Principal Component Analysis-Based Convolutional Neural Networks for Atmospheric Turbulence Aberration Correction and the Optimal Preprocessing Strategy Research
Abstract
1. Introduction
2. Methods
2.1. Imaging Theory and Optical Quality Evaluation
2.2. CNN Architecture Design
2.3. Dataset Construction and Preprocessing
3. Simulation Results and Analysis
3.1. PSF Grading Evaluation
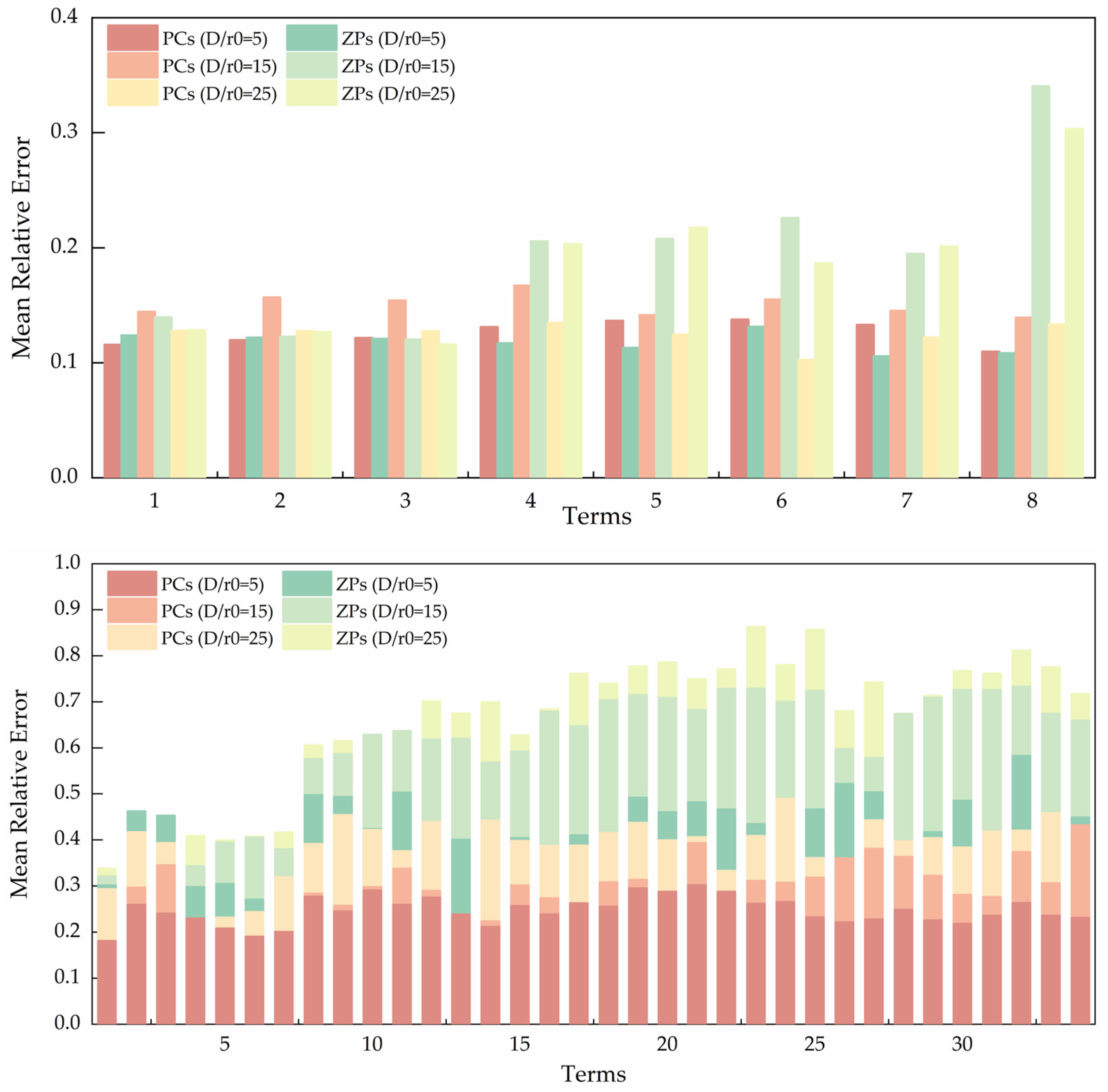
3.2. Comparison of Prediction and Correction Performance Between CNN Models Based on PCs and ZPs
3.3. Optimization Analysis of Preprocessing Methods
4. Discussion
5. Conclusions
Author Contributions
Funding
Data Availability Statement
Conflicts of Interest
References
- Mahajan, V.N. Optical Imaging and Aberrations—II: Wave Diffraction Optics; SPIE: Bellingham, WA, USA, 2001; pp. 467–469. [Google Scholar]
- Doster, T.; Watnik, A.T. Machine learning approach to OAM beam demultiplexing via convolutional neural networks. Appl. Opt. 2017, 56, 3386–3396. [Google Scholar] [CrossRef]
- Roggemann, M.C.; Lukin, V.P.; Zuev, V.E. Adaptive optics: Introduction to the feature issue. Appl. Opt. 1998, 37, 4523–4524. [Google Scholar] [CrossRef] [PubMed]
- Booth, M.J. Adaptive optical microscopy: The ongoing quest for a perfect image. Light Sci. Appl. 2014, 3, e165. [Google Scholar] [CrossRef]
- Wu, X.; Huang, L.; Gu, N. Enhanced-resolution Shack–Hartmann wavefront sensing for extended objects. Opt. Lett. 2023, 48, 5691–5694. [Google Scholar] [CrossRef]
- Cao, Y.; Lu, Y.; Feng, P.; Qiao, X.; Ordones, S.; Su, R.; Wang, X. Distortion measurement of a lithography projection lens based on multichannel grating lateral shearing interferometry. Appl. Opt. 2024, 63, 2056–2064. [Google Scholar] [CrossRef]
- Booth, M.J. Wavefront sensorless adaptive optics for large aberrations. Opt. Lett. 2006, 32, 5–7. [Google Scholar] [CrossRef]
- Yang, P.; Liu, Y.; Ao, M.; Hu, S.; Xu, B. Wavefront sensor-less adaptive optical system for a solid-state laser. Opt. Lasers Eng. 2008, 46, 517–521. [Google Scholar] [CrossRef]
- Huang, L.; Rao, C. Wavefront sensorless adaptive optics: A general model-based approach. Opt. Express 2011, 19, 371–379. [Google Scholar]
- Li, M.; Cvijetic, M.; Takashima, Y.; Yu, Z. Evaluation of channel capacities of OAM-based FSO link with real-time wavefront correction by adaptive optics. Opt. Express 2014, 22, 31337–31346. [Google Scholar] [CrossRef]
