Dynamics of the MnAs α/β-Striped Microstructure and of the Fe Magnetization Reversal in Fe/MnAs/GaAs(001): An Optical-Laser Pump–Free-Electron-Laser Probe Scattering Experiment
Abstract
:1. Introduction
2. Materials and Methods
3. Results
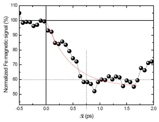
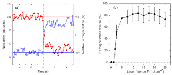
3.1. Magnetic Response of the Fe Layer
3.2. Evolution of the MnAs/GaAs(001) Microstructure
3.2.1. Experimental Results and Data Analysis
- -
- The temporal evolution of both 1st and 2nd order peaks shows clearly two different slopes, and it can be fitted by a double-exponential decay function, with two characteristic time constants t1 and t2. The values of t1 (4–14 ps) and of t2 (50–200 ps) for the 1st order peaks vary with parameters TO and F, but there is always about one order of magnitude between the two (Figure 5).
- -
- -
- Specular reflectivity increases steeply over a few tens of ps (Figure 6c).
- -
- While the first order peaks decrease monotonically up to 400 ps, the 2nd orders, which vanish after approximately 100 ps, seem to regain intensity for Δt > 200 ps (Figure 6c).
3.2.2. Electron-Spin-Phonon Coupling, α→β Transition and Time evolution of Bragg Peak Intensities
4. Discussion of Structural Analysis and Implications on Fe Magnetism
- -
- Absorption of pump energy by electrons within ~30 nm from the surface; timescale set by the laser pulse duration.
- -
- Energy transfer from the electron reservoir to the spin reservoir; timescale ~500 fs (Figure 2).
- -
- Energy transfer from electrons and spins to the lattice via electron–phonon and spin–phonon coupling, both processes promoting the transition to a homogeneous MnAs phase within the interaction volume (~30 nm); timescale of a few ps (Figure 5). The temperature increase affects the diffracted intensity by reducing the height and by smearing the edges of the steps between the stripes. Since edge smearing affects 2nd order peaks more than 1st order ones, different Δt dependencies of their intensities are observed (Figure 4c, Figure 5a and Figure 6c).
- -
- Thermal diffusion towards the MnAs/GaAs interface; the analysis of the timescale of this process is limited by the experimentally accessible delay range of 400 ps.
- -
- The overall effect is to progressively transform the MnAs layer into a single phase that we assume to be the β-phase. Starting from a homogeneously α-MnAs sample (TO < 10 °C), one doesn’t expect to induce stripe formation over the 400 ps delay range that we can access. This is confirmed experimentally by our data: Bragg peak intensities never increase and, especially, no Bragg peak ever appears over our Δt range when starting from TO < 10 C (Figure 7b).
5. Conclusions
Acknowledgments
Author Contributions
Conflicts of Interest
References
- Däweritz, L. Interplay of stress and magnetic properties in epitaxial MnAs films. Rep. Prog. Phys. 2006, 69, 2581–2629. [Google Scholar] [CrossRef]
- Wada, H.; Tanabe, Y. Giant magnetocaloric effect of MnAs1−xSbx. Appl. Phys. Lett. 2001, 79, 3302. [Google Scholar]
- Duquesne, J.-Y.; Prieur, J.-Y.; Agudo Canalejo, J.; Etgens, V.H.; Eddrief, M.; Ferreira, A.L.; Marangolo, M. Ultrasonic triggering of giant magnetocaloric effect in MnAs thin films. Phys. Rev. B 2012, 86, 035207. [Google Scholar]
- Ramsteiner, M.; Hao, H.Y.; Kawaharazuka, A.; Zhu, H.J.; Kastner, M.; Hey, R.; Daweritz, L.; Grahn, H.T.; Ploog, K.H. Electrical spin injection from ferromagnetic MnAs metal layers into GaAs. Phys. Rev. B 2002, 66, 081304. [Google Scholar] [CrossRef]
