Dispersion Compensation Scheme with a Simple Structure in Ultra-High-Speed Optical Fiber Transmission Systems
Abstract
1. Introduction
2. The Principle of Dispersion
3. Compensation Algorithm Without Penalty
3.1. OLA
3.2. OLS
3.3. LOSF
3.4. TS-OLF
3.5. Complexity Analysis
4. Compensation Algorithm with Penalty
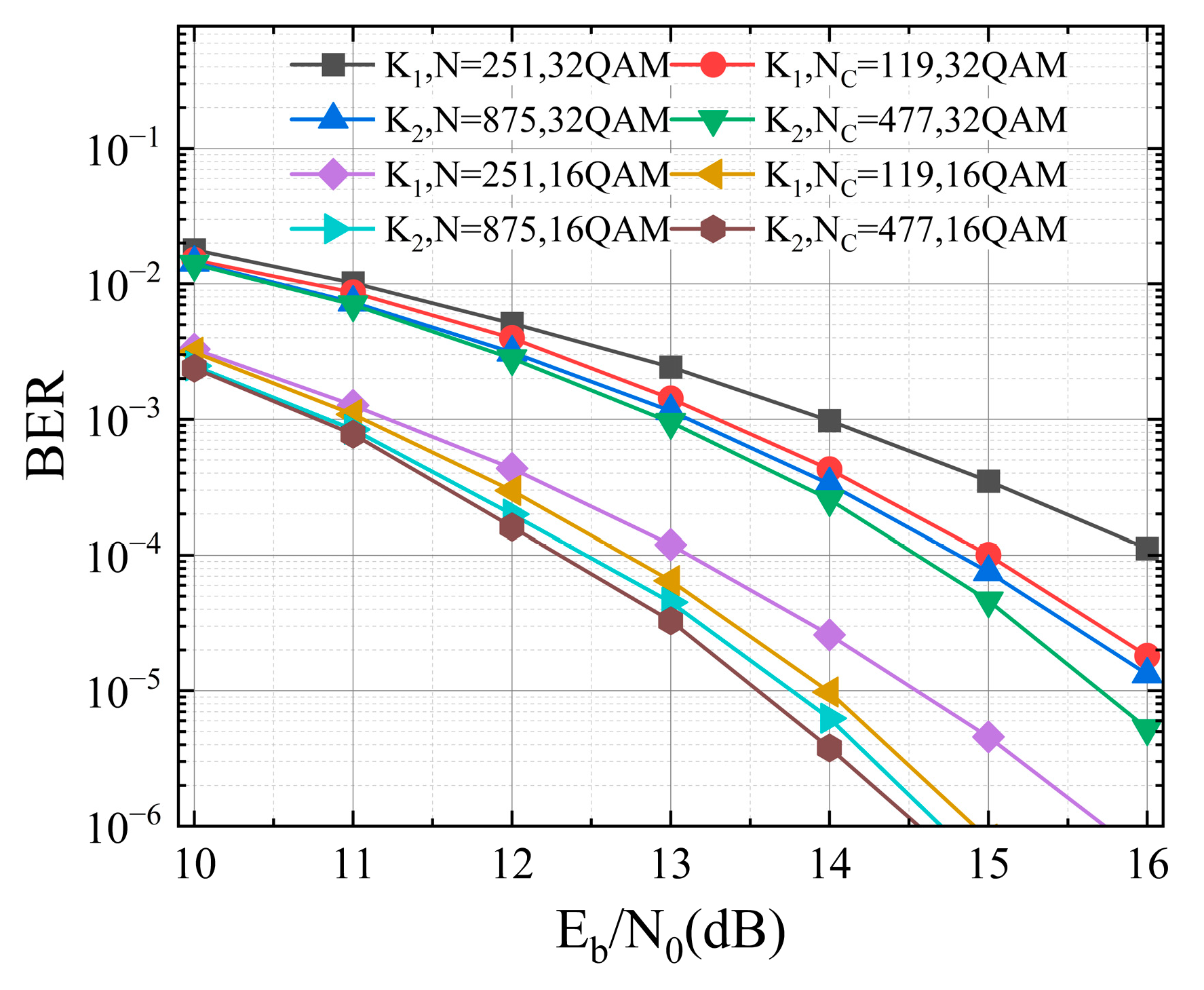
4.1. Cluster-Based TDCE
4.2. LS-FIR CDC
5. Conclusions
Author Contributions
Funding
Institutional Review Board Statement
Informed Consent Statement
Data Availability Statement
Conflicts of Interest
References
- Yu, J.; Wu, Y. High-speed optical fiber communication in China. ACS Photonics 2022, 10, 2128–2148. [Google Scholar] [CrossRef]
- Essiambre, R.J.; Kramer, G.; Winzer, P.J.; Foschini, G.J.; Goebel, B. Capacity Limits of Optical Fiber Networks. J. Lightw. Technol. 2010, 28, 662–701. [Google Scholar] [CrossRef]
- Winzer, P.J.; Essiambre, R.J. High-Speed and High-Capacity Optical Transmission Systems. In High Spectral Density Optical Communication Technologies; Springer: Berlin/Heidelberg, Germany, 2010. [Google Scholar]
- Chbat, M.W.; Spalter, S. From 100G to 1000G: Is There a Straight Road Ahead? In Proceedings of the 36th European Conference and Exhibition on Optical Communication (ECOC 2010), Torino, Italy, 19–23 September 2010. [Google Scholar]
- Zhou, X.; Yu, J.; Huang, M.F.; Shao, Y.; Wang, T.; Nelson, L.; Magill, P.; Birk, M.; Borel, P.I.; Peckham, D.W.; et al. 64-Tb/s (640 × 107-Gb/s) PDM-36QAM Transmission over 320 km Using Pre- and Post-Transmission Digital Equalization. In Proceedings of the Optical Fiber Communication, Collocated National Fiber Optic Engineers Conference, 2010 (OFC/NFOEC 2010), San Diego, CA, USA, 21–25 March 2010. [Google Scholar]
- Sano, A.; Masuda, H.; Kobayashi, T.; Fujiwara, M.; Horikoshi, K.; Yoshida, E.; Miyamoto, Y.; Matsui, M.; Mizoguchi, M.; Yamazaki, H.; et al. 69.1 Tb/s (432 × 171 Gb/s) C- and L-Band Transmission Using PDM-16QAM. In Proceedings of the Optical Fiber Communication, Collocated National Fiber Optic Engineers Conference, 2010 (OFC/NFOEC 2010), San Diego, CA, USA, 21–25 March 2010. [Google Scholar]
- Qian, D.; Huang, M.F.; Ip, E.; Huang, Y.K.; Shao, Y.; Hu, J.; Wang, T. 101.7-Tb/s (370 × 294-Gb/s) PDM-128QAM-OFDM Transmission Using Pilot-Based Phase Noise Mitigation. In Proceedings of the Optical Fiber Communication, Collocated National Fiber Optic Engineers Conference, 2011 (OFC/NFOEC 2011), Los Angeles, CA, USA, 6–10 March 2011. [Google Scholar]
- Sano, A.; Kobayashi, T.; Yamanaka, S.; Matsuura, A.; Kawakami, H.; Miyamoto, Y.; Ishihara, K.; Masuda, H. 102.3-Tb/s (224 × 548-Gb/s) C- and L-Band Transmission Using PDM-64QAM FDM. In Proceedings of the Optical Fiber Communication, Collocated National Fiber Optic Engineers Conference, 2012 (OFC/NFOEC 2012), Los Angeles, CA, USA, 4–8 March 2012. [Google Scholar]
- Li, C.; Luo, M.; Xiao, X.; Li, J.; He, Z.; Yang, Q.; Yang, Z.; Yu, S. 63-Tb/s (368 × 183.3-Gb/s) C-and L-band all-Raman transmission over 160-km SSMF using PDM-OFDM-16QAM modulation. Chin. Opt. Lett. 2014, 12, 040601. [Google Scholar]
