Near-Infrared Absorption Enhancement of GaAs Photocathode Through “Sandwich” Micro-Nano Structure
Abstract
1. Introduction
2. Materials and Methods
3. Results and Discussion
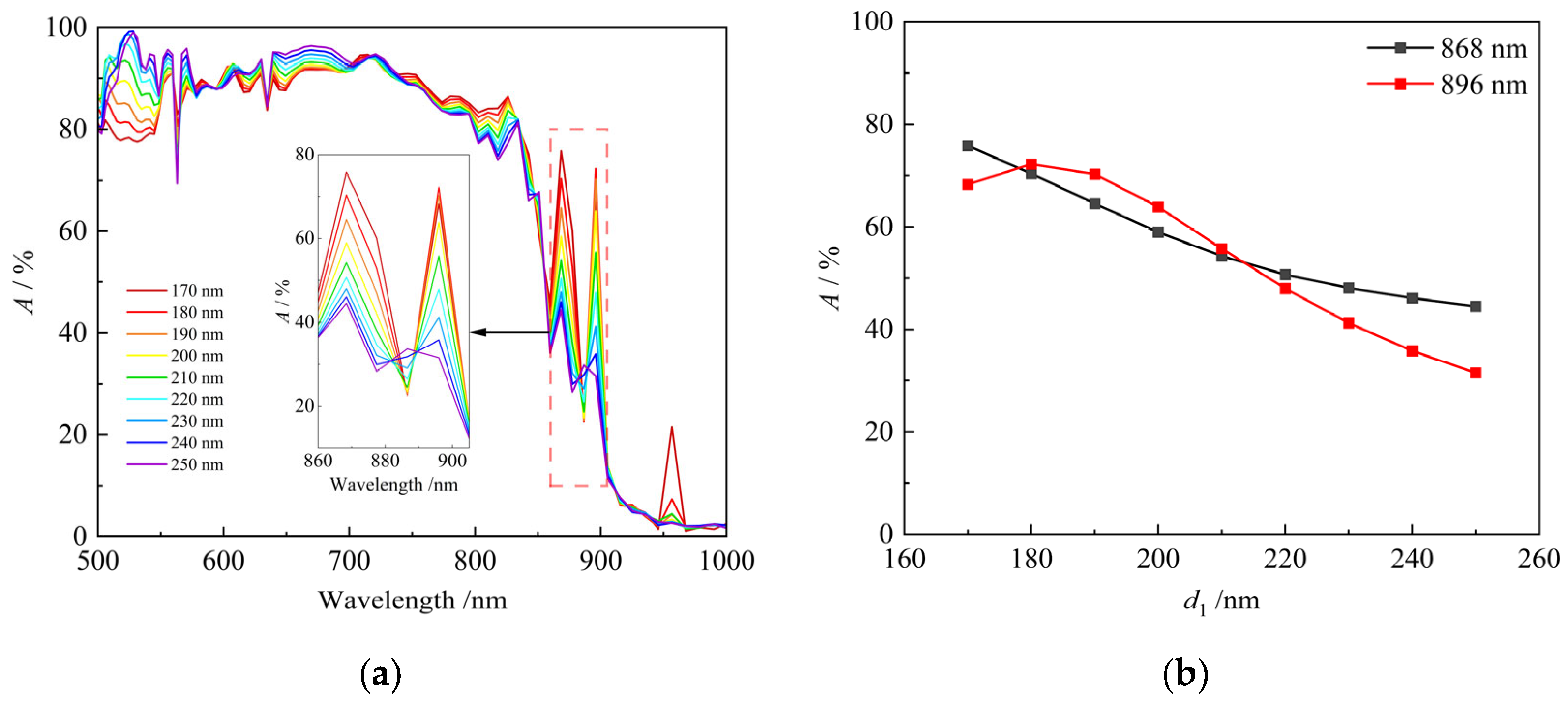
3.1. Optimization of Nanopillar Array Structure
3.2. Influence of Varied Nanopillar Array Structure on Photocathode Absorption
3.3. Influence of Refractive Index of the Grating Filling Material on Photocathode Absorption
3.4. Influence of SiO2 Thickness on Photocathode Absorption
3.5. Discussion
4. Conclusions
Author Contributions
Funding
Institutional Review Board Statement
Informed Consent Statement
Data Availability Statement
Conflicts of Interest
References
- Zhao, J.; Yu, H.; Liu, W.; Guo, J. Analysis of the Relation between Spectral Response and Absorptivity of GaAs Photocathode. Acta Phys. Sin. 2017, 66, 227801. [Google Scholar] [CrossRef]
- Chen, X.; Tang, G.; Wang, D.; Xu, P. High Quantum Efficiency Transmission-Mode GaAlAs Photocathode with a Nanoscale Surface Structure. Opt. Mater. Express 2018, 8, 3155. [Google Scholar] [CrossRef]
- Zhang, Y. Progress in Research on Semiconductor Photocathodes. Infrared Technol. 2022, 44, 778–791. [Google Scholar]
- Cai, Z.; Huang, W.; Yang, C.; Lou, B.; He, J. Theoretical Study of the Average Decay Time and Response Characteristics of the Transmission-Mode GaAs Photocathodes with the Different Doping Gradient Distribution. Chin. J. Vac. Sci. Technol. 2025, 45, 398–407. [Google Scholar] [CrossRef]
- Xie, H. Overview of the Semiconductor Photocathode Research in China. Micromachines 2021, 12, 1376. [Google Scholar] [CrossRef]
- Zhang, Q.; Bai, X.; Cheng, H.; Jiao, G.; Li, Z.; Han, K.; Li, Q. Research on Signal-to-noise Ratio of Low-light Level Image Intensifier Based on Night Sky Light Spectrum Matching. Acta Phys. Sin. 2022, 51, 0304005. [Google Scholar] [CrossRef]
- Spicer, W.E. Photoemissive, Photoconductive, and Optical Absorption Studies of Alkali-Antimony Compounds. Phys. Rev. 1958, 112, 114–122. [Google Scholar] [CrossRef]
- Zhang, Y.; Chang, B.; Niu, J.; Zhao, J.; Zou, J.; Shi, F.; Cheng, H. High-Efficiency Graded Band-Gap AlxGa1−xAs/GaAs Photocathodes Grown by Metalorganic Chemical Vapor Deposition. Appl. Phys. Lett. 2011, 99, 101104. [Google Scholar] [CrossRef]
