Numerical Analysis of Nonlocal Optical Response of Metallic Nanoshells
Abstract
1. Introduction
2. Quantum Hydrodynamic Theory
3. Geometry of the Problem
4. Numerical Results and Discussion
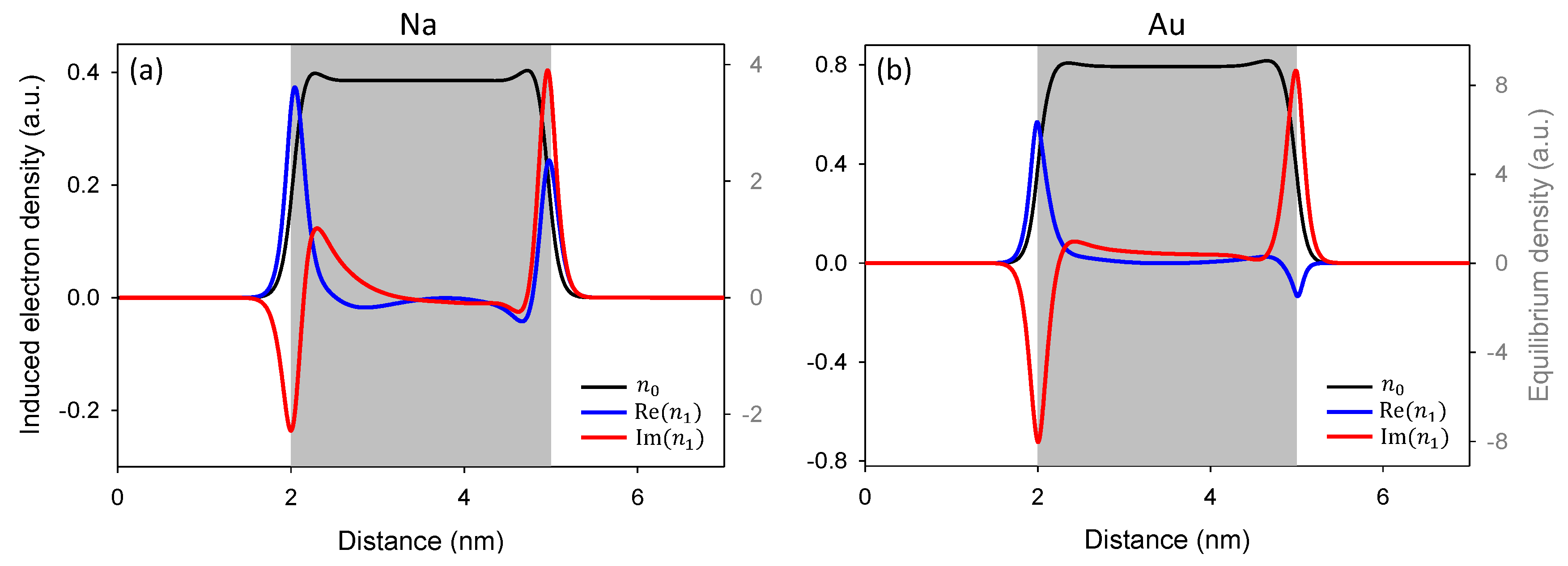
4.1. Na Nanoshell
4.2. Au Nanoshell
5. Conclusions
Author Contributions
Funding
Conflicts of Interest
Abbreviations
| LRA | Local response approximation |
| TFHT | Thomas–Fermi hydrodynamic theory |
| QHT | Quantum hydrodynamic theory |
| LEM | Lower energy mode |
| HEM | Higher energy mode |
References
- Kreibig, U.; Vollmer, M. Optical Properties of Metal Clusters; Springer: Heidelberg, Germany, 1995. [Google Scholar]
- Kelly, K.L.; Coronado, E.; Zhao, L.L.; Schatz, G.C. The optical properties of metal nanoparticles: The influence of size, shape and dielectric environment. J. Phys. Chem. B 2003, 107, 668–677. [Google Scholar] [CrossRef]
- Yu, Y.-Y.; Chang, S.-S.; Lee, C.-L.; Wang, C.R.C. Gold nanorods: Electrochemical synthesis and optical properties. J. Phys. Chem. B 1997, 101, 6661–6664. [Google Scholar] [CrossRef]
- Jin, R.; Cao, Y.; Mirkin, C.A.; Kelly, K.L.; Schatz, G.C.; Zheng, J.G. Photoinduced conversion of silver nanospheres to nanoprisms. Science 2001, 294, 1901–1903. [Google Scholar] [CrossRef] [PubMed]
- Sun, Y.; Xia, Y. Shape-controlled synthesis of gold and silver nanoparticles. Science 2002, 298, 2176–2179. [Google Scholar] [CrossRef]
- Raza, S.; Toscano, G.; Jauho, A.P.; Wubs, M.; Mortensen, N.A. Unusual resonances in nanoplasmonic structures due to nonlocal response. Phys. Rev. B 2011, 84, 121412. [Google Scholar] [CrossRef]
- Raza, S.; Bozhevolnyi, S.I.; Wubs, M.; Mortensen, N.A. Nonlocal optical response in metallic nanostructures. J. Phys. Condens. Matter 2015, 27, 183204. [Google Scholar] [CrossRef]
- Toscano, G.; Raza, S.; Jauho, A.P.; Mortensen, N.A.; Wubs, M. Modified field enhancement and extinction by plasmonic nanowire dimers due to nonlocal response. Opt. Express 2012, 20, 4176–4188. [Google Scholar] [CrossRef] [PubMed]
- Ciracì, C.; Hill, R.T.; Mock, J.J.; Urzhumov, Y.; Fernández-Domínguez, A.I.; Maier, S.A.; Pendry, J.B.; Chilkoti, A.; Smith, D.R. Probing the ultimate limits of plasmonic enhancement. Science 2012, 337, 1072–1074. [Google Scholar] [CrossRef]
- Ciracì, C.; Urzhumov, Y.A.; Smith, D.R. Effects of classical nonlocality on the optical response of three-dimensional plasmonic nanodimers. J. Opt. Soc. Am. B 2013, 30, 2731–2736. [Google Scholar] [CrossRef]
- Zhu, W.; Esteban, R.; Borisov, A.G.; Baumberg, J.J.; Nordlander, P.; Lezec, H.J.; Aizpurua, J.; Crozier, K.B. Quantum mechanical effects in plasmonic structures with subnanometre gaps. Nat. Commun. 2016, 7, 11495. [Google Scholar] [CrossRef]
