Next Article in Journal
A Transformer-Based Approach to Facilitate Inverse Design of Achromatic Metasurfaces
Previous Article in Journal
19 × 1 Photonic Lantern for Mode Conversion: Simulation and Adaptive Control for Enhanced Mode Output Quality
 
 
Font Type:
Arial Georgia Verdana
Font Size:
Aa Aa Aa
Line Spacing:
Column Width:
Background:
Article

Mode Propagation of Elliptical Perfect Optical Vortex in Turbulent Oceanic Channel

1
School of Science, Jiangnan University, Wuxi 214122, China
2
Jiangsu Provincial Research Center of Light Industrial Optoelectronic Engineering and Technology, Wuxi 214122, China
*
Author to whom correspondence should be addressed.
Photonics 2025, 12(9), 912; https://doi.org/10.3390/photonics12090912
Submission received: 30 July 2025 / Revised: 27 August 2025 / Accepted: 8 September 2025 / Published: 11 September 2025

Abstract

As extensions of circular symmetric vortex beams, elliptical vortex beams with more diverse field forms are worthy of attention. In this paper, we investigate the mode propagation characteristics of an elliptical perfect optical vortex (EPOV) beam in oceanic turbulence. The theoretical model is constructed to analyze the detection probability of orbital angular momentum mode and average capacity at the receiver. The results reveal that the self-focusing property of the EPOV beam is able to improve propagation performance. By changing the elliptical scaling factor and the ratio of ring radius to width, the self-focusing effect is adjustable. The smaller elliptical scaling factor and ring radius to width ratio are beneficial for short-range transmission, while the larger ones are better for long-range transmission. Furthermore, the impacts of oceanic temperature and salinity in wide variation ranges are analyzed by use of the oceanic turbulence optical power spectrum. Higher capacity is obtained when the EPOV beam propagates in low-temperature and low-salinity oceanic channel. The research is referable for the design of underwater communication systems.

1. Introduction

With the development of optical communication technology and the growing demand for marine applications, underwater wireless optical communication (UWOC) has gradually come into sight. Compared with the traditional acoustic communication, UWOC has advantages of wide bandwidth, high data rate and high security [1]. To improve the transmission performance of UWOC systems, vortex beams carrying orbital angular momentum (OAM) have attracted much attention [2]. Since OAM modes with different topological charges are orthogonal to each other, they can serve as a new degree of freedom for coding and multiplexing [3]. So in addition to conventional time-division and wavelength-division multiplexing, mode-division multiplexing of multiple OAM states can also be applied to vortex beams for higher capacity.
However, the presence of temperature and salinity gradients in oceans induces oceanic turbulence and then causes fluctuations in the seawater refractive index [4]. These random fluctuations lead to beam spreading, wander and wavefront distortion during propagation. Since OAM is closely related to the spatial structure of the beam wavefront, wavefront distortion will cause crosstalk among OAM eigenmodes inevitably and degrade the transmission performance of the vortex beam [5]. Thus, mitigating the impact of oceanic turbulence on beam propagation has become an important issue for the construction of a UWOC link.
The optical effects of oceanic turbulence are determined by the spatial power spectrum of refractive index fluctuations, whose main contribution factors are the variations of seawater temperature and salinity [6]. Many researchers have conducted in-depth studies on this matter in recent years and developed theoretical models accordingly. By using equal eddy diffusivities of temperature and salinity, Nikishov et al. combined the scalar spectra of temperature, salinity and their co-spectrum together to obtain the total power spectrum of stably stratified oceanic turbulence [7]. Elamassie et al. considered the case where the eddy diffusivities of temperature and salinity were not equal, and developed the turbulence spectrum for unstably stratified condition. But the expressions of scalar spectra combined in this model were relatively complex and limited the analytical efficiency in practical applications [8]. Further, Yao et al. proposed the oceanic turbulence optical power spectrum (OTOPS) model for unstable stratification but with more concise theoretical expressions. Moreover, the effects of temperature and salinity can be quantitatively analyzed over a wide range rather than at some fixed values, which means the spectrum has good applicability to various natural waters [9].
In addition to the properties of oceanic turbulence, the field characteristics of different vortex beams have also been explored for communication system optimization. Doster et al. analyzed the channel efficiency and bit error rate of a Bessel–Gaussian beam whose non-diffraction exhibited resistance to turbulence interference [10]. Further, Wang et al. studied a non-diffracting circular Airy beam and found that its self-focusing property could not only enhance beam intensity but also extend propagation distance in a turbulent channel [11]. Yang et al. investigated the self-focusing of an OAM-entangled Airy beam and demonstrated its effectiveness in mitigating wavefront distortion induced by turbulence [12]. However, the spot sizes of above beams increase with topological charge rapidly, which is disadvantageous to multiplexing of different OAM modes in a fixed receiving aperture. Instead, Ostrovsky et al. proposed a circular perfect optical vortex (CPOV) beam with initial ring width and radius independent of topological charge [13]. Zhu et al. demonstrated the generation of a CPOV using a spatial light modulator experimentally and its propagation characteristics in free space [14]. The self-focusing property of a CPOV was revealed by Wang et al., which could be tailored by field adjustment to enhance the transmission performance for different scenarios [15].
Based on the investigations on vortex beams with circular transverse intensity profile, elliptical vortex beams with more generalized forms of light field have been paid attention. The introduction of the elliptical factor brings more adjustable and diverse field distributions. Xie et al. generated an elliptical Airy beam experimentally, which had asymmetric intensity profiles and self-focusing behavior with significant intensity enhancement at the focal point [16]. Kotlyar et al. proposed an efficient method to generate an elliptical perfect optical vortex (EPOV) beam using a pure phase diffractive element. Similar to a CPOV beam, the initial horizontal and vertical radii of the EPOV beam were independent of topological charge [17]. Das et al. investigated the evolution of field intensity distribution in free space and demonstrated that an EPOV beam also exhibited self-focusing characteristics [18]. However, the OAM mode propagation of EPOV beams in turbulent oceanic channels has not been reported. The effects of beam self-focusing in combination with elliptical field profile on mode propagation performance remain to be explored.
In this paper, the mode detection probability and average capacity of an EPOV beam are investigated in oceanic turbulence. By using the turbulence power spectrum described by the OTOPS model, the turbulent conditions are constructed under various oceanic temperatures and salinities. Theoretical expressions are derived for mode propagation analysis, based on which the self-focusing effect for turbulence resistance is discussed. The influences of elliptical field distribution and other beam parameters on self-focusing effect are investigated in order to improve propagation performances. Some instructive conclusions are obtained for EPOV beam optimization in underwater communication.

