Genetic-Algorithm-Based Research on Key Technologies for Motion System Calibration and Error Control for the Precision Marking System
Abstract
1. Introduction
2. Fundamental Principles and Architecture of the PM System
2.1. Operating Principle
2.2. PM Subsystems and Analysis of Key Error Sources
3. Genetic-Algorithm-Based Motion-System Calibration Techniques
3.1. Axis-Orthogonality Calibration Algorithm
3.2. PM-OM Extrinsic-Pose Calibration
3.3. PM System Marking Workflow and Error-Control Framework
4. Experimental Verification and Results
5. Conclusions
Author Contributions
Funding
Institutional Review Board Statement
Informed Consent Statement
Data Availability Statement
Conflicts of Interest
References
- Wang, L.; Wang, Z.; Yuan, M.; Huang, W.; Bu, Q.; Shen, X.; Lin, Y.; Cao, J.; Wu, J.; Yao, X.; et al. Design and Application of Integrated Marking System. In Proceedings of the 2021 4th International Conference on Advanced Electronic Materials, Computers and Software Engineering (AEMCSE), Changsha, China, 26–28 March 2021; IEEE: New York City, NY, USA, 2021; pp. 1005–1008. [Google Scholar]
- Sun, L.; Li, Y.; Du, G.; Wang, W.; Zhang, Y. Modification design of high-precision above ground marking system. In Proceedings of the 2010 Chinese Control and Decision Conference, Xuzhou, China, 26–28 May 2010; IEEE: New York City, NY, USA, 2010; pp. 531–535. [Google Scholar]
- Zukiwsky, N.M.; Girard, T.E.; Zuidhof, M.J. Effect of an automated marking system on aggressive behavior of precision-fed broiler breeder chicks. J. Appl. Poult. Res. 2020, 29, 786–797. [Google Scholar] [CrossRef]
- Sun, L. Verification experiments for high-precision Above Ground Marking system. In Proceedings of the IEEE ICCA 2010, Xiamen, China, 9–11 June 2010; IEEE: New York City, NY, USA, 2010; pp. 1737–1741. [Google Scholar]
- Sato, T.; Yutaka, Y.; Nakamura, T.; Date, H. First clinical application of radiofrequency identification (RFID) marking system—Precise localization of a small lung nodule. JTCVS Tech. 2020, 4, 301–304. [Google Scholar] [CrossRef] [PubMed]
- Williams, L. Precision Marking System. U.S. Patent 9937616 B2, 10 April 2018. [Google Scholar]
- Oliver, W.C.; Pharr, G.M. An improved technique for determining hardness and elastic modulus using load and displacement sensing indentation experiments. J. Mater. Res. 1992, 7, 1564–1583. [Google Scholar] [CrossRef]
- Wongkietkachorn, A.; Surakunprapha, P.; Winaikosol, K.; Wongkietkachorn, N.; Wongkietkachorn, S. Precise marking for burn excision by using indocyanine green angiography. Plast. Reconstr. Surg. 2020, 145, 229e–230e. [Google Scholar] [CrossRef] [PubMed]
- Parsa, V.; Jamieson, D.G. A comparison of high precision Fo extraction algorithms for sustained vowels. J. Speech Lang. Hear. Res. 1999, 42, 112–126. [Google Scholar] [CrossRef] [PubMed]
- Fischer, T.; Fischer, W. Manufacturing of high precision levelling rods. In The Importance of Heights; FIG: Gävle, Sweden, 1999; pp. 223–228. [Google Scholar]
- Soares, L.P.; Bowman, D.A.; Pinho, M.S. Evaluating the impact of point marking precision on situated modeling performance. In Proceedings of the Symposium on Spatial User Interaction, New Orleans, LA, USA, 19–20 October 2019; pp. 1–5. [Google Scholar]
- Williams, N.S.; McArthur, G.M.; Badcock, N.A. It’s all about time: Precision and accuracy of Emotiv event-marking for ERP research. PeerJ 2021, 9, e10700. [Google Scholar] [PubMed]