- Savage, K.J.; Hawkeye, M.M.; Esteban, R.; Borisov, A.G.; Aizpurua, J.; Baumberg, J.J. Revealing the quantum regime in tunneling plasmonics. Nature 2012, 491, 574–577. [Google Scholar] [CrossRef] [PubMed]
- Scholl, J.A.; García-Etxarri, A.; Koh, A.L.; Dionne, J.A. Observation of quantum tunneling between two plasmonic nanoparticles. Nano Lett. 2013, 13, 564–569. [Google Scholar] [CrossRef]
- Ullrich, C.A. Time-Dependent Density Functional Theory: Concepts and Applications; Oxford University Press: Oxford, UK, 2011. [Google Scholar]
- Lermé, J.; Palpant, B.; Cottancin, E.; Pellarin, M.; Prével, B.; Vialle, J.L.; Broyer, M. Quantum extension of mie’s theory in the dipolar approximation. Phys. Rev. B 1999, 60, 16151–16156. [Google Scholar] [CrossRef]
- Esteban, R.; Borisov, A.G.; Nordlander, P.; Aizpurua, J. Bridging quantum and classical plasmonics with a quantum-corrected model. Nat. Commun. 2012, 3, 825. [Google Scholar] [CrossRef]
- Luo, Y.; Fernández-Domínguez, A.I.; Wiener, A.; Maier, S.A.; Bendry, J.B. Surface plasmons and nonlocality: A simple model. Rev. Mod. Phys. 2013, 111, 093901. [Google Scholar] [CrossRef]
- Yan, W.; Wubs, M.; Mortensen, N.A. Projected dipole model for quantum plasmonics. Phys. Rev. Lett. 2015, 115, 137403. [Google Scholar] [CrossRef] [PubMed]
- Zapata, M.; Beltrán, A.S.C.; Borisov, A.G.; Aizupura, J. Quantum effects in the optical response of extended plasmonic gaps: Validation of the quantum corrected model in core-shell nanomatryushkas. Opt. Express 2015, 23, 8134–8149. [Google Scholar] [CrossRef]
- Toscano, G.; Straubel, J.; Kwiatkowski, A.; Rockstuhl, C.; Evers, F.; Xu, H.; Mortensen, N.A.; Wubs, M. Resonance shifts and spill-out effects in self-consistent hydrodynamic nanoplasmonics. Nat. Commun. 2015, 6, 7132. [Google Scholar] [CrossRef]
- Ciracì, C.; Sala, F.D. Quantum hydrodynamic theory for plasmonics: Impact of the electron density tail. Phys. Rev. B 2016, 93, 205405. [Google Scholar] [CrossRef]
- Ciracì, C. Current-dependent potential for nonlocal absorption in quantum hydrodynamic theory. Phys. Rev. B 2017, 95, 245434. [Google Scholar] [CrossRef]
- Khalid, M.; Sala, F.D.; Ciracì, C. Optical properties of plasmonic core-shell nanomatryoshkas: A quantum hydrodynamic analysis. Opt. Express 2018, 26, 17322–17334. [Google Scholar] [CrossRef]
- Oldenburg, S.J.; Averitt, R.D.; Westcott, S.L.; Halas, N.J. Nanoengineering of optical resonances. Chem. Phys. Lett. 1998, 288, 243–247. [Google Scholar] [CrossRef]
- Oldenburg, S.J.; Jackson, J.B.; Westcott, S.L.; Halas, N.J. Infrared extinction properties of gold nanoshells. Appl. Phys. Lett. 1999, 75, 2897–2899. [Google Scholar] [CrossRef]
- Aizpurua, J.; Hanarp, P.; Sutherland, D.S.; Kall, M.; Bryant, G.W.; de Abajo, F.J.G. Optical properties of gold nanorings. Phys. Rev. Lett. 2003, 90, 57401. [Google Scholar] [CrossRef]