2. Theoretical Analysis

Generally, a CPOV beam can be generated at the focal plane by conducting a Fourier transform of a Bessel–Gaussian beam with a lens. If the Bessel–Gaussian beam is stretched horizontally or vertically before being transformed, an EPOV beam is obtained. Similar to the field expression of a CPOV beam, the complex amplitude U ( r , θ ) of an EPOV beam at the source plane is expressed as [18]
U r , θ = U 0 exp r 2 ω e 2 I l 0 2 r r e ω e 2 exp i l 0 θ ,
where U 0 is the constant amplitude at the focus in source plane, r = x 2 + e 2 y 2 and θ = a r c t a n ( e y / x ) are the radial and angular coordinates, respectively, ( x , y ) are Cartesian coordinates and e is the elliptical scaling factor. If considering the horizontal stretching of the Bessel–Gaussian beam, the EPOV beam is compressed horizontally after Fourier transform with parameter 0 < e < 1 . ω e = e ω 0 and r e = e r 0 are the initial half-ring width and ring radius in the horizontal direction, respectively, while ω 0 and r 0 are the corresponding values in the vertical direction. l 0 is the topological charge and I l 0 ( ) denotes the modified Bessel function of the first kind.
Figure 1 illustrates the normalized transverse intensity distribution of an EPOV beam with the elliptical scaling factor 0 < e < 1 at the source plane. The horizontal half-ring width ω e and ring radius r e of the EPOV beam are not equal to the vertical ones due to the definitions of ω e = e ω 0 and r e = e r 0 , which are quite different from the conventional CPOV beam with the same half-ring width and ring radius in all directions. With the increment of e , the elliptical profile of the beam field becomes less pronounced. When e = 1 , the field degenerates into a circular symmetric distribution, which means that the EPOV beam converts into a CPOV beam. Compared to a CPOV beam mainly regulated by half-ring width and ring radius, the introduction of elliptical scaling factor offers an EPOV beam more diverse field patterns and more flexibility for adjustment in applications.
Then by using the extended Huygens–Fresnel principle, the complex amplitude expression U ( ρ , φ , z ) of the EPOV beam at arbitrary propagation distance z in free space is obtained in the form of [18]
U ρ , φ , z = i k 2 π z exp i k z 0 0 2 π U r , θ exp i k 2 z ρ 2 + r 2 2 r ρ cos φ θ   r d r d θ = i   l 0 + 1 k U 0 2 m z exp i k z + l 0 φ + k ρ 2 2 z + a 2 b 2 4   m J l 0 a b 2   m ,
where ρ and φ are the radial and angular coordinates, respectively, k = 2 π / λ is the wavenumber and λ is the wavelength. m , a and b are three defined variables with corresponding expressions of m = 1 / ω e 2 i k / 2 z , a = 2 r e / ω e 2 and b = k ρ / z . J l 0 ( ) is the Bessel function of the first kind.
According to Equation (2), the intensity profiles of the EPOV beam ( 0 < e < 1 ) and the CPOV beam ( e = 1 ) under different propagation distances z are shown in Figure 2, which reveals that both beams have self-focusing characteristics during propagation. The field evolutions of the EPOV beam in the x - z plane and the y - z plane present similar trends and can be divided into two stages, i.e., a non-diffraction stage and a self-focusing stage. In the first stage, the EPOV beam presents an inherent anti-diffraction property as the Fourier pair of the Bessel–Gaussian beam. But the single-ring structure of the transverse field as shown in Figure 2i can only maintain within a limited propagation distance. Meanwhile, in the second stage, the transverse field changes to a multi-ring structure with more energy concentrated in the main lobe, as shown in Figure 2j–l. After the beam spot shrinks and the self-focusing intensity reaches its peak, the beam size and energy gradually become divergent if the propagation distance further increases. Figure 2 also demonstrates that the variation of elliptical scaling factor e has a significant effect on the self-focusing behavior of the beam field. When e increases, the self-focusing position locates farther from the source and the self-focusing region lasts longer. In this way, the propagation performance of the EPOV beam can be regulated.
The longitudinal intensity profiles of the EPOV beam in the x - z plane and the y - z plane under different ring radii r 0 are shown in Figure 3. Since r 0 determines the initial beam size at the source plane, the ordinates in Figure 3 change accordingly to obtain the consistent scaling. The variation of r 0 affects the beam self-focusing behavior via the ring radius to width ratio r 0 / ω 0 . As an important field parameter, the ring radius to width ratio determines the proportion of the central dark area. With the increment of the ratio, the self-focusing effect occurs at a farther position and covers a larger region. So the selection of r 0 / ω 0 can help the EPOV beam adapt to different transmission distances.
When the EPOV beam propagates in an oceanic channel, the beam field will be disturbed by oceanic turbulence. According to Rytov’s approximation theory, the disturbance can be regarded as the complex phase perturbation to the field. So the mutual coherence function Γ ρ , φ , φ , z of the EPOV beam is written as [19]
Γ ρ , φ , φ , z = U ρ , φ , z U * ρ , φ , z exp i   ψ ρ , φ , z i   ψ ρ , φ , z ,
where the symbol denotes the ensemble average. The exponential term is the additional complex phase factor due to turbulence and is given by
exp i   ψ ρ , φ , z i   ψ ρ , φ , z = exp 0.5   D s p ρ , ρ , z .
Here D s p ( ρ , ρ , z ) denotes wave structure function and quantifies the turbulence effect on wave propagation. The bold variables ρ and ρ represent position vectors which contain both the radial and angular coordinates. The expression of D s p ( ρ , ρ , z ) is closely related to the turbulence power spectrum Φ n ( κ ) and has the form of