- Luo, M.; Mo, Q.; Li, X.; Hu, R.; Qiu, Y.; Li, C.; Liu, Z.; Liu, W.; Yu, H.; Du, W.; et al. Transmission of 200 Tb/s (375 × 3 × 178.125 Gb/s) PDM-DFTS-OFDM-32QAM super channel over 1 km FMF. Front. Optoelectron. 2015, 8, 394–401. [Google Scholar] [CrossRef]
- Renaudier, J.; Napoli, A.; Ionescu, M.; Calo, C.; Fiol, G.; Mikhailov, V.; Forysiak, W.; Fontaine, N.; Poletti, F.; Poggiolini, P. Devices and fibers for ultrawideband optical communications. Proc. IEEE 2022, 110, 1742–1759. [Google Scholar] [CrossRef]
- Ionescu, M.; Galdino, L.; Edwards, A.; James, J.; Pelouch, W.; Sillekens, E.; Semrau, D.; Lavery, D.; Killey, R.I.; Barnes, S.; et al. 91 nm C+L Hybrid Raman–EDFA for High-Capacity Subsea Transmission. In Proceedings of the 44th European Conference on Optical Communication (ECOC 2018), Rome, Italy, 23–27 September 2018. [Google Scholar]
- Hamaoka, F.; Minoguchi, K.; Sasai, T.; Matsushita, A.; Nakamura, M.; Okamoto, S.; Yamazaki, E.; Kisaka, Y. 150.3-Tb/s Ultra-Wideband Transmission (S, C, L Bands). In Proceedings of the 44th European Conference on Optical Communication (ECOC 2018), Rome, Italy, 23–27 September 2018. [Google Scholar]
- Sleiffer, V.A.J.M.; Jung, Y.; Inan, B.; Chen, H.; van Uden, R.G.; Kuschnerov, M.; van den Borne, D.; Jansen, S.L.; Veljanovski, V.; Koonen, A.M.J.; et al. Mode-Division-Multiplexed 3 × 112-Gb/s DP-QPSK Transmission over Few-Mode Fiber. In Proceedings of the 38th European Conference and Exhibition on Optical Communications (ECOC 2012), Amsterdam, Netherlands, 16–20 September 2012. [Google Scholar]
- Sleiffer, V.A.J.M.; Richardson, D.; Alam, S.; Leoni, P.; Jung, Y.; De Waardt, H.; Surof, J.; Grner-Nielsen, L.; Sun, Y.; Corbett, B.; et al. 20 × 960-Gb/s MDM-DP-32QAM transmission over 60km FMF with inline MM-EDFA. In Proceedings of the 39th European Conference and Exhibition on Optical Communications (ECOC 2013), London, UK, 22–26 September 2013. [Google Scholar]
- Ryf, R.; Randel, S.; Fontaine, N.K.; Montoliu, M.; Burrows, E.; Corteselli, S.; Chandrasekhar, S.; Gnauck, A.H.; Xie, C.; Essiambre, R.J.; et al. 32-bit/s/Hz spectral efficiency WDM transmission over 177-km few-mode fiber. In Proceedings of the Optical Fiber Communication, Collocated National Fiber Optic Engineers Conference, 2013 (OFC/NFOEC 2013), Annaheim, CA, USA, 17–21 March 2013. [Google Scholar]
- Ip, E.; Li, M.J.; Bennett, K.; Huang, Y.K.; Tanaka, A.; Korolev, A.; Koreshkov, K.; Wood, W.; Mateo, E.; Hu, J.; et al. 146λ × 6 × 19-Gbaud wavelength-and mode-division multiplexed transmission over 10× 50-km spans of few-mode fiber with a gain-equalized few-mode EDFA. J. Light. Technol. 2013, 32, 790–797. [Google Scholar] [CrossRef]
- Long, J.; Zhou, W.; Yu, J.; Wang, C.; Zhang, L.; Sang, B.; Wu, Y.; Yang, X.; Chen, Y.; Wei, Y.; et al. Net 562.5-Gbps/λ 2 × 2 MIMO Optical Wireless Transmission System at 322 GHz with Sampling Frequency Offset Compensation. J. Light. Technol. 2025, 43, 6120–6127. [Google Scholar] [CrossRef]
- Long, J.; Yu, J.; Wang, C.; Zhang, L.; Sang, B.; Wu, Y.; Yang, X.; Wei, Y.; Wang, K.; Zhou, W.; et al. 510-Gbps 322-GHz Photonics-Aided Terahertz Wireless Transmission System with MIMO Embedded Adaptive Phase Recovery Equalizer. IEEE Trans. Microw. Theory Tech. 2025, 73, 3597–3607. [Google Scholar] [CrossRef]