- Zhang, Y.; Niu, J.; Zhao, J.; Zou, J.; Chang, B.; Shi, F.; Cheng, H. Influence of Exponential-Doping Structure on Photoemission Capability of Transmission-Mode GaAs Photocathodes. J. Appl. Phys. 2010, 108, 093108. [Google Scholar] [CrossRef]
- Feng, C.; Zhang, Y.; Liu, J.; Qian, Y.; Liu, X.; Shi, F.; Cheng, H. Effect of Graded Bandgap Structure on Photoelectric Performance of Transmission-Mode AlxGa1-xAs/GaAs Photocathode Modules. Appl. Opt. 2017, 56, 9044–9049. [Google Scholar] [CrossRef]
- Feng, C.; Zhang, Y.; Qian, Y.; Xu, Y.; Liu, X.; Jiao, G. Quantum Efficiency of Transmission-Mode AlxGa1−xAs/GaAs Photocathodes with Graded-Composition and Exponential-Doping Structure. Opt. Commun. 2016, 369, 50–55. [Google Scholar] [CrossRef]
- Wang, D.; Zhang, Y.; Li, S.; Tong, Z.; Tang, S.; Shi, F.; Jiao, G.; Cheng, H.; Fu, R.; Qian, Y.; et al. AlGaAs Photocathode with Enhanced Response at 532 nm. Acta Phys. Sin. 2024, 73, 118503. [Google Scholar] [CrossRef]
- Nützel, G.; Lavoute, P. Semi-Transparent Photocathode with Improved Absorption Rate. U.S. Patent US20150279606A1, 1 May 2018. [Google Scholar]
- Peng, X.; Wang, Z.; Liu, Y.; Manos, D.M.; Poelker, M.; Stutzman, M.; Tang, B.; Zhang, S.; Zou, J. Optical-Resonance-Enhanced Photoemission from Nanostructured GaAs Photocathodes. Phys. Rev. Appl. 2019, 12, 064002. [Google Scholar] [CrossRef]
- Peng, X.; Poelker, M.; Stutzman, M.; Tang, B.; Zhang, S.; Zou, J. Mie-Type GaAs Nanopillar Array Resonators for Negative Electron Affinity Photocathodes. Opt. Express 2020, 28, 860. [Google Scholar] [CrossRef]
- Li, S.; Zhang, Y.; Wang, Z.; Wang, D.; Tang, S.; Zhang, J.; Shi, F.; Jiao, G.; Cheng, H.; Hao, G. Enhanced Blue-Green Response of Nanoarray AlGaAs Photocathodes for Underwater Low-Light Detection. Opt. Express 2023, 31, 26014–26026. [Google Scholar] [CrossRef] [PubMed]
- Li, S.; Zhang, Y.; Tang, S.; Yang, L.; Ma, X.; Gao, J.; Tong, Z.; Qian, Y.; Shi, F.; Guo, X. Near-Infrared Enhancement in Thin Transmission-Mode GaAs Photocathodes via Nanostructured Window Layer. Opt. Express 2025, 33, 38543–38552. [Google Scholar] [CrossRef]
- Peng, X.; Zhong, C.; Zou, J.; Deng, W. All-Dielectric Meta-Surface Transmission-Mode Ultra-Thin GaAs Negative Electron Affinity Photocathode. Appl. Phys. Lett. 2024, 125, 071103. [Google Scholar] [CrossRef]