D s p ρ , ρ , z = 8 π 2 k 2 z 0 1 d ξ   0 Φ n ( κ ) 1 J 0 κ ξ ρ ρ κ d κ ,
where κ represents spatial frequency and ξ is the normalized propagation distance.
As for Φ n ( κ ) given by the OTOPS model, the corresponding expression is [9,20]
Φ n ( κ ) = A 2 Φ T ( κ ) + B 2 Φ S ( κ ) + 2 AB Φ TS ( κ ) ,
where A and B are derivatives of the seawater refractive index n o c with respect to average temperature T and salinity concentration S , respectively. According to the empirical equation of n o c , which is obtained from polynomial fitting of the measurement data and written as [21]
n o c = υ 0 + υ 1 + υ 2 T + υ 3 T 2 S + υ 4 T 2 + υ 5 + υ 6 S + υ 7 T λ 1 + υ 8 λ 2 + υ 9 λ 3 ,
the variables A and B can be calculated by
A = n o c / T = υ 2 S + 2 υ 3   T S + 2 υ 4 T + υ 7 λ 1 ,
B = n o c / S = υ 1 + υ 2   T + υ 3 T 2 + υ 6 λ 1 ,
where the corresponding coefficients are υ 0 = 1.31405 , υ 1 = 1.799 × 10 4 , υ 2 = 1.05 × 10 6 , υ 3 = 1.6 × 10 8 , υ 4 = 2.02 × 10 6 , υ 5 = 15.868 , υ 6 = 1.155 × 10 2 , υ 7 = 0.00423 , υ 8 = 4382 and υ 9 = 1.1455 × 10 6 . The temperature spectrum Φ T ( κ ) , salinity spectrum Φ S ( κ ) and their co-spectrum Φ T S ( κ ) in Φ n ( κ ) have similar forms of
Φ j κ = β 0 4 π ε 1 / 3 κ 11 / 3 χ j 1 + 21.61 κ η 0.61 c j 0.02 18.18 κ η 0.55 c j 0.04 e x p 174.90 κ η 2 c j 0.96 ,
where j { T , S , T S } , β 0 is the Obuknov–Corrsin constant with a value of 0.72, η denotes the Kolmogorov microscale factor and ε denotes the oceanic kinetic energy dissipation rate. χ T , χ S and χ T S are the dissipation rates of temperature, salinity and their co-spectrum, respectively, with mutual relationships given by χ S = d r χ T / H 2 and χ T S = 0.5   ( 1 + d r ) χ T / H . H is the temperature–salinity gradient ratio, and d r is the temperature–salinity eddy diffusivity ratio expressed as
d r ϑ + ϑ 0.5 ϑ 1 0.5 ,         ϑ 1 1.85 ϑ 0.85 ,            0.5 ϑ 1   0.15 ϑ ,                     ϑ < 0.5 .
The density ratio ϑ in the piecewise function is defined as ϑ = H α T β S 1 . α T and β S are the coefficients of thermal expansion and saline contraction, respectively, whose values in different temperature and salinity conditions are available via the TEOS-10 toolbox [22]. c j represents non-dimensional coefficients in Φ j ( κ ) with the forms of
c T = 0.07 2 4 / 3 β S P ra 1 ,   c S = 0.07 2 4 / 3 β S S ch 1 c TS = 0.07 2 4 / 3 β S ( P ra + S ch ) / 2 P ra S ch ,
where P ra is the Prandtl number and S ch is the Schmidt number.
Then by substituting Equations (6) and (10) into Equation (5) and conducting the integral calculations after some lengthy derivations, the analytic expression of the wave structure function is obtained as [20]
D s p ρ , ρ , z = 1.4573 k 2 z β 0 ε 1 / 3 A 2 χ T + B 2 χ S + 2 A B χ T S ρ ρ 2 .
Since oceanic turbulence induces phase perturbation to the EPOV beam during propagation, the spiral wavefront becomes distorted. Some energy of the transmitted mode transfers to other modes with adjacent topological charges. As a result, the initial OAM eigenstate cannot be kept and crosstalk happens. The beam field at the receiver is in fact the superposition of different OAM states. To obtain the received mode distributions, the mutual coherence function of the field is decomposed by a series of spiral harmonics as follows [23]:
Γ ρ , φ , φ , z = 1 2 π l = σ l ρ , z 2 exp i l φ φ ,
where σ l ρ , z 2 is the radial energy density corresponding to each harmonic component with topological charge l . By substituting Equations (2)–(4) and (13) into Equation (14), σ l ρ , z 2 can be calculated by
σ l ρ , z 2 = 1 2 π 0 2 π 0 2 π Γ ρ , φ , φ , z exp i l φ φ d φ d φ = 1 2 π 0 2 π 0 2 π k 2 U 0 2 4 m m z 2 exp i l 0 l φ φ × exp a 2 b 2 4 m exp a 2 b 2 4 m J l 0 a b 2 m J l 0 a b 2 m × exp 1.4573 k 2 z β 0 ε 1 / 3 A 2 χ T + B 2 χ S + 2 A B χ T S ρ 2 1 cos φ φ d φ   d φ .
Then, according to the following integral formula [24]
0 2 π exp i l φ + q cos φ φ   d φ = 2 π exp i l φ I l q ,
the simplified form of Equation (15) is written as
σ l ρ , z 2 = π k 2 U 0 2 2 m m z 2 exp a 2 b 2 4 m + a 2 b 2 4 m J l 0 a b 2 m J l 0 a b 2 m × exp 1.4573 k 2 z β 0 ε 1 / 3 A 2 χ T + B 2 χ S + 2 A B χ T S ρ 2 × I l l 0 1.4573 k 2 z β 0 ε 1 / 3 A 2 χ T + B 2 χ S + 2 A B χ T S ρ 2 .
If considering the finite receiving aperture with radius R , the normalized intensity of each harmonic is given by
P l = 0 R σ l ρ , z 2 ρ d   ρ l = 0 R σ l ρ , z 2 ρ d   ρ .
Given that the received topological charge l is the same as the transmitted topological charge l 0 , P l represents the signal detection probability P s i . Otherwise, P l represents the crosstalk probability. By defining E T X as the transmitted power of the EPOV beam, the terms E T X P s i and E T X ( 1 P s i ) denote the received power of signal and crosstalk, respectively. The total system noise contains both crosstalk noise and background noise power E N , so the signal-to-noise ratio (SNR) of the OAM communication system has the following form of
S N R = E T X P s i E T X ( 1 P s i ) + E N = P s i 1 P s i + E N / E T X .
When multiple OAM modes are transmitted for multiplexing, the average capacity indicates the maximum bits of symbol that can be reliably conveyed for binary encoding. The degradation of the SNR will cause a rise in the bit error rate and further reduce the average capacity. As for a multi-level symmetric channel with OAM mode topological charges in the range l max , , l max , the bit error rate under a conventional on–off keying modulation format is determined by e r f c S N R / 2 / 2 . So based on the expression of the bit error rate, the average capacity C can be evaluated as follows [5,25]:
C = log 2 N + 1 1 2 e r f c S N R 2 log 2 1 1 2 e r f c S N R 2 + 1 2 e r f c S N R 2 log 2 1 2   ( N 1 ) e r f c S N R 2 ,
where N = 2   l max + 1 denotes the number of multiplexed modes and e r f c ( ) denotes the complementary error function.