- Long, J.; Wang, C.; Yu, J.; Zhang, L.; Sang, B.; Wu, Y.; Yang, X.; Wei, Y.; Wang, K.; Zhou, W.; et al. Demonstration of 562.5-Gbps 2 × 2 MIMO Terahertz-Wave Signal Transmission at 322 GHz with SFO Compensation. In Proceedings of the 50th European Conference on Optical Communication (ECOC 2024), Frankfurt, Germany, 22–26 September 2024. [Google Scholar]
- Long, J.; Wang, C.; Sang, B.; Yang, X.; Wang, M.; Wu, Y.; Zhang, L.; Chen, Y.; Bian, C.; Zhang, Q.; et al. Photonics-Assisted mmWave Wireless Transmission System With Sampling Frequency Offset-Based Channel Estimation. IEEE Trans. Microw. Theory Tech. 2025, 73, 8000–8012. [Google Scholar] [CrossRef]
- Long, J.; Yang, X.; Wang, M.; Zhang, L.; Wang, C.; Sang, B.; Bian, C.; Wang, K.; Zhou, W.; Zhao, F.; et al. Cross-Reference-Based Sampling Frequency Offset Estimation Method for 60-Gbps 50-m Photonics-Aided D-band IM/DD Wireless Transmission System. Opt. Laser Technol. 2025, 184, 112434. [Google Scholar] [CrossRef]
- Long, J.; Wang, C.; Yu, J.; Wu, Y.; Zhang, L.; Sang, B.; Chen, Y.; Yang, X.; Zhou, W.; Wang, K.; et al. Equivalent Sampling Frequency Offset in Transceivers: Minimization and Compensation for Broadband Photonics-Aided THz Wireless Transmission Systems. IEEE Trans. Terahertz Sci. Technol. 2025, 1–12. [Google Scholar] [CrossRef]
- Long, J.; Tan, J.; Yu, J.; Liu, J.; Yang, X.; Wei, Y.; Wang, K.; Zhou, W.; Zhao, X.; Ding, J.; et al. 40-GHz Bandwidth Envelope Detector Used in 0.3-THz IM/DD System for 4096-QAM DSM Signal Transmission. In Proceedings of the 2024 Optical Fiber Communication Conference and Exhibition (OFC 2024), San Diego, CA, USA, 24–28 March 2024. [Google Scholar]
- Zhao, L.; Long, J.; Ding, J.; Yu, J. Demonstration of 5.12-Tbps THz-over-Fiber Transmission in 80 Channel WDM System. Sci. China Technol. Sci. 2023, 66, 1480–1482. [Google Scholar] [CrossRef]
- Long, J.; Wang, C.; Yu, J.; Sang, B.; Yang, X.; Chen, Y.; Zhang, L.; Wu, Y.; Wang, Y.; Li, Y.; et al. Single-Wavelength 100-Gbps PAM-4 TDM-ZR-PON Supporting 80-Km Downstream Transmission with Over 31-dB Power Budget Enabled by BDFA and SFO Compensation. Opt. Laser Technol. 2025, 189, 113025. [Google Scholar] [CrossRef]
- Chen, Y.; Yu, J.; Wang, C.; Long, J.; Sang, B.; Li, F. Low-Cost 100 G PON Based on a Residual Optical Carrier for Carrier Recovery. Opt. Lett. 2025, 50, 181–184. [Google Scholar] [CrossRef] [PubMed]
- Chen, Y.; Wang, C.; Yu, J.; Long, J.; Sang, B.; Li, F. An Efficient Phase Noise Elimination Method to Facilitate Cost-Effective 100/200G Coherent PON. J. Light. Technol. 2025, 43, 7075–7082. [Google Scholar] [CrossRef]
- Chen, Y.; Yu, J.; Wang, C.; Long, J.; Sang, B.; Zhou, W.; Wang, K.; Li, F. Cost-Effective 200-Gbps/λ Coherent PON Enabled by DFB Lasers and a Pilot-Based Carrier Recovery. Sci. China Inf. Sci. 2025, 68, 1–2. [Google Scholar] [CrossRef]
- Kachhatiya, V.; Prince, S. Downstream performance analysis and optimization of the next generation passive optical network stage 2 (NG-PON2). Opt. Laser Technol. 2018, 104, 90–102. [Google Scholar] [CrossRef]
