Resonances in All-Dielectric Nanostructures under Oblique Incidence. Photonics 2020, 7, 24. https://doi.org/10.3390/photonics7020024
Utyushev AD, Zakomirnyi VI, Ershov AE, Gerasimov VS, Karpov SV, Rasskazov IL. Collective Lattice Resonances in All-Dielectric Nanostructures under Oblique Incidence. Photonics. 2020; 7(2):24. https://doi.org/10.3390/photonics7020024
Chicago/Turabian StyleUtyushev, Anton D., Vadim I. Zakomirnyi, Alexander E. Ershov, Valeriy S. Gerasimov, Sergey V. Karpov, and Ilia L. Rasskazov. 2020. "Collective Lattice Resonances in All-Dielectric Nanostructures under Oblique Incidence" Photonics 7, no. 2: 24. https://doi.org/10.3390/photonics7020024
APA StyleUtyushev, A. D., Zakomirnyi, V. I., Ershov, A. E., Gerasimov, V. S., Karpov, S. V., & Rasskazov, I. L. (2020). Collective Lattice Resonances in All-Dielectric Nanostructures under Oblique Incidence. Photonics, 7(2), 24. https://doi.org/10.3390/photonics7020024