3. Numerical Simulations and Discussions

In this section, numerical simulations are conducted to analyze the mode detection probability and average capacity of an EPOV beam in oceanic turbulence. The impacts of beam structure and turbulent conditions on propagation performance are investigated, based on which the self-focusing effect of the EPOV beam is discussed. The method of control variable is used in the following simulations. Except for the variable in each figure below, other parameters of beam and turbulence are set as typical values, which are e = 0.5 , l 0 = 1 , ω 0 = 0.002   m , r 0 = 0.008   m , λ = 532   nm , N = 5 , R = 0.01   m , E N / E T X = 0.01 , T = 15   ° C , S = 20   p p t , H = 10   ° C / p p t , χ T = 10 6   K 2 / s and ε = 10 5   m 2 / s 3 [15,18,20]. Since the intensity scattering and absorption in the ocean restrict the range of beam propagation, the typical value of propagation distance is set as z = 100   m in the simulations according to some available link lengths in oceanic communication experiments [26,27,28].
Figure 4a illustrates the variation of signal detection probability P s i with propagation distance z for an EPOV beam. The variation is related to the evolution of longitudinal intensity profile as shown in Figure 2. In the non-diffraction stage, P s i decreases with the increment of z . The influence of topological charge l 0 on P s i can be neglected due to the independence of single-ring field distribution on l 0 . In the self-focusing stage, the decline trends have different levels of retardation. The beam spot starts to shrink and the intensity distribution becomes more concentrated due to self-focusing, which mitigates the adverse effect of oceanic turbulence by reducing the effective interaction area. Furthermore, the increment of l 0 makes a difference to mode detection and causes the decline of P s i . This is because the profile of an EPOV beam gradually changes from single ring to multi rings like other ordinary vortex beams. The beam size spreads with the increment of l 0 , which weakens the self-focusing effect to resist turbulence perturbation.
Figure 4b gives the average capacity C of an EPOV beam under different propagation distances z . As for comparison, the average capacity of a Bessel–Gaussian (BG) beam is also calculated with the same initial spot size and wavelength as the EPOV beam. The multiplexed OAM mode numbers of the EPOV beam and the BG beam are both set as 5 with topological charges in the range 2 , 1 , 0 , 1 , 2 for multi-level symmetric channels. The results show that when the propagation distance increases, the average capacities of both beams become smaller due to the degraded signal-to-noise ratios. But the EPOV beam has a higher average capacity than the BG beam after certain distances of propagation. In other words, the occurrence of self-focusing effect helps to improve the OAM mode propagation performance in oceanic turbulence. To adapt to communication links with different lengths, the regulation of self-focusing behavior should be considered in application.
The influences of elliptical scaling factor e on the signal detection probability P s i and average capacity C of an EPOV beam ( 0 < e < 1 ) are demonstrated in Figure 5. As for short-range transmission, a smaller value of e can make the EPOV beam have higher P s i and C because of the rapid self-focusing process and nearer focusing position from the transmitter as shown in Figure 2. When e increases, the focusing region gradually shifts farther and lasts longer, which is beneficial to resisting turbulence perturbation in long-range transmission. So a larger e is preferred to improve P s i and C for a farther receiver. Since e = 1 corresponds to the special case of a conventional CPOV beam, the figure also gives a comparison between the EPOV beam and a CPOV beam. From the view of signal detection probability and average capacity, the EPOV beam is superior in underwater short-range communication than the CPOV beam. So the introduction of an elliptical scaling factor not only makes the EPOV beam field diverse but also improves its adaptability to different transmission distances.
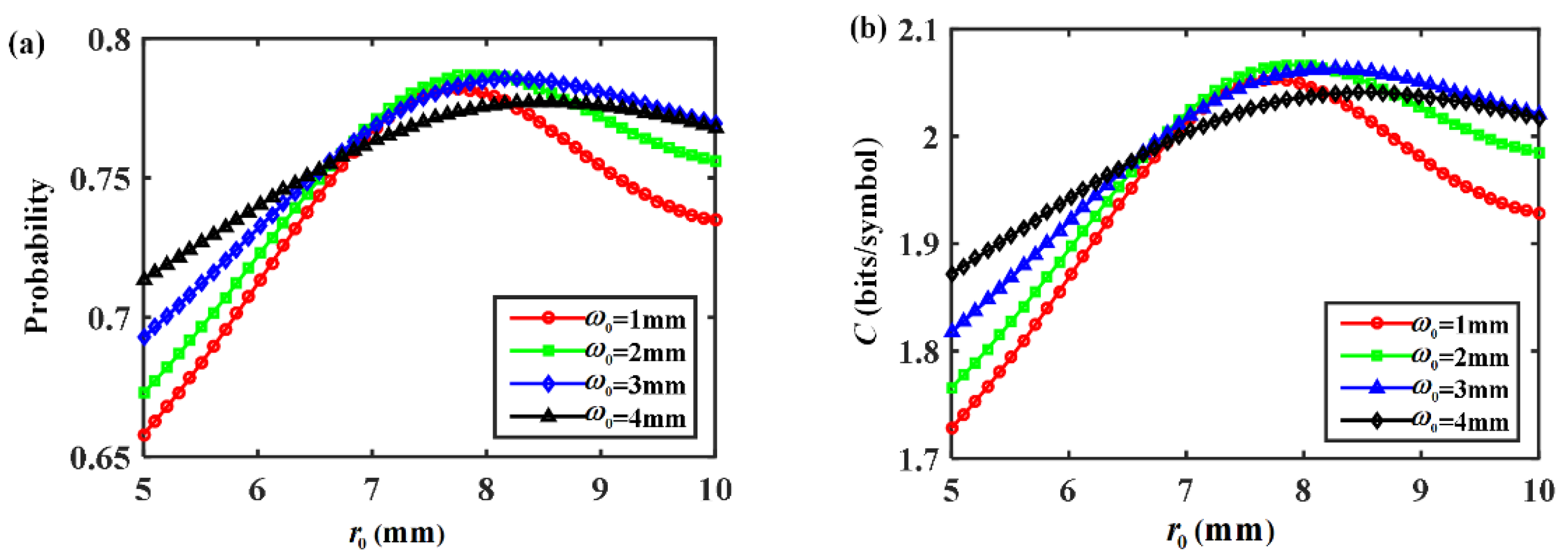
As important structure parameters of an EPOV beam field, the initial half-ring width ω 0 and ring radius r 0 also affect the signal detection probability P s i and average capacity C , as shown in Figure 6. As for a specific ω 0 , there always exists an optimal r 0 to maximize P s i and C , although the optimal value may vary with ω 0 . In this case, the underwater propagation distance is set as 100   m . If r 0 is small, the self-focusing region is relatively limited according to Figure 3, which weakens the ability to mitigate the turbulence effect. On the other hand, if r 0 is large, the beam has a large initial size and suffers more turbulence perturbation. So a balance should be made between the enhancement of the self-focusing effect and reduction of the initial beam size. The selection of ω 0 and r 0 with appropriate ring radius to width ratio can help to get better performances at the receiver.