- Long, J.; Wang, C.; Sang, B.; Ding, J.; Wang, K.; Zhu, B.; Zheng, T.; Zhou, W.; Ye, B.; Chen, W.; et al. SNR-Enhanced Signal Delivery Scheme with Delta–Sigma Modulation in a Four-Mode Fiber System. Opt. Lett. 2023, 48, 6287–6290. [Google Scholar] [CrossRef]
- Liu, J.; Yu, J.; Long, J.; Wang, M.; Bian, C.; Wang, K.; Li, W.; Zhang, J.; Zhu, M.; Xie, T.; et al. 8192QAM Signal Transmission over 20-m Wireless Distance at W-Band Using Delta-Sigma Modulation. In Proceedings of the 2023 Optical Fiber Communication Conference and Exhibition (OFC 2023), San Diego, CA, USA, 5–9 March 2023. [Google Scholar]
- Tan, J.; Long, J.; Yu, J.; Yang, X.; Liu, J.; Tian, P.; Xu, S.; Han, Y.; Zhang, B.; Zhang, Y. 4096-QAM Signal Transmission by an IM/DD System at THz Band Using Delta-Sigma Modulation. IEEE Photon. Technol. Lett. 2024, 36, 917–920. [Google Scholar] [CrossRef]
- Zhao, L.; Xu, S.; Wang, M.; Sang, B.; Long, J.; Zhang, L.; Zhou, W.; Wang, K.; Yu, J. Probabilistic Shaping-Based Delta Sigma Modulation. Opt. Lett. 2023, 48, 1450–1453. [Google Scholar] [CrossRef]
- Ding, J.; Yu, J.; Wang, C.; Long, J.; Zhu, M.; Zhang, J. High Spectral Efficiency 4-Mode 400-Km Transmission Using Hybrid Probabilistically and Geometrically Shaped 128QAM. Sci. China Technol. Sci. 2024, 67, 1628–1630. [Google Scholar] [CrossRef]
- Zhang, L.; Yu, J.; Wang, K.; Zhu, Z.; Yang, X.; Jiang, L.; Liu, J.; Sang, B.; Wang, C.; Long, J.; et al. Real-Time Intra-Symbol Two-Stage Bit-Class Distribution Matcher-Based PS-64QAM DMT Transceiver for W-Band Wireless Transmission. J. Light. Technol. 2025, 43, 1759–1772. [Google Scholar] [CrossRef]
- Wang, C.; Long, J.; Sang, B.; Zhu, B.; Li, P.; Wang, K.; Zhou, W.; Shen, L.; Yu, J. Broadband Hollow-Core NANF Transmission Utilizing Optimal Carrier Phase Estimation for Probabilistic Shaping Constellation. Chin. Opt. Lett. 2025, 23, 020604. [Google Scholar] [CrossRef]
- Zhang, L.; Yu, J.; Yang, X.; Long, J.; Bian, C.; Ge, J.; Zhu, M.; Zhang, J.; Wang, K.; Zhou, W. Beyond 60G SSB-FBMC Signals Transmission for Fiber-THz Integrated System Using Simplified Parallel Kramers-Kronig Receiver. Opt. Laser Technol. 2025, 191, 113362. [Google Scholar] [CrossRef]
- Sun, X.; Wang, K.; Zhu, Z.; Zhang, L.; Gou, Y.; Meng, Y.; Chen, Y.; Yu, J. FPGA Real-Time Deployment of Low-Complexity Volterra Equalizer Based on Pruning and Non-Uniform Quantization. J. Light. Technol. 2025, 43, 4183–4192. [Google Scholar] [CrossRef]
- Wang, K.; Wang, C.; Zheng, T.; Long, J.; Sang, B.; Zhou, W.; Yu, J. A MIMO Neural Network Integrated with Maximum Likelihood Phase Recovery for Transoceanic Coherent Transmission. J. Light. Technol. 2025, 43, 5536–5544. [Google Scholar] [CrossRef]
- Long, J.; Wang, C.; Wu, Y.; Sang, B.; Bian, C.; Yang, X.; Zhang, L.; Chen, Y.; Zhang, Q.; Wang, Y.; et al. Digital Frequency-Domain MIMO Equalizer Enabling Six-LP-Mode Strong-Coupling IM/DD MDM Optical Transmission System. Sensors 2025, 25, 2562. [Google Scholar] [CrossRef]