- Averitt, R.D.; Sarkar, D.; Halas, N.J. Plasmon resonance shifts of Au-coated Au2S nanoshells: Insight into multicomponent nanoparticle growth. Phys. Rev. Lett. 1997, 78, 4217–4220. [Google Scholar] [CrossRef]
- Prodan, E.; Nordlander, P.; Halas, N.J. Effects of dielectric screening on the optical properties of metallic nanoshells. Chem. Phys. Lett. 2003, 368, 94–101. [Google Scholar] [CrossRef]
- Prodan, E.; Radloff, C.; Halas, N.J.; Nordlander, P. A hybridization model for the plasmon response of complex nanostructures. Science 2003, 302, 419–422. [Google Scholar] [CrossRef]
- Prodan, E.; Nordlander, P. Plasmon hybridization in spherical nanoparticles. J. Chem. Phys. 2004, 120, 5444–5454. [Google Scholar] [CrossRef]
- Baer, R.; Neuhauser, D.; Weiss, S. Enhanced absorption induced by a metallic nanoshell. Nano Lett. 2004, 4, 85–88. [Google Scholar] [CrossRef]
- West, J.L.; Halas, N.J. Engineered nanomaterials for biophotonics application: Improving sensing, imaging, and therapeutics. Annu. Rev. Biomed. Eng. 2003, 5, 285–292. [Google Scholar] [CrossRef]
- Khlebtsov, B.N.; Khlebtsov, N.G. Biosensing potential of silica/gold nanoshells: Sensitivity of plasmon resonance to the local dielectric environment. J. Quant. Spectr. Radiat. Trans. 2007, 106, 154–169. [Google Scholar] [CrossRef]
- Oldenburg, S.J.; Westcott, S.L.; Averitt, R.D.; Halas, N.J. Surface enhanced Raman scattering in the near infrared using metal nanoshell substrates. J. Chem. Phys. 1999, 111, 4729–4735. [Google Scholar] [CrossRef]
- Hao, E.; Li, S.; Bailey, S.L.; Zou, S.; Schatz, G.C.; Hupp, J.T. Optical properties of metal nanoshells. J. Phys. Chem. B 2004, 108, 1224–1229. [Google Scholar] [CrossRef]
- Goude, Z.E.; Leung, P.T. Surface enhanced Raman scattering from metallic nanoshells with nonlocal dielectric response. Solid State Commun. 2007, 143, 416–420. [Google Scholar] [CrossRef]
- Hirsch, L.R.; Stafford, R.J.; Bankson, J.A.; Sershen, S.R.; Rivera, B.; Price, R.E.; Hazle, J.D.; Halas, N.J.; West, J.L. Nanoshell-mediated near-infrared thermal therapy of tumors under magnetic resonance guidance. Proc. Natl. Acad. Sci. USA 2003, 100, 13549–13555. [Google Scholar] [CrossRef]
- Khlebtsov, B.; Zharov, V.; Melnikov, A.; Tuchin, V.; Khlebtsov, N. Optical amplification of photothermal therapy with gold nanoparticles and nanoclusters. Nanotechnology 2006, 17, 5167–5179. [Google Scholar] [CrossRef]
- Harris, N.; Ford, M.J.; Cortie, M.B. Optimization of plasmonic heating by gold nanospheres and nanoshells. J. Phys. Chem. B 2006, 110, 10701–10707. [Google Scholar] [CrossRef]
- Comsol Multiphysics. Available online: http://www.comsol.com (accessed on 7 April 2019).