Figure 7 demonstrates the signal detection probability P s i and average capacity C of an EPOV beam under different initial ring radius to width ratios μ . A smaller μ is suitable for a receiver at a shorter propagation distance z while a larger μ is suitable for longer distances. The reason is related to the evolution characteristics of the beam field in Figure 3. When μ is small, the self-focusing phenomenon occurs earlier. Most of the beam energy concentrates on a relatively small region and suffers less turbulence perturbation, which is beneficial for short-range transmission. When μ is large, both the non-diffraction stage and the self-focusing stage remain longer. The self-focusing region moves farther and covers more, which enhances the anti-interference ability of the EPOV beam for long-range transmission. So the change of μ is also an effective method of beam field regulation in different scenarios.
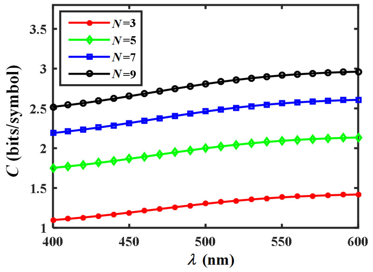
The impacts of wavelength λ and mode number N on the average capacity C of an EPOV beam are analyzed in Figure 8. The beam wavelengths locate in the oceanic low-loss band to reduce the absorption of seawater [4]. When λ increases, a higher C is obtained. The result is related to the wave structure function in oceanic turbulence. The increment of λ causes the reduction of wave structure function, which means that the beam suffers less turbulence perturbation and has smaller wavefront distortion. So OAM modal crosstalk decreases and the average capacity is improved. If λ is fixed, the average capacity increases with the mode number N of the multi-level symmetric channel multiplexed for coding. But in terms of practical communication systems, the increased system complexity brought by a larger N should also be considered.
To evaluate the propagation performance of an EPOV beam in different oceanic turbulent conditions, Figure 9 illustrates the variations of average capacity C with oceanic temperature T and salinity concentration S . With the rise of T and S , the curves of C all present a downward tendency due to the degraded SNR. When T increases, the thermal motion of seawater molecules is more vigorous. So the random fluctuations in the seawater refractive index become stronger along the beam propagation path, which induces more field distortion and crosstalk noise. On the other hand, when S increases, the refraction effect due to seawater density fluctuation is weaker, but the scattering effect due to seawater concentration fluctuation is stronger and dominant [29]. The scattering effect brings the attenuation of signal mode reaching to the receiver. Since the ranges of T and S in the figure cover all the natural waters, the curves reveal that temperature variation affects the beam propagation more than salinity variation. So cold-water regions of oceans are preferred to achieve better communication performance.
The influences of the temperature–salinity gradient ratio H on the average capacity C of an EPOV beam are shown in Figure 10. The curves have similar variation trends under different combinations of oceanic temperature and salinity. With the increment of H , C decreases slowly and maintains a relatively stable value at first. When H gradually approaches to zero, the variation becomes sharp, which starts to rise instead until the peak and later a rapid decline appears. By constructing the relationships among the dissipation rates of temperature, salinity and their co-spectrum, the value of H actually affects the wave structure function of the beam in oceanic turbulence. A larger wave structure function implies a stronger turbulence effect on the beam field. Correspondingly, the SNR of mode propagation and average capacity are smaller. When H increases, the wave structure function first increases then decreases. After reaching to the valley value, a rapid increment continues [20]. As a result, the variation of average capacity C has an opposite trend to that of the wave structure function.
The relationships between the average capacity C of an EPOV beam and other important oceanic turbulence parameters such as the kinetic energy dissipation rate ε and temperature dissipation rate χ T are shown in Figure 11. When ε decreases or χ T increases, a smaller C is obtained. Since the turbulence power spectrum is negatively correlated with ε but positively correlated with χ T , the decrement of ε or the increment of χ T both enhance the turbulence strength and degrade the beam propagation performance. The variation magnitude of C with χ T is much larger than that with ε , indicating a more significant influence of χ T than ε . Considering that χ T is generally smaller in deeper seawater [4], it is advantageous to construct communication links at relatively deeper locations in the ocean.
In summary, by analyzing the average capacity of an EPOV beam in turbulent ocean with variable temperature and salinity, this investigation reveals that both beam structure and turbulent conditions affect propagation performance. Compared with a CPOV beam [30], the elliptical scaling factor of the EPOV beam brings more diverse transverse patterns. Although the CPOV beam and the EPOV beam both have self-focusing properties, the elliptical scaling factor can regulate the self-focusing behavior of the EPOV beam to adapt to different transmission distances. Apart from turbulence perturbation, the absorption and scattering effects also exist in practical oceanic environment [26]. Future research may focus on the impacts of absorption and scattering on beam propagation, and search for a theoretical model to consider multiple factors synthetically. The modulation strategy can also extend from the on–off keying modulation in this paper to other modulation formats such as quadrature amplitude modulation for various application requirements [30].