- Yang, H.; Li, X.; Jiang, W. High-resolution imaging of phase-distorted extended object using SPGD algorithm and deformable mirror. In Optical Design and Testing III; SPIE: Bellingham, WA, USA, 2007; Volume 6834, pp. 271–279. [Google Scholar]
- Vorontsov, M.A.; Carhart, G.W.; Cohen, M.; Cauwenberghs, G. Adaptive optics based on analog parallel stochastic optimization: Analysis and experimental demonstration. J. Opt. Soc. Am. A 2000, 17, 1440–1453. [Google Scholar] [CrossRef]
- Yang, P.; Xu, B.; Jiang, W.; Chen, S. A genetic algorithm used in a 61-element adaptive optical system. Front. Optoelectron. China 2008, 1, 263–267. [Google Scholar] [CrossRef]
- Smith, W.E.; Barrett, H.H.; Paxman, R.G. Reconstruction of objects from coded images by simulated annealing. Opt. Lett. 1983, 8, 199–201. [Google Scholar] [CrossRef] [PubMed]
- Zommer, S.; Ribak, E.N.; Lipson, S.G.; Adler, J. Simulated annealing in ocular adaptive optics. Opt. Lett. 2006, 31, 939–941. [Google Scholar] [CrossRef]
- Xu, Y.; Ren, Z.; Wong, K.K.Y.; Tsia, K. Overcoming the limitation of phase retrieval using Gerchberg–Saxton-like algorithm in optical fiber time-stretch systems. Opt. Lett. 2015, 40, 3595–3598. [Google Scholar] [CrossRef]
- Basu, D.; Chejarla, S.; Maji, S.; Bhattacharya, S.; Srinivasan, B. An adaptive optical technique for structured beam generation based on phase retrieval using modified Gerchberg–Saxton algorithm. Opt. Laser Technol. 2024, 170, 110244. [Google Scholar] [CrossRef]
- Chang, H.; Yin, X.-L.; Cui, X.-Z.; Zhang, Z.-C.; Ma, J.-X.; Wu, G.-H.; Zhang, L.-J.; Xin, X.-J. Adaptive optics compensation of orbital angular momentum beams with a modified Gerchberg–Saxton-based phase retrieval algorithm. Opt. Commun. 2017, 405, 271–275. [Google Scholar] [CrossRef]
- Tian, Q.; Lu, C.; Liu, B.; Zhu, L.; Pan, X.; Zhang, Q.; Yang, L.; Tian, F.; Xin, X. DNN-based aberrations correction in a wavefront sensorless adaptive optics system. Opt. Express 2019, 27, 10765–10776. [Google Scholar] [CrossRef] [PubMed]
- Dai, G. Modal wave-front reconstruction with Zernike polynomials and Karhunen–Loève functions. J. Opt. Soc. Am. A 1996, 13, 1218–1225. [Google Scholar] [CrossRef]
- Booth, M.J. Direct measurement of Zernike aberration modes with a modal wavefront sensor. In Advanced Wavefront Control: Methods, Devices, and Applications; SPIE: Bellingham, WA, USA, 2003; Volume 5162, pp. 79–90. [Google Scholar]
- Gonsalves, R.A. Phase retrieval and diversity in adaptive optics. Opt. Eng. 1982, 21, 829–832. [Google Scholar] [CrossRef]