- Chernenko, V.A.; Wee, L.; McCormick, P.G.; Street, R. Giant magnetoelastic response in MnAs. J. Appl. Phys. 1999, 85, 7833–7837. [Google Scholar] [CrossRef]
- Ishikawa, F.; Koyama, K.; Watanabe, K.; Asano, T.; Wada, H. First-Order Phase Transition at the Curie Temperature in MnAs and MnAs0.9Sb0.1. J. Phys. Soc. Jpn. 2006, 75, 084604. [Google Scholar] [CrossRef]
- Kaganer, V.M.; Jenichen, B.; Schippan, F.; Braun, W.; Däweritz, L.; Ploog, K.H. Strain-mediated phase coexistence in MnAs heteroepitaxial films on GaAs: An x-ray diffraction study. Phys. Rev. B 2002, 66, 045305. [Google Scholar] [CrossRef]
- Magalhães-Paniago, R.; Coelho, L.N.; Neves, B.R.A.; Westfahl, H.; Iikawa, F.; Däweritz, L.; Spezzani, C.; Sacchi, M. Temperature dependent stripe domains in MnAs/GaAs(001) studied by resonant x-ray reflectivity. Appl. Phys. Lett. 2005, 86, 053112. [Google Scholar] [CrossRef]
- Coelho, L.N.; Magalhães-Paniago, R.; Neves, B.R.A.; Vicentin, F.C.; Westfahl, H., Jr.; Fernandes, R.M.; Iikawa, F.; Däweritz, L.; Spezzani, C.; Sacchi, M. Magnetic reconfiguration of MnAs/GaAs(001) observed by Magnetic Force Microscopy and Resonant Soft X-ray Scattering. J. Appl. Phys. 2006, 100, 083906. [Google Scholar] [CrossRef]
- Sacchi, M.; Marangolo, M.; Spezzani, C.; Coelho, L.N.; Breitwieser, R.; Milano, J.; Etgens, V. Uniaxial anisotropy and temperature driven magnetization reversal of Fe deposited on a MnAs/GaAs(001) magnetic template. Phys. Rev. B 2008, 77, 165317. [Google Scholar] [CrossRef]
- Sacchi, M.; Marangolo, M.; Spezzani, C.; Breitwieser, R.; Popescu, H.; Salles, B.R.; Delaunay, R.; Eddrief, M.; Etgens, V. Thermal switching of the magnetization in an iron film on a magnetically active template MnAs/GaAs(001). Phys. Rev. B 2010, 81, 220401. [Google Scholar] [CrossRef]
- Vidal, F.; Spezzani, C.; Brietwieser, R.; Marangolo, M.; Eddrief, M.; Sacchi, M.; Etgens, V. Tuning the period of elastic MnAs/GaAs(001) α→β pattern by Fe deposition. Appl. Phys. Lett. 2010, 97, 251914. [Google Scholar] [CrossRef]
- Spezzani, C.; Vidal, F.; Delaunay, R.; Eddrief, M.; Marangolo, M.; Etgens, V.; Popescu, H.; Sacchi, M. Thermally induced magnetization switching in Fe/MnAs/GaAs(001): Selectable magnetic configurations by temperature and field control. Sci. Rep. 2015, 5, 8120. [Google Scholar] [CrossRef] [PubMed]
- Spezzani, C.; Ferrari, E.; Allaria, E.; Vidal, F.; Ciavardini, A.; Delaunay, R.; Capotondi, F.; Pedersoli, E.; Coreno, M.; Svetina, C.; et al. Magnetization and microstructure dynamics in Fe/MnAs/GaAs(001): Fe magnetization reversal by a femtosecond laser pulse. Phys. Rev. Lett. 2014, 113, 247202. [Google Scholar] [CrossRef] [PubMed]
- Kirilyuk, A.; Kimel, A.V.; Rasing, T. Ultrafast optical manipulation of magnetic order. Rev. Mod. Phys. 2010, 82, 2731. [Google Scholar] [CrossRef]
- Mangin, S.; Gottwald, M.; Lambert, C.-H.; Steil, D.; Uhlíř, V.; Pang, L.; Hehn, M.; Alebrand, S.; Cinchetti, M.; Malinowski, G.; et al. Engineered materials for all-optical helicity-dependent magnetic switching. Nat. Mater. 2014, 13, 286–292. [Google Scholar] [CrossRef] [PubMed]
- Le Guyader, L.; Savoini, M.; El Moussaoui, S.; Buzzi, M.; Tsukamoto, A.; Itoh, A.; Kirilyuk, A.; Rasing, T.; Kimel, A.V.; Nolting, F. Nanoscale sub-100 picosecond all-optical magnetization switching in GdFeCo microstructures. Nat. Commun. 2015, 6, 5839. [Google Scholar] [PubMed]
- Sacchi, M.; Spezzani, C.; Allaria, E.; Ferrari, E.; Coreno, M.; Marangolo, M.; Eddrief, M.; Etgens, V.; DeNinno, G. Time resolved pump-probe scattering in MnAs/GaAs(001): A look into the dynamics of α-β stripe domains. Appl. Phys. Lett. 2012, 100, 211905. [Google Scholar] [CrossRef]