4. Conclusions

We have investigated the OAM mode propagation characteristics of an EPOV beam in a turbulent oceanic channel. The OTOPS model was used to characterize oceanic turbulence in wide temperature and salinity ranges, based on which the theoretical expressions of signal detection probability and average capacity were derived by mode decomposition. Numerical simulations demonstrated that lower oceanic temperature and salinity lead to higher average capacity, and the temperature effect contributes more. Compared with a Bessel–Gaussian beam, the self-focusing property makes the EPOV beam better resistant to turbulence perturbation and elevates propagation performance. As for the EPOV beam, the introduction of an elliptical scaling factor not only enriches the transverse field pattern but also regulates the self-focusing behavior. When the propagation distance is shorter, a smaller elliptical scaling factor and ring radius to width ratio with rapid self-focusing are preferred, while a longer distance corresponds to the contrary case. Furthermore, the increment of wavelength also helps to improve the average capacity. These findings are beneficial to beam optimization for underwater communication.

Author Contributions

Conceptualization, X.P. and L.Y.; methodology, X.P. and L.Y.; software, X.P.; formal analysis, X.P.; writing—original draft preparation, X.P.; writing—review and editing, L.Y., Y.Z. and L.H.; funding acquisition, L.Y. and Y.Z. All authors have read and agreed to the published version of the manuscript.

Funding

This research was funded in part by the National Natural Science Foundation of China under Grant 11904136 and in part by the Natural Science Foundation of Jiangsu Province under Grant BK20231039.

Data Availability Statement

The original contributions presented in this study are included in the article. Further inquiries can be directed to the corresponding author.

Conflicts of Interest

The authors declare no conflicts of interest.