- Wang, C.; Long, J.; Wang, K.; Yang, X.; Sang, B.; Bian, C.; Zhou, W.; Yu, J. Low-Complexity MIMO Neural Network Equalization Integrated with Batch-Wise Phase Recovery for Coherent Transmission. Opt. Laser Technol. 2025, 188, 112942. [Google Scholar] [CrossRef]
- Wang, C.; Wang, K.; Long, J.; Zhou, W.; Zhao, F.; Shen, L.; Li, P.; Yu, J. High-Order QAM NANF Transmission Utilizing MIMO Equalizer Integrated with Low-Complexity Decision-Directed Carrier Phase Estimation. Opt. Lett. 2024, 49, 2293–2296. [Google Scholar] [CrossRef] [PubMed]
- Wang, S.; Zhou, W.; Wang, Q.; Xu, S.; Long, J.; Yang, X.; Zhang, J.; Ge, J.; Lin, J.; Ou, Z.; et al. Reinforcement Learning-Based Complex-Valued Space-Time MIMO 2D-LSTM Nonlinear Equalizer for Photonics-Assisted THz Indoor Optical Wireless Access Networks. J. Opt. Commun. Netw. 2025, 17, D144–D155. [Google Scholar] [CrossRef]
- Xu, S.; Zhou, W.; Zhao, X.; Wang, Q.; Wei, Y.; Yang, X.; Sang, B.; Wang, M.; Lu, X.; Li, W.; et al. Long-Distance 20.1 km THz Wireless Transmission Using CVMSO NN Equalizer by Photonics-Aided Technology. IEEE Trans. Microw. Theory Tech. 2025, 73, 8210–8219. [Google Scholar] [CrossRef]
- Xu, S.; Zhou, W.; Wei, Y.; Wang, Q.; Yang, X.; Tan, J.; Tian, P.; Han, Y.; Wang, M.; Zhang, J.; et al. Demonstration of a Low-Phase-Noise MIMO 2-D Convolutional Neural Network Nonlinear Equalizer in an MIMO DMT Long-Haul D-Band RoF System. IEEE Trans. Microw. Theory Tech. 2025, 73, 9583–9595. [Google Scholar] [CrossRef]
- Xu, S.; Zhou, W.; Li, W.; Gou, Y.; Sang, B.; Uddin, R.; Zeng, L. Space–Time Domain Equalization Algorithm Based on Complex-Valued Neural Network in a Long-Haul Photonic-Aided MIMO THz System. Opt. Lett. 2024, 49, 1253–1256. [Google Scholar] [CrossRef] [PubMed]
- Xu, S.; Sang, B.; Zeng, L.; Zhao, L. Two-Lane DNN Equalizer Using Balanced Random-Oversampling for W-Band PS-16QAM RoF Delivery over 4.6 km. Sensors 2023, 23, 4618. [Google Scholar] [CrossRef] [PubMed]
- Xu, S.; Zhou, W.; Wang, Q.; Wei, Y.; Yang, X.; Wang, M.; Lu, X.; Zhang, J.; Ge, J.; Lin, J.; et al. 20.1-km D-band Wireless Transmission Enabled by CVMSO NN Equalizer in Photonics-Aided Coherent MMW Systems. In Proceedings of the 2025 Optical Fiber Communications Conference (OFC 2025), San Francisco, CA, USA, 30 March–3 April 2025. [Google Scholar]
- Xu, S.; Zhou, W.; Yu, J.; Wang, M.; Jiang, L.; Lu, X.; Zhang, Q.; Li, Y.; Li, W.; Wang, Q.; et al. D-band Ultra-Long-Distance Wireless Transmission with Partial Over-the-Sea Link Using QuadConvNet Equalizer. In Proceedings of the 51st European Conference on Optical Communication (ECOC 2025), Copenhagen, Denmark, 28 September–2 October 2025. [Google Scholar]
- Spinnler, B. Equalizer Design and Complexity for Digital Coherent Receivers. IEEE J. Sel. Top. Quantum Electron. 2010, 16, 1180–1192. [Google Scholar] [CrossRef]
- Proakis, J.G.; Manolakis, D.G. Digital Signal Processing, 4th ed.; Pearson: London, UK, 2007. [Google Scholar]
- Chiang, H.-C.; Liu, J.-C. Fast Algorithm for FIR Filtering in the Transform Domain. IEEE Trans. Signal Process. 1996, 44, 126–129. [Google Scholar] [CrossRef]
- Daher, A.; Baghious, E.H.; Burel, G.; Radoi, E. Overlap-Save and Overlap-Add Filters: Optimal Design and Comparison. IEEE Trans. Signal Process. 2010, 58, 3066–3075. [Google Scholar] [CrossRef]