- Dean, J.J.; Rench, D.W.; Samarth, N.; van Driel, H.M. Domain dynamics in thin solid films following ultrashort pulse excitation. Phys. Rev. Lett. 2013, 111, 035701. [Google Scholar] [CrossRef] [PubMed]
- Tanaka, M.; Harbison, J.P.; Park, M.C.; Park, Y.S.; Shin, T.; Rothberg, G.M. Epitaxial orientation and magnetic properties of MnAs thin films grown on (001) GaAs: Template effects. Appl. Phys. Lett. 1994, 65, 1964–1966. [Google Scholar] [CrossRef]
- Allaria, E.; Appio, R.; Badano, L.; Barletta, W.A.; Bassanese, S.; Biedron, S.G.; Borga, A.; Busetto, E.; Castronovo, D.; Cinquegrana, P.; et al. Highly coherent and stable pulses from the FERMI seeded free-electron laser in the extreme ultraviolet. Nat. Photonic 2012, 6, 699–704. [Google Scholar] [CrossRef]
- Allaria, E.; Diviacco, B.; Callegari, C.; Finetti, P.; Mahieu, B.; Viefhaus, J.; Zangrando, M.; De Ninno, G.; Lambert, G.; Ferrari, E.; et al. Control of the polarization of a vacuum-ultraviolet, high-gain, free-electron laser. Phys. Rev. X 2014, 4, 041040. [Google Scholar] [CrossRef]
- Pedersoli, E.; Capotondi, F.; Cocco, D.; Zangrando, M.; Kaulich, B.; Menk, R.H.; Locatelli, A.; Mentes, T.O.; Spezzani, C.; Sandrin, G.; et al. Multipurpose modular experimental station for the DiProI beamline of Fermi@Elettra free electron laser. Rev. Sci. Instrum. 2011, 82, 043711. [Google Scholar] [PubMed]
- Capotondi, F.; Pedersoli, E.; Mahne, N.; Menk, R.H.; Passos, G.; Raimondi, L.; Svetina, C.; Sandrin, G.; Zangrando, M.; Kiskinova, M.; et al. Invited Article: Coherent imaging using seeded free-electron laser pulses with variable polarization: First results and research opportunities. Rev. Sci. Instrum. 2013, 84, 051301. [Google Scholar] [CrossRef] [PubMed]
- Sacchi, M.; Spezzani, C.; Torelli, P.; Avila, A.; Delaunay, R.; Hague, C.F. Ultra-high vacuum soft X-ray reflectometer. Rev. Sci. Instrum. 2003, 74, 2791. [Google Scholar]
- Danailov, M.B.; Bencivenga, F.; Capotondi, F.; Casolari, F.; Cinquegrana, P.; Demidovich, A.; Giangrisostomi, E.; Kiskinova, M.P.; Kurdi, G.; Manfredda, M.; et al. Towards jitter-free pump-probe measurements at seeded free electron laser facilities. Opt. Express 2014, 22, 12869–12879. [Google Scholar] [CrossRef] [PubMed]
- Cinquegrana, P.; Cleva, S.; Demidovich, A.; Gaio, G.; Ivanov, R.; Kurdi, G.; Nikolov, I.; Sigalotti, P.; Danailov, M.B. Optical beam transport to a remote location for low jitter pump-probe experiments with a free electron laser. Phys. Rev. Spec. Top. Accel. Beams 2014, 17, 040702. [Google Scholar] [CrossRef]
- Sacchi, M.; Panaccione, G.; Vogel, J.; Mirone, A.; van der Laan, G. Magnetic dichroism in reflectivity and photoemission using linearly polarized light: 3p core level of Ni(110). Phys. Rev. B 1998, 58, 3750–3754. [Google Scholar] [CrossRef]
- La-O-Vorakiat, C.; Siemens, M.; Murnane, M.M.; Kapteyn, H.C.; Mathias, S.; Aeschlimann, M.; Grychtol, P.; Adam, R.; Schneider, C.M.; Shaw, J.M.; et al. Ultrafast demagnetization dynamics at the M edges of magnetic elements observed using a tabletop high-harmonic soft X-ray source. Phys. Rev. Lett. 2009, 103, 257402. [Google Scholar] [CrossRef] [PubMed]
- Koopmans, B.; Malinowski, G.; Dalla Longa, F.; Steiauf, D.; Fahnle, M.; Roth, T.; Cinchetti, M.; Aeschlimann, M. Explaining the paradoxical diversity of ultrafast laser-induced demagnetization. Nat. Mater. 2010, 9, 259–265. [Google Scholar] [CrossRef] [PubMed]
- Ihlemann, J.; Bärner, K. Elastic anomalies and phonon damping in a metallic high spin-low spin system. J. Magn. Magn. Mater. 1984, 46, 40–48. [Google Scholar] [CrossRef]