References

  1. Willner, A.; Zhao, Z.; Ren, Y.; Li, L.; Xie, G.; Song, H.; Liu, C.; Zhang, R.; Bao, C.; Pang, K. Underwater optical communications using orbital angular momentum-based spatial division multiplexing. Opt. Commun. 2018, 408, 21–25. [Google Scholar] [CrossRef]
  2. Avramov-Zamurovic, S.; Watnik, A.; Lindle, J.; Judd, K. Designing laser beams carrying OAM for a high-performance underwater communication system. J. Opt. Soc. Am. A 2020, 37, 876–887. [Google Scholar] [CrossRef] [PubMed]
  3. Zhang, J.; Fan, F.; Zeng, J.; Wang, J. Prototype system for underwater wireless optical communications employing orbital angular momentum multiplexing. Opt. Exp. 2021, 29, 35570–35578. [Google Scholar] [CrossRef]
  4. Thorpe, S. The Turbulence Ocean; Cambridge University Press: Cambridge, UK, 2005. [Google Scholar]
  5. Chen, H.; Zhang, P.; He, S.; Dai, H.; Fan, Y.; Wang, Y.; Tong, S. Average capacity of an underwater wireless communication link with the quasi-Airy hypergeometric-Gaussian vortex beam based on a modified channel model. Opt. Exp. 2023, 31, 24067–24084. [Google Scholar] [CrossRef]
  6. Wu, P.; Li, C.; Lei, S.; Tan, Z.; Wang, J. Wave structure function, spatial coherence radius, and Fried parameter of optical wave propagating through ocean turbulence with a slant path. Appl. Opt. 2023, 62, 8070–8081. [Google Scholar] [CrossRef] [PubMed]
  7. Nikishov, V.; Nikishov, V. Spectrum of turbulent fluctuations of the sea-water refraction index. Int. J. Fluid Mech. Res. 2000, 27, 82–98. [Google Scholar] [CrossRef]
  8. Elamassie, M.; Uysal, M.; Baykal, Y.; Abdallah, M.; Qaraqe, K. Effect of eddy diffusivity ratio on underwater optical scintillation index. J. Opt. Soc. Am. A 2017, 34, 1969–1973. [Google Scholar] [CrossRef] [PubMed]
  9. Yao, J.; Elamassie, M.; Korotkova, O. Spatial power spectrum of natural water turbulence with any average temperature, salinity concentration, and light wavelength. J. Opt. Soc. Am. A 2020, 37, 1614–1621. [Google Scholar] [CrossRef]
  10. Doster, T.; Watnik, A. Laguerre-Gauss and Bessel-Gauss beams propagation through turbulence: Analysis of channel efficiency. Appl. Opt. 2016, 55, 10239–10246. [Google Scholar] [CrossRef]
  11. Wang, L.; Ji, X.; Deng, Y.; Li, X.; Wang, T.; Fan, X.; Yu, H. Self-focusing effect on the characteristics of Airy beams. Opt. Commun. 2019, 441, 190–194. [Google Scholar] [CrossRef]
  12. Yang, D.; Yu, Z.; Wang, W.; Hu, Z.; Zhu, Y. Underwater entanglement propagation of auto-focusing Airy beams. Opt. Exp. 2024, 32, 4887–4901. [Google Scholar] [CrossRef] [PubMed]
  13. Ostrovsky, A.; Rickenstorff-Parrao, C.; Arrizón, V. Generation of the “perfect” optical vortex using a liquid-crystal spatial light modulator. Opt. Lett. 2013, 38, 534–536. [Google Scholar] [CrossRef]
  14. Zhu, F.; Huang, S.; Shao, W.; Zhang, J.; Chen, M.; Zhang, W.; Zeng, J. Free-space optical communication link using perfect vortex beams carrying orbital angular momentum (OAM). Opt. Commun. 2017, 396, 50–57. [Google Scholar] [CrossRef]
  15. Wang, S.; Wang, J.; Cheng, M.; Zhang, J.; Yang, X.; Xu, J.; Wang, L. Three transmission properties of the perfect vortex beam. Opt. Exp. 2024, 32, 34141–34152. [Google Scholar] [CrossRef]
  16. Xie, W.; Zhang, P.; Wang, H.; Chu, X. Propagation of a vortex elliptical Airy beam. Opt. Commun. 2018, 427, 288–293. [Google Scholar] [CrossRef]
  17. Kotlyar, V.; Kovalev, A.; Porfirev, A. Elliptic perfect optical vortices. Optik 2018, 156, 49–59. [Google Scholar] [CrossRef]
  18. Das, B.; Granados, C.; Ciappaina, M. Generation of elliptical perfect optical vortex beams and their propagation in free-space. Appl. Opt. 2024, 63, 2737–2745. [Google Scholar] [CrossRef]
  19. Andrews, L.; Phillips, R. Laser Beam Propagation Through Random Media, 2nd ed.; SPIE: Washington, DC, USA, 2005. [Google Scholar]
  20. Ata, Y.; Korotkova, O. Wave and phase structure functions of plane and spherical waves in particle-free natural turbulent waters. Opt. Commun. 2021, 497, 127169. [Google Scholar] [CrossRef]
  21. Quan, X.; Fry, E. Empirical equation for the index of refraction of seawater. Appl. Opt. 1995, 34, 3477–3480. [Google Scholar] [CrossRef]
  22. Mcdougall, T.; Feistel, R.; Millero, F.; Jackett, D.; Wright, D.; King, B.; Marion, G.; Chen, C.; Spitzer, P.; Seitz, S. The International Thermodynamic Equation of Seawater 2010 (TEOS-10): Calculation and Use of Thermodynamic Properties; IOC UNESCO: Paris, France, 2010. [Google Scholar]
  23. Paterson, C. Atmospheric turbulence and orbital angular momentum of single photons for optical communication. Phys. Rev. Lett. 2005, 94, 153901. [Google Scholar] [CrossRef]
  24. Jeffery, A.; Zwillinger, D. Table of Integrals, Serises, and Products; Academic: Cambridge, MA, USA, 2007. [Google Scholar]
  25. Djordjevic, I. Advanced Optical and Wireless Communications Systems; Springer: Cham, Switzerland, 2018. [Google Scholar]