- Paine, S.W.; Fienup, J.R. Machine learning for improved image-based wavefront sensing. Opt. Lett. 2018, 43, 1235–1238. [Google Scholar] [CrossRef]
- Ma, H.; Liu, H.; Qiao, Y.; Li, X.; Zhang, W. Numerical study of adaptive optics compensation based on convolutional neural networks. Opt. Commun. 2019, 433, 283–289. [Google Scholar] [CrossRef]
- LeCun, Y.; Bengio, Y.; Hinton, G. Deep learning. Nature 2015, 521, 436–444. [Google Scholar] [CrossRef] [PubMed]
- Huang, J.T.; Li, J.; Gong, Y. An analysis of convolutional neural networks for speech recognition. In 2015 IEEE International Conference on Acoustics, Speech and Signal Processing (ICASSP); IEEE: New York, NY, USA, 2015; pp. 4989–4993. [Google Scholar]
- LeCun, Y.; Bottou, L.; Bengio, Y.; Haffner, P. Gradient-based learning applied to document recognition. Proc. IEEE 1998, 86, 2278–2324. [Google Scholar] [CrossRef]
- Li, Z.; Zhao, X. BP artificial neural network based wave front correction for sensor-less free space optics communication. Opt. Commun. 2017, 385, 219–228. [Google Scholar] [CrossRef]
- Lohani, S.; Glasser, R.T. Turbulence correction with artificial neural networks. Opt. Lett. 2018, 43, 2611–2614. [Google Scholar] [CrossRef]
- Jin, Y.; Zhang, Y.; Hu, L.; Huang, H.; Xu, Q.; Zhu, X.; Huang, L.; Zheng, Y.; Shen, H.-L.; Gong, W.; et al. Machine learning guided rapid focusing with sensor-less aberrations corrections. Opt. Express 2018, 26, 30162–30171. [Google Scholar] [CrossRef]
- Nishizaki, Y.; Valdivia, M.; Horisaki, R.; Kitaguchi, K.; Saito, M.; Tanida, J.; Vera, E. Deep learning wavefront sensing. Opt. Express 2019, 27, 240–251. [Google Scholar] [CrossRef]
- Zhan, H.; Wang, L.; Wang, W. Generative adversarial network based adaptive optics scheme for vortex beam in oceanic turbulence. J. Light. Technol. 2022, 40, 4129–4135. [Google Scholar] [CrossRef]
- Rai, S.N.; Jawahar, C.V. Removing atmospheric turbulence via deep adversarial learning. IEEE Trans. Image Process. 2022, 31, 2633–2646. [Google Scholar] [CrossRef]
- Zhang, L.; Tian, X.; Jiang, Y.; Li, X.; Li, Z.; Li, D.; Zhang, S. Adversarial network for multi-input image restoration under strong turbulence. Opt. Express 2023, 31, 41518–41532. [Google Scholar] [CrossRef] [PubMed]
- Nath, S.; Korot, E.; Fu, D.J.; Zhang, G.; Mishra, K.; Lee, A.Y.; Keane, P.A. Reinforcement learning in ophthalmology: Potential applications and challenges to implementation. Lancet Digit. Health 2022, 4, e692–e697. [Google Scholar] [CrossRef]