- Palumbo, O.; Castellano, C.; Paolone, A.; Cantelli, R. Extended x-ray absorption fine structure study of the MnAs local structure at the phase transitions. J. Phys. Condens. Matter 2005, 17. [Google Scholar] [CrossRef]
- Zou, J.D.; Wada, H.; Shen, B.G.; Sun, J.R.; Li, W. Giant magnetocaloric effect and soft-mode magneto-structural phase transition in MnAs. Eur. Phys. Lett. 2008, 81, 47002. [Google Scholar] [CrossRef]
- Lazewski, J.; Piekarz, P.; Tobo, J.; Wiendlocha, B.; Jochym, P.T.; Sternik, M.; Parlinski, K. Phonon mechanism of the magnetostructural phase transition in MnAs. Phys. Rev. Lett. 2010, 104, 147205. [Google Scholar] [CrossRef] [PubMed]
- Lazewski, J.; Piekarz, P.; Parlinski, K. Mechanism of the phase transitions in MnAs. Phys. Rev. B 2011, 83, 054108. [Google Scholar] [CrossRef]
- Mikulík, P.; Baumbach, T. X-ray reflection by rough multilayer gratings: Dynamical and kinematical scattering. Phys. Rev. B 1999, 59, 7362. [Google Scholar] [CrossRef]
- Fujieda, S.; Hasegawa, Y.; Fujita, A.; Fukamichi, K. Thermal transport properties of magnetic refrigerants La(FexSi1−x)13 and their hydrides, and Gd5Si2Ge2 and MnAs. J. Appl. Phys. 2004, 95, 2429. [Google Scholar] [CrossRef]
- Bechtel, J.H. Heating of solid targets with laser pulses. J. Appl. Phys. 1975, 46, 1585. [Google Scholar] [CrossRef]
- Hohfield, J.; Wellershoff, S.-S.; Güdde, J.; Conrad, U.; Jähnke, V.; Matthias, E. Electron and lattice dynamics following optical excitation of metals. Chem. Phys. 2000, 251, 237–258. [Google Scholar] [CrossRef]










© 2017 by the authors. Licensee MDPI, Basel, Switzerland. This article is an open access article distributed under the terms and conditions of the Creative Commons Attribution (CC BY) license (http://creativecommons.org/licenses/by/4.0/).
Share and Cite
Vidal, F.; Lounis, L.; Spezzani, C.; Ferrari, E.; Delaunay, R.; Ciavardini, A.; Popescu, H.; Eddrief, M.; Zheng, Y.; Capotondi, F.; et al. Dynamics of the MnAs α/β-Striped Microstructure and of the Fe Magnetization Reversal in Fe/MnAs/GaAs(001): An Optical-Laser Pump–Free-Electron-Laser Probe Scattering Experiment. Photonics 2017, 4, 21. https://doi.org/10.3390/photonics4020021
Vidal F, Lounis L, Spezzani C, Ferrari E, Delaunay R, Ciavardini A, Popescu H, Eddrief M, Zheng Y, Capotondi F, et al. Dynamics of the MnAs α/β-Striped Microstructure and of the Fe Magnetization Reversal in Fe/MnAs/GaAs(001): An Optical-Laser Pump–Free-Electron-Laser Probe Scattering Experiment. Photonics. 2017; 4(2):21. https://doi.org/10.3390/photonics4020021
Chicago/Turabian StyleVidal, Franck, Lounès Lounis, Carlo Spezzani, Eugenio Ferrari, Renaud Delaunay, Alessandra Ciavardini, Horia Popescu, Mahmoud Eddrief, Yunlin Zheng, Flavio Capotondi, and et al. 2017. "Dynamics of the MnAs α/β-Striped Microstructure and of the Fe Magnetization Reversal in Fe/MnAs/GaAs(001): An Optical-Laser Pump–Free-Electron-Laser Probe Scattering Experiment" Photonics 4, no. 2: 21. https://doi.org/10.3390/photonics4020021
APA StyleVidal, F., Lounis, L., Spezzani, C., Ferrari, E., Delaunay, R., Ciavardini, A., Popescu, H., Eddrief, M., Zheng, Y., Capotondi, F., Pedersoli, E., Svetina, C., Raimondi, L., Zangrando, M., Ivanov, R., Nikolov, I., Demidovich, A., Danailov, M. B., De Ninno, G., ... Sacchi, M. (2017). Dynamics of the MnAs α/β-Striped Microstructure and of the Fe Magnetization Reversal in Fe/MnAs/GaAs(001): An Optical-Laser Pump–Free-Electron-Laser Probe Scattering Experiment. Photonics, 4(2), 21. https://doi.org/10.3390/photonics4020021