- Eder, M.; Brockmann, G.; Zimmermann, A.; Papadopoulos, M.A.; Schwenzer-Zimmerer, K.; Zeilhofer, H.F.; Sader, R.; Papadopulos, N.A.; Kovacs, L. Evaluation of precision and accuracy assessment of different 3-D surface imaging systems for biomedical purposes. J. Digit. Imaging 2013, 26, 163–172. [Google Scholar] [PubMed]
- Lanegger, C.; Pantic, M.; Bähnemann, R.; Siegwart, R.; Ott, L. Chasing millimeters: Design, navigation and state estimation for precise in-flight marking on ceilings. Auton. Robot. 2023, 47, 1405–1418. [Google Scholar] [CrossRef]
- Raja, R.; Slaughter, D.C.; Fennimore, S.A.; Siemens, M.C. Real-time control of high-resolution micro-jet sprayer integrated with machine vision for precision weed control. Biosyst. Eng. 2023, 228, 31–48. [Google Scholar] [CrossRef]
- Xiao, H.B.; Zhou, Y.Q.; Liu, M.J. Experimental Research on 3D Ultraviolet Laser Precision Marking Processing Technology. In Proceedings of the 2nd International Conference on Computer, Mechatronics and Electronic Engineering, Xiamen, China, 24–25 December 2017; pp. 24–25. [Google Scholar]
- Suzuki, J.; Shiono, S.; Watanabe, H.; Takamori, S. Thoracoscopic precision excision technique for small non-palpable lesions using radiofrequency identification lung marking system. J. Vis. Surg. 2024, 10, 27. [Google Scholar] [CrossRef]
- Ueda, Y.; Mitsumata, S.; Matsunaga, H.; Kaneda, S.; Midorikawa, K.; Miyahara, S.; Tokuishi, K.; Nakajima, H.; Waseda, R.; Shiraishi, T.; et al. Use of a radiofrequency identification system for precise sublobar resection of small lung cancers. Surg. Endosc. 2023, 37, 2388–2394. [Google Scholar] [PubMed]
- Lanegger, C.; Ruggia, M.; Tognon, M.; Ott, L.; Siegwart, R. Aerial layouting: Design and control of a compliant and actuated end-effector for precise in-flight marking on ceilings. In Proceedings of the Robotics: Science and System XVIII, New York City, NY, USA, 27 June–1 July 2022; p. 073. [Google Scholar]
- Wang, R.; Yang, K.; Zhu, Y. A high-precision Mark positioning algorithm based on sub-pixel shape template matching in wafer bonding alignment. Precis. Eng. 2023, 80, 104–114. [Google Scholar] [CrossRef]
- Heo, H.; Lee, K. Vision-based Vertiport Marking Detection System for Precision Landing on a Vertiport. J. Inst. Control. Robot. Syst. 2024, 30, 93–98. [Google Scholar] [CrossRef]
- Liu, J.; Yu, T.; Wu, C.; Zhou, C.; Lu, D.; Zeng, Q. A low-cost and high-precision underwater integrated navigation system. J. Mar. Sci. Eng. 2024, 12, 200. [Google Scholar] [CrossRef]
- Su, Z.; Huang, S.; Zhao, W.; Wang, S.; Feng, H.; Chen, J. Development of a portable high-precision above ground marker system for an MFL pipeline inspector. In Proceedings of the 18th World Conference on Nondestructive Testing, Durban, South Africa, 16–20 April 2012; pp. 16–20. [Google Scholar]
- Cai, B.; Liu, X.D.; Tong, B.; Tan, X.X.; Chen, Y.L. Study on laser flying marking systems based on DSP and CPLD. Laser Technol. 2007, 31, 387–390. [Google Scholar]
- Markov, V.V.; Lebedeva, L.I. Study of defects causes in precision laser marking of the articles with surface thin coating. In Proceedings of the 2014 International Conference on Mechanical Engineering, Automation and Control Systems (MEACS), Tomsk, Russia, 16–8 October 2014; IEEE: New York City, NY, USA, 2014; pp. 1–5. [Google Scholar]
- Kupriyanov, O.; Lamnauer, N. Improvement of the assembling technology for precision joints using the dimensional information. In Proceedings of the Grabchenko’s International Conference on Advanced Manufacturing Processes, Odessa, Ukraine, 8–11 September 2020; Springer International Publishing: Cham, Switzerland, 2020; pp. 52–60. [Google Scholar]