- Siddik, A.B.; Sandoval, S.; Voelz, D.; Boucheron, L.E.; Varela, L. Deep learning estimation of modified Zernike coefficients and recovery of point spread functions in turbulence. Opt. Express 2023, 31, 22903–22913. [Google Scholar] [CrossRef]
- Siddik, A.B.; Sandoval, S.; Voelz, D.; Boucheron, L.E.; Varela, L.G. Estimation of modified Zernike coefficients from turbulence-degraded multispectral imagery using deep learning. Appl. Opt. 2024, 63, E28–E34. [Google Scholar] [CrossRef]
- Herrmann, J. Cross coupling and aliasing in modal wave-front estimation. J. Opt. Soc. Am. 1981, 71, 989–992. [Google Scholar] [CrossRef]
- Bond, C.; Fusco, T.; Correia, C.; Veran, J.P.; Teixeira, J.; Sauvage, J.F. Anti-aliasing wave-front reconstruction with shack-hartmann sensors. In Adaptive Optics for Extremely Large Telescopes 4—Conference Proceedings; SPIE: Bellingham, WA, USA, 2015; Volume 1. [Google Scholar]
- Bará, S.; Prado, P.; Arines, J.; Ares, J. Estimation-induced correlations of the Zernike coefficients of the eye aberration. Opt. Lett. 2006, 31, 2646–2648. [Google Scholar] [CrossRef]
- Niu, S.; Shen, J.; Liao, W.; Liang, C.; Zhang, Y.H. Study on linear conjugated combination of Zernike modes. Chin. Opt. Lett. 2013, 11, 022201. [Google Scholar] [CrossRef][Green Version]
- Wang, Q.; Tong, S.; Xu, Y. On simulation and verification of the atmospheric turbulent phase screen with Zernike polynomials. Infrared Laser Eng. 2013, 42, 1907–1911. [Google Scholar]
- Wang, J.; Wang, Z.; Zhang, J.; Qiao, C.; Fan, C. Influencing factor analysis of the Principal Component Analysis for the characterization and restoration of phase aberrations due to atmospheric turbulence. Chin. Opt. 2025, 18, 899. [Google Scholar] [CrossRef]
- Wang, J.; Wang, Z.; Zhang, J.; Qiao, C.; Fan, C. Atmospheric turbulence induced phase distortions: The principal component analysis and optimized correction strategy. Opt. Express 2025, 33, 32649–32662. [Google Scholar] [CrossRef]
- Schmidt, J.D. Numerical Simulation of Optical Wave Propagation with Examples in MATLAB; SPIE: Bellingham, WA, USA, 2010; pp. 150–183. [Google Scholar]
- Fried, D.L. Statistics of a geometric representation of wavefront distortion. J. Opt. Soc. Am. 1965, 55, 1427–1435. [Google Scholar] [CrossRef]
- Noll, R.J. Zernike polynomials and atmospheric turbulence. J. Opt. Soc. Am. 1976, 66, 207–211. [Google Scholar] [CrossRef]
- Lane, R.G.; Tallon, M. Wave-front reconstruction using a Shack–Hartmann sensor. Appl. Opt. 1992, 31, 6902–6908. [Google Scholar] [CrossRef] [PubMed]