- Dong, M.; Wang, L.; Chen, D.; Kang, G.; Gong, Y.; Wang, Y.; Zheng, D.; Zhao, Y.; Cai, Y. Absorption-Enhanced Nanopillar-Arrayed Na2KSb Photocathode for Improving Image Intensifier Performance. Opt. Express 2025, 33, 36025–36036. [Google Scholar] [CrossRef]
- Malitson, I.H. Interspecimen Comparison of the Refractive Index of Fused Silica. J. Opt. Soc. Am. 1965, 55, 1205–1208. [Google Scholar] [CrossRef]
- Luke, K.; Okawachi, Y.; Lamont, M.R.E.; Gaeta, A.L.; Lipson, M. Broadband Mid-Infrared Frequency Comb Generation in a Si3N4 Microresonator. Opt. Lett. 2015, 40, 4823–4826. [Google Scholar] [CrossRef]
- Aspnes, D.E.; Kelso, S.M.; Logan, R.A.; Bhat, R. Optical Properties of AlxGa1−xAs. J. Appl. Phys. 1986, 60, 754–767. [Google Scholar] [CrossRef]
- Papatryfonos, K.; Angelova, T.; Brimont, A.; Reid, B.; Guldin, S.; Smith, P.R.; Tang, M.; Li, K.; Seeds, A.J.; Liu, H.; et al. Refractive Indices of MBE-Grown AlxGa(1−x)As Ternary Alloys in the Transparent Wavelength Region. AIP Adv. 2021, 11, 025327. [Google Scholar] [CrossRef]
- Bright, T.J.; Watjen, J.I.; Zhang, Z.M.; Muratore, C.; Voevodin, A.A.; Koukis, D.I.; Tanner, D.B.; Arenas, D.J. Infrared Optical Properties of Amorphous and Nanocrystalline Ta2O5 Thin Films. J. Appl. Phys. 2013, 114, 083515. [Google Scholar] [CrossRef]
- Boidin, R.; Halenkovič, T.; Nazabal, V.; Beneš, L.; Němec, P. Pulsed Laser Deposited Alumina Thin Films. Ceram. Int. 2016, 42, 1177–1182. [Google Scholar] [CrossRef]
- Al-Kuhaili, M.F. Optical Properties of Hafnium Oxide Thin Films and Their Application in Energy-Efficient Windows. Opt. Mater. 2004, 27, 383–387. [Google Scholar] [CrossRef]
- Siefke, T.; Kroker, S.; Pfeiffer, K.; Puffky, O.; Dietrich, K.; Franta, D.; Ohlídal, I.; Szeghalmi, A.; Kley, E.; Tünnermann, A. Materials Pushing the Application Limits of Wire Grid Polarizers Further into the Deep Ultraviolet Spectral Range. Adv. Opt. Mater. 2016, 4, 1780–1786. [Google Scholar] [CrossRef]
- Magnusson, R.; Ko, Y.H. Guided-Mode Resonance Device Technology: Design, Fabrication, Applications and Prospects. In Proceedings of the 2017 Photonics North (PN), Ottawa, ON, Canada, 6–8 June 2017; p. 1. [Google Scholar] [CrossRef]