- Long, J.; Yu, J.; Wang, C.; Sang, B.; Shi, J.; Zhang, L.; Chen, Y.; Yang, X.; Zhang, Q.; Zhou, Y.; et al. Neural Network Embedded with Maximum Likelihood Phase Retrieval for Photonics-Aided Wireless Transmission System at 0.33-0.52 THz. IEEE Trans. Microw. Theory Tech. 2025, 1–11. [Google Scholar]
- Taylor, M.G. Compact Digital Dispersion Compensation Algorithms. In Proceedings of the 2008 Optical Fiber Communication Conference (OFC 2008), San Diego, CA, USA, 24–28 February 2008. [Google Scholar]
- Ip, E.; Kahn, J.M. Compensation of Dispersion and Nonlinear Impairments Using Digital Backpropagation. J. Lightw. Technol. 2008, 26, 3416–3425. [Google Scholar] [CrossRef]
- Ip, J.E.; Kahn, J.M. Digital Equalization of Chromatic Dispersion and Polarization Mode Dispersion. J. Lightw. Technol. 2007, 25, 2033–2043. [Google Scholar] [CrossRef]
- Felipe, A.; de Souza, A.L.N. Chirp-Filtering for Low-Complexity Chromatic Dispersion Compensation. J. Lightw. Technol. 2020, 38, 2954–2960. [Google Scholar] [CrossRef]
- Bae, C.; Gustafsson, O. Architectural Trade-Offs for High-Speed Real-Time Chromatic Dispersion Compensation FIR Filters. J. Lightw. Technol. 2025, 43, 6744–6753. [Google Scholar] [CrossRef]
- Wu, Y.; Yu, J.; Long, J.; Zhang, Q.; Li, W.; Sang, B.; Zheng, T.; Zhang, B.; Zhou, W.; Wang, K. To double transmission distance of optical fiber communication based on MIMO-CMA and MRC. Opt. Commun. 2025, 578, 131466. [Google Scholar] [CrossRef]
- Fan, Z.; Luo, J.; Zheng, B.; Cai, Y.; Zhao, J. Subband Processing for OQAM Digital-Subcarrier-Multiplexing Optical Coherent Systems. J. Lightw. Technol. 2025, 43, 4218–4230. [Google Scholar] [CrossRef]
- Vosoughi Rad, A.; Abolfathimomtaz, A.; Karami, M.; Ardakani, M.; Ebrahimzad, H. Efficient Segmentation for Large-Scale Filtering Based on Overlap-Save Method. In Proceedings of the 2024 IEEE Pacific Rim Conference on Communications, Computers and Signal Processing (PACRIM), Victoria, BC, Canada, 21–23 August 2024. [Google Scholar]
- Kuschnerov, M.; Hauske, F.N.; Piyawanno, K.; Spinnler, B.; Alfiad, M.S.; Napoli, A.; Lankl, B. DSP for Coherent Single-Carrier Receivers. J. Light. Technol. 2009, 27, 3614–3622. [Google Scholar] [CrossRef]
- Hauske, F.N.; Stojanovic, N.; Xie, C.; Chen, M. Impact of Optical Channel Distortions to Digital Timing Recovery in Digital Coherent Transmission Systems. In Proceedings of the 2010 12th International Conference on Transparent Optical Networks (ICTON 2010), Munich, Germany, 27 June–1 July 2010. [Google Scholar]
- Kuschnerov, M.; Hauske, F.; Gourdon, E.; Piyawanno, K.; Lankl, B.; Spinnler, B. Digital Timing Recovery for Coherent Fiber Optic Systems. In Proceedings of the 2008 Optical Fiber Communication/National Fiber Optic Engineers Conference (OFC/NFOEC 2008), San Diego, CA, USA, 24–28 February 2008. [Google Scholar]
- Spinnler, B.; Hauske, F.N.; Kuschnerov, M. Adaptive Equalizer Complexity in Coherent Optical Receivers. In Proceedings of the 34th European Conference on Optical Communication (ECOC 2008), Brussels, Belgium, 21–25 September 2008. [Google Scholar]