- Ciracì, C.; Urzhumov, Y.A.; Smith, D.R. Far-field analysis of axially symmetric three-dimensional directional cloaks. Opt. Express 2013, 21, 9397–9406. [Google Scholar] [CrossRef]
- Prodan, E.; Lee, A.; Nordlander, P. The effect of a dielectric core and embedding medium on the polarizability of metallic nanoshells. Chem. Phys. Lett. 2002, 360, 325–332. [Google Scholar] [CrossRef]
- Ekardt, W. Size-dependent photoabsorption and photoemission of small metal particles. Phys. Rev. B 1985, 31, 6360–6370. [Google Scholar] [CrossRef]
- Brack, M. The physics of simple metal clusters: Self-consistent jellium model and semiclassical approaches. Rev. Mod. Phys. 1993, 65, 677–732. [Google Scholar] [CrossRef]
- Prodan, E.; Nordlander, P. Structural tunability of the plasmon resonances in metallic nanoshells. Nano Lett. 2003, 3, 543–547. [Google Scholar] [CrossRef]
- Shayesteh, S.F.; Saie, M. The effect of surface plasmon resonance on optical response in dielectric (core)-metal (shell) nanoparticles. Pramana-J. Phys. 2015, 85, 1245–1255. [Google Scholar] [CrossRef]
- Zuloaga, J.; Prodan, E.; Nordlander, P. Quantum description of the plasmon resonances of a nanoparticle dimer. Nano Lett. 2009, 9, 887–891. [Google Scholar] [CrossRef]
- Teperik, T.V.; Nordlander, P.; Aizpurua, J.; Borisov, A.G. Robust Subnanometric plasmon ruler by rescaling of the nonlocal optical response. Phys. Rev. Lett. 2013, 110, 263901. [Google Scholar] [CrossRef] [PubMed]
- Rojas, R.; Claro, F.; Fuchs, R. Nonlocal response of a small coated sphere. Phys. Rev. B 1988, 37, 6799–6807. [Google Scholar] [CrossRef]
- David, C.; de Abajo, J.G. Spatial nonlocality in the optical response of metal nanoparticles. J. Phys. Chem. C 2011, 115, 19470–19475. [Google Scholar] [CrossRef]
- Huang, Y.; Goa, L. Superscattering of light from core-shell nonlocal plasmonic nanoparticles. J. Phys. Chem. C 2014, 118, 30170–30178. [Google Scholar] [CrossRef]
- Huang, Y.; Xiao, J.J.; Goa, L. Antibonding and bonding lasing modes with low gain threshold in nonlocal metallic nanoshell. Opt. Express 2015, 23, 8818–8828. [Google Scholar] [CrossRef]
- Tserkezis, C.; Gantzounis, G.; Stefanou, N. Collective plasmonic modes in ordered assemblies of metallic nanoshells. J. Phys. Condens. Matter 2008, 20, 075232. [Google Scholar] [CrossRef]
- Tserkezis, C.; Stefanou, N.; Wubs, M.; Mortensen, N.A. Molecular fluorescence enhancement in plasmonic environments: Exploring the role of nonlocal effects. Nanoscale 2016, 8, 17532–17541. [Google Scholar] [CrossRef] [PubMed]








© 2019 by the authors. Licensee MDPI, Basel, Switzerland. This article is an open access article distributed under the terms and conditions of the Creative Commons Attribution (CC BY) license (http://creativecommons.org/licenses/by/4.0/).
Share and Cite
Khalid, M.; Ciracì, C. Numerical Analysis of Nonlocal Optical Response of Metallic Nanoshells. Photonics 2019, 6, 39. https://doi.org/10.3390/photonics6020039
Khalid M, Ciracì C. Numerical Analysis of Nonlocal Optical Response of Metallic Nanoshells. Photonics. 2019; 6(2):39. https://doi.org/10.3390/photonics6020039
Chicago/Turabian StyleKhalid, Muhammad, and Cristian Ciracì. 2019. "Numerical Analysis of Nonlocal Optical Response of Metallic Nanoshells" Photonics 6, no. 2: 39. https://doi.org/10.3390/photonics6020039
APA StyleKhalid, M., & Ciracì, C. (2019). Numerical Analysis of Nonlocal Optical Response of Metallic Nanoshells. Photonics, 6(2), 39. https://doi.org/10.3390/photonics6020039