- Goodman, J.W. Introduction to Fourier Optics; Roberts and Company Publishers: Greenwood Village, CO, USA, 2005. [Google Scholar]
- Mikis, M.; Pandey, S.; Mavrakis, K.G.; Drougakis, G.; Vasilakis, G.; Papazoglou, D.G.; von Klitzing, W. Simple precision measurements of optical beam sizes. Appl. Opt. 2018, 57, 9863–9867. [Google Scholar] [CrossRef] [PubMed]









| Hyperparameters | Configuration |
|---|---|
| Optimizer | Adam |
| Learning rate | |
| Batch size | 64 |
| Max training epochs | 500 |
| Learning rate drop | 0.5 |
| Dropout rate | 0.1 |
| Learning rate drop period | 30 |
Disclaimer/Publisher’s Note: The statements, opinions and data contained in all publications are solely those of the individual author(s) and contributor(s) and not of MDPI and/or the editor(s). MDPI and/or the editor(s) disclaim responsibility for any injury to people or property resulting from any ideas, methods, instructions or products referred to in the content. |
© 2026 by the authors. Licensee MDPI, Basel, Switzerland. This article is an open access article distributed under the terms and conditions of the Creative Commons Attribution (CC BY) license.
Share and Cite
Wang, J.; Zhang, D.; Zhang, Y.; Yin, W.; Yu, B.; Jiang, T.; Mo, Y.; Fan, C.; Zhang, J. Principal Component Analysis-Based Convolutional Neural Networks for Atmospheric Turbulence Aberration Correction and the Optimal Preprocessing Strategy Research. Photonics 2026, 13, 326. https://doi.org/10.3390/photonics13040326
Wang J, Zhang D, Zhang Y, Yin W, Yu B, Jiang T, Mo Y, Fan C, Zhang J. Principal Component Analysis-Based Convolutional Neural Networks for Atmospheric Turbulence Aberration Correction and the Optimal Preprocessing Strategy Research. Photonics. 2026; 13(4):326. https://doi.org/10.3390/photonics13040326
Chicago/Turabian StyleWang, Jiangpuzhen, Danni Zhang, Ying Zhang, Wanhong Yin, Bing Yu, Tao Jiang, Yunlong Mo, Chengyu Fan, and Jinghui Zhang. 2026. "Principal Component Analysis-Based Convolutional Neural Networks for Atmospheric Turbulence Aberration Correction and the Optimal Preprocessing Strategy Research" Photonics 13, no. 4: 326. https://doi.org/10.3390/photonics13040326
APA StyleWang, J., Zhang, D., Zhang, Y., Yin, W., Yu, B., Jiang, T., Mo, Y., Fan, C., & Zhang, J. (2026). Principal Component Analysis-Based Convolutional Neural Networks for Atmospheric Turbulence Aberration Correction and the Optimal Preprocessing Strategy Research. Photonics, 13(4), 326. https://doi.org/10.3390/photonics13040326