- Agrawal, G. Nonlinear Fiber Optics; Academic Press: Cambridge, MA, USA, 2001. [Google Scholar]
- Goldfarb, G.; Li, G. Chromatic Dispersion Compensation Using Digital IIR Filtering with Coherent Detection. IEEE Photonics Technol. Lett. 2007, 19, 969–971. [Google Scholar] [CrossRef]
- Savory, S.; Gavioli, G.; Killey, R.I.; Bayvel, P. Electronic Compensation of Chromatic Dispersion Using a Digital Coherent Receiver. Opt. Express 2007, 15, 2120–2126. [Google Scholar] [CrossRef] [PubMed]
- Kudo, R.; Ishihara, K. Coherent Optical Single Carrier Transmission Using Overlap Frequency Domain Equalization for Long-Haul Optical Systems. J. Light. Technol. 2009, 27, 3721–3728. [Google Scholar] [CrossRef]
- Savory, S. Digital Filters for Coherent Optical Receivers. Opt. Express 2008, 16, 804–817. [Google Scholar] [CrossRef]
- Savory, S. Compensation of Fibre Impairments in Digital Coherent Systems. In Proceedings of the 34th European Conference on Optical Communication (ECOC 2008), Brussels, Belgium, 21–25 September 2008. [Google Scholar]
- Rad, A.V.; Abolfathimomtaz, A.; Karami, M.; Ardakani, M.; Ebrahimzad, H.; Zhang, Z. Time-Segmented Overlap-Free Block Filtering with Application to Chromatic Dispersion Compensation. In Proceedings of the IEEE International Conference on Communications (ICC 2025), Montreal, QC, Canada, 8–12 June 2025. [Google Scholar]
- Kuschnerov, M.; Bex, T.; Kainzmaier, P. Energy efficient digital signal processing. In Proceedings of the 2014 Optical Fiber Communication Conference (OFC 2014), San Francisco, CA, USA, 9–13 March 2014. [Google Scholar]
- Martins, C.S.; Guiomar, F.P.; Amado, S.B.; Ferreira, R.M.; Ziaie, S.; Shahpari, A.; Teixeira, A.L.; Pinto, A.N. Distributive FIR-based chromatic dispersion equalization for coherent receivers. J. Lightw. Technol. 2016, 34, 5023–5032. [Google Scholar] [CrossRef]
- Ji, Z.; Ji, R.; Ding, M.; Song, X.; You, X.; Zhang, C. Hardware implementation of chromatic dispersion compensation in finite fields. In Proceedings of the 15th IEEE International Conference on ASIC (ASICON 2023), Nanjing, China, 24–27 October 2023; pp. 1–4. [Google Scholar]
- Gomes, G.; Freire, P.; Prilepsky, J.E.; Turitsyn, S.K. FPGA implementation of complex value-based clustering filter for chromatic dispersion compensation incoherent metro links with ultra-low power consumption. In Proceedings of the 50th European Conference on Optical Communication, Frankfurt, Germany, 22–26 September 2024. [Google Scholar]
- Gomes, G.; Freire, P.; Prilepsky, J.E.; Turitsyn, S.K. Geometric Clustering for Hardware-Efficient Implementation of Chromatic Dispersion Compensation. J. Light. Technol. 2015, 43, 567–5688. [Google Scholar] [CrossRef]
- Bower, P.; Dedic, I. High speed converters and DSP for 100Gand beyond. Opt. Fiber Technol. 2011, 17, 464–471. [Google Scholar] [CrossRef]
- Eghbali, A.; Johansson, H.; Gustafsson, O.; Savory, S.J. Optimal Least-Squares FIR Digital Filters for Compensation of Chromatic Dispersion in Digital Coherent Optical Receivers. J. Light. Technol. 2014, 32, 1449–1456. [Google Scholar] [CrossRef]