- Khaleque, T.; Magnusson, R. Light Management through Guided-Mode Resonances in Thin-Film Silicon Solar Cells. J. NanoPhotonics 2014, 8, 083995. [Google Scholar] [CrossRef]
- Fallah, H.; Hakim, L.; Boonruang, S.; Mohammed, W.S.; Hsu, S.H. Polymer-Based Guided-Mode Resonance Sensors: From Optical Theories to Sensing Applications. ACS Appl. Polym. Mater. 2023, 5, 9700–9713. [Google Scholar] [CrossRef]









| Material | Integrated Absorptivity in 850–950 nm Band |
|---|---|
| Al2O3 | 25.35% |
| HfO2 | 24.09% |
| Si3N4 | 31.18% |
| Ta2O5 | 25.68% |
| TiO2 | 22.97% |
| Flat film | 18.54% |
Disclaimer/Publisher’s Note: The statements, opinions and data contained in all publications are solely those of the individual author(s) and contributor(s) and not of MDPI and/or the editor(s). MDPI and/or the editor(s) disclaim responsibility for any injury to people or property resulting from any ideas, methods, instructions or products referred to in the content. |
© 2026 by the authors. Licensee MDPI, Basel, Switzerland. This article is an open access article distributed under the terms and conditions of the Creative Commons Attribution (CC BY) license.
Share and Cite
Xiao, Z.; Dong, M.; Huang, Y.; Yang, J.; Jiao, P.; Shi, P.; Du, Y.; He, Y.; Cheng, J.; Xu, Y. Near-Infrared Absorption Enhancement of GaAs Photocathode Through “Sandwich” Micro-Nano Structure. Photonics 2026, 13, 79. https://doi.org/10.3390/photonics13010079
Xiao Z, Dong M, Huang Y, Yang J, Jiao P, Shi P, Du Y, He Y, Cheng J, Xu Y. Near-Infrared Absorption Enhancement of GaAs Photocathode Through “Sandwich” Micro-Nano Structure. Photonics. 2026; 13(1):79. https://doi.org/10.3390/photonics13010079
Chicago/Turabian StyleXiao, Ziyang, Miao Dong, Yonggang Huang, Jinhui Yang, Peng Jiao, Pan Shi, Yajie Du, Ying He, Jing Cheng, and Yinsheng Xu. 2026. "Near-Infrared Absorption Enhancement of GaAs Photocathode Through “Sandwich” Micro-Nano Structure" Photonics 13, no. 1: 79. https://doi.org/10.3390/photonics13010079
APA StyleXiao, Z., Dong, M., Huang, Y., Yang, J., Jiao, P., Shi, P., Du, Y., He, Y., Cheng, J., & Xu, Y. (2026). Near-Infrared Absorption Enhancement of GaAs Photocathode Through “Sandwich” Micro-Nano Structure. Photonics, 13(1), 79. https://doi.org/10.3390/photonics13010079