- Chen, H.; Shannon, G. Precision cutting & drilling metals with a fiber laser marker. In Proceedings of the International Congress on Applications of Lasers & Electro-Optics, Baltimore, MD, USA, 31 May–5 June 2009; Laser Institute of America: Orlando, FL, USA, 2009; Volume 2009, pp. 741–744. [Google Scholar]
- Wongkietkachorn, A.; Surakunprapha, P.; Jenwitheesuk, K.; Eua-Angkanakul, K.; Winaikosol, K.; Punyavong, P.; Salyapongse, A.N. Indocyanine green angiography precise marking for indeterminate burn excision: A prospective, multi-centered, double-blinded study. Plast. Reconstr. Surg.–Glob. Open 2021, 9, e3538. [Google Scholar] [CrossRef] [PubMed]
- Andersson, A.; Shahin, A. MAX IV high precision self-positioning robot. In Proceedings of the International Workshops on Accelerator Alignment (IWAA), Geneva, Switzerland, 31 October–4 November 2022; CERN: Genève, Switzerland, 2022. [Google Scholar]
- Qin, Y.; Howlader, M.M.; Deen, M.J. Low-temperature bonding for silicon-based micro-optical systems. Photonics 2015, 2, 1164–1201. [Google Scholar] [CrossRef]
- Jiang, W.; Wang, H.; Xie, W.; Qu, Z. Lithography alignment techniques based on moiré fringe. Photonics 2023, 10, 351. [Google Scholar] [CrossRef]











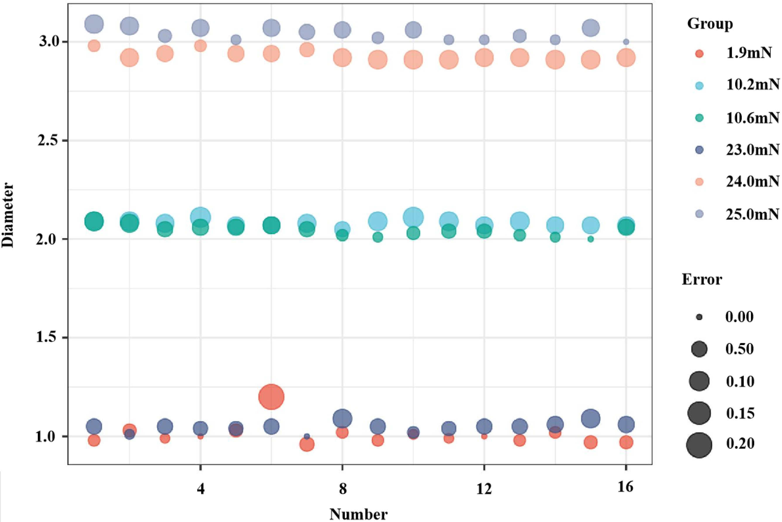
| Nominal Size (µm) | Mean Indentation Force (mN) | σ_Force (mN) | Mean Diameter (µm) | σ_Diameter (µm) | Mean H/D | σ_H/D |
|---|---|---|---|---|---|---|
| 1 | 2.7 | 0.6 | 1.058 | 0.172 | 0.056 | 0.008 |
| 2 | 11.4 | 0.7 | 1.901 | 0.066 | 0.061 | 0.008 |
| 3 | 26.3 | 1.2 | 2.796 | 0.107 | 0.062 | 0.008 |
| Axis | Mean Drift Before Compensation/μm | Mean Drift After Compensation/μm | Reduction Rate η |
|---|---|---|---|
| x | 0.21 | 0.05 | 76% |
| y | 0.20 | 0.05 | 75% |
| z | 0.18 | 0.04 | 78% |
Disclaimer/Publisher’s Note: The statements, opinions and data contained in all publications are solely those of the individual author(s) and contributor(s) and not of MDPI and/or the editor(s). MDPI and/or the editor(s) disclaim responsibility for any injury to people or property resulting from any ideas, methods, instructions or products referred to in the content. |
© 2025 by the authors. Licensee MDPI, Basel, Switzerland. This article is an open access article distributed under the terms and conditions of the Creative Commons Attribution (CC BY) license.
Share and Cite
Li, J.; Yin, S.; Li, Z.; Xiang, Y.; Zhang, X. Genetic-Algorithm-Based Research on Key Technologies for Motion System Calibration and Error Control for the Precision Marking System. Photonics 2026, 13, 4. https://doi.org/10.3390/photonics13010004
Li J, Yin S, Li Z, Xiang Y, Zhang X. Genetic-Algorithm-Based Research on Key Technologies for Motion System Calibration and Error Control for the Precision Marking System. Photonics. 2026; 13(1):4. https://doi.org/10.3390/photonics13010004
Chicago/Turabian StyleLi, Jiang, Shuangxiong Yin, Zexiao Li, Yongxu Xiang, and Xiaodong Zhang. 2026. "Genetic-Algorithm-Based Research on Key Technologies for Motion System Calibration and Error Control for the Precision Marking System" Photonics 13, no. 1: 4. https://doi.org/10.3390/photonics13010004
APA StyleLi, J., Yin, S., Li, Z., Xiang, Y., & Zhang, X. (2026). Genetic-Algorithm-Based Research on Key Technologies for Motion System Calibration and Error Control for the Precision Marking System. Photonics, 13(1), 4. https://doi.org/10.3390/photonics13010004