- Yu, J.; Chi, N. Basic Digital Signal Processing for Single-Carrier Signals. In Digital Signal Processing in High-Speed Optical Fiber Communication Principle and Application; Springer: Singapore, 2020. [Google Scholar] [CrossRef]








| Example | N | z km | F Hz | K |
|---|---|---|---|---|
| 1 | 251 | 4000 | 19.9227 | |
| 2 | 875 | 1000 | 69.605 |
| Algorithm Variants | Key Principle/Structure | Main Parameters | Computational/Hardware Metrics |
|---|---|---|---|
| OLS | Block convolution with overlapping segments; discards aliasing samples | Block length, overlap size, filter length | Requires per-block FFT + IFFT |
| VOSF | Splits long FIR into multiple shorter subfilters; each processed by independent OLS units | FFT length, total filter length | Multiple FFT/IFFT modules; parallel processing; higher hardware cost due to replicated FFT engines; |
| LOSF | All subfilters share a single FFT/IFFT; time shifts handled via frequency-domain phase rotation | FFT length, total filter length | Only 2 FFT/IFFT per block; reduced complexity vs. VOSF; |
| TS-OLF | Non-overlapping blocks; error compensation via odd/even frequency decomposition | FFT length, total filter length | 4 FFT/IFFT per block; additional diagonal matrix multiplications; |
| TDCE | Groups redundant FIR taps into clusters based on phase geometry | Number of clusters | Reduces multiplications (≈60% taps discarded); extra additions; FPGA-friendly |
| LS-FIR CDC | FIR designed via least-squares approximation of inverse CD transfer function | Filter length, regularization parameter | Fewer taps than analytical FIR; matrix inversion cost; improved BER with shorter filters |
Disclaimer/Publisher’s Note: The statements, opinions and data contained in all publications are solely those of the individual author(s) and contributor(s) and not of MDPI and/or the editor(s). MDPI and/or the editor(s) disclaim responsibility for any injury to people or property resulting from any ideas, methods, instructions or products referred to in the content. |
© 2025 by the authors. Licensee MDPI, Basel, Switzerland. This article is an open access article distributed under the terms and conditions of the Creative Commons Attribution (CC BY) license.
Share and Cite
Wu, Y.; Wang, Y.; Jiang, L.; Yu, J. Dispersion Compensation Scheme with a Simple Structure in Ultra-High-Speed Optical Fiber Transmission Systems. Photonics 2026, 13, 39. https://doi.org/10.3390/photonics13010039
Wu Y, Wang Y, Jiang L, Yu J. Dispersion Compensation Scheme with a Simple Structure in Ultra-High-Speed Optical Fiber Transmission Systems. Photonics. 2026; 13(1):39. https://doi.org/10.3390/photonics13010039
Chicago/Turabian StyleWu, Ying, Ying Wang, Luhan Jiang, and Jianjun Yu. 2026. "Dispersion Compensation Scheme with a Simple Structure in Ultra-High-Speed Optical Fiber Transmission Systems" Photonics 13, no. 1: 39. https://doi.org/10.3390/photonics13010039
APA StyleWu, Y., Wang, Y., Jiang, L., & Yu, J. (2026). Dispersion Compensation Scheme with a Simple Structure in Ultra-High-Speed Optical Fiber Transmission Systems. Photonics, 13(1), 39. https://doi.org/10.3390/photonics13010039