  26. Zeng, Z.; Fu, S.; Zhang, H.; Dong, Y.; Cheng, J. A survey of underwater optical wireless communications. IEEE Commun. Surv. Tutor. 2017, 19, 204–238. [Google Scholar] [CrossRef]
  27. Sawa, T.; Nishimura, N.; Tojo, K.; Ito, S. Practical performance and prospect of underwater optical wireless communication. IEICE Trans. Fundam. Electron. Commun. Comput. Sci. 2019, E102.A, 156–167. [Google Scholar] [CrossRef]
  28. Zhang, J.; Wang, S.; Ma, Z.; Gao, G.; Guo, Y.; Zhang, F.; Huang, S.; Zhang, J. Long-term and real-time high-speed underwater wireless optical communications in deep sea. IEEE Commun. Mag. 2024, 62, 96–101. [Google Scholar] [CrossRef]
  29. Zhang, X.; Hu, L.; He, M. Scattering by pure seawater: Effect of salinity. Opt. Exp. 2009, 17, 5698–5710. [Google Scholar] [CrossRef]
  30. Yan, Q.; Zhao, G.; Zhu, Y.; Zhang, Y. Average capacity and ABER for perfect optical vortex system in weakly to strongly turbulent oceans. Chin. J. Phys. 2024, 87, 364–378. [Google Scholar] [CrossRef]
Figure 1. The transverse intensity distribution of (ac) an EPOV beam and (d) a CPOV beam at the source plane. The elliptical scaling factor e in (ad) is set as 0.3 , 0.5 , 0.7 and 1 , respectively, while other parameters are l 0 = 1 , ω 0 = 0.002   m , r 0 = 0.008   m and λ = 532   n m .
Figure 1. The transverse intensity distribution of (ac) an EPOV beam and (d) a CPOV beam at the source plane. The elliptical scaling factor e in (ad) is set as 0.3 , 0.5 , 0.7 and 1 , respectively, while other parameters are l 0 = 1 , ω 0 = 0.002   m , r 0 = 0.008   m and λ = 532   n m .
Photonics 12 00912 g001
Figure 2. The longitudinal intensity profiles of an EPOV beam ( 0 < e < 1 ) and a CPOV beam ( e = 1 ) are given in (ad) the x - z plane and (eh) the y - z plane, while (il) give several representative transverse intensity profiles of the EPOV beam with e = 0.5 , for example. The other parameters of the EPOV beam and the CPOV beam are l 0 = 1 , ω 0 = 0.002   m , r 0 = 0.008   m and λ = 532   n m .
Figure 2. The longitudinal intensity profiles of an EPOV beam ( 0 < e < 1 ) and a CPOV beam ( e = 1 ) are given in (ad) the x - z plane and (eh) the y - z plane, while (il) give several representative transverse intensity profiles of the EPOV beam with e = 0.5 , for example. The other parameters of the EPOV beam and the CPOV beam are l 0 = 1 , ω 0 = 0.002   m , r 0 = 0.008   m and λ = 532   n m .
Photonics 12 00912 g002
Figure 3. The longitudinal intensity profiles of an EPOV beam are given in (ad) the x - z plane and (eh) the y - z plane, while (il) give several representative transverse intensity profiles of the EPOV beam with r 0 = 0.008   m , for example. The other parameters of the EPOV beam are e = 0.5 , l 0 = 1 , ω 0 = 0.002   m and λ = 532   n m .
Figure 3. The longitudinal intensity profiles of an EPOV beam are given in (ad) the x - z plane and (eh) the y - z plane, while (il) give several representative transverse intensity profiles of the EPOV beam with r 0 = 0.008   m , for example. The other parameters of the EPOV beam are e = 0.5 , l 0 = 1 , ω 0 = 0.002   m and λ = 532   n m .
Photonics 12 00912 g003
Figure 4. The (a) signal detection probability and (b) average capacity of an EPOV beam under different propagation distances z . The other parameters of the EPOV beam are e = 0.5 , ω 0 = 0.002   m , r 0 = 0.008   m , λ = 532   n m and N = 5 .
Figure 4. The (a) signal detection probability and (b) average capacity of an EPOV beam under different propagation distances z . The other parameters of the EPOV beam are e = 0.5 , ω 0 = 0.002   m , r 0 = 0.008   m , λ = 532   n m and N = 5 .
Photonics 12 00912 g004
Figure 5. Effects of elliptical scaling factor e on the (a) signal detection probability and (b) average capacity of an EPOV beam ( 0 < e < 1 ), while the special case of e = 1 corresponds to a CPOV beam for comparison. The other parameters of the EPOV beam and the CPOV beam are l 0 = 1 , ω 0 = 0.002   m , r 0 = 0.008   m , λ = 532   n m and N = 5 .
Figure 5. Effects of elliptical scaling factor e on the (a) signal detection probability and (b) average capacity of an EPOV beam ( 0 < e < 1 ), while the special case of e = 1 corresponds to a CPOV beam for comparison. The other parameters of the EPOV beam and the CPOV beam are l 0 = 1 , ω 0 = 0.002   m , r 0 = 0.008   m , λ = 532   n m and N = 5 .
Photonics 12 00912 g005
Figure 6. Effects of the half-ring width ω 0 and ring radius r 0 on the (a) signal detection probability and (b) average capacity of an EPOV beam. The other parameters of the EPOV beam are e = 0.5 , l 0 = 1 , λ = 532   n m and N = 5 .
Figure 6. Effects of the half-ring width ω 0 and ring radius r 0 on the (a) signal detection probability and (b) average capacity of an EPOV beam. The other parameters of the EPOV beam are e = 0.5 , l 0 = 1 , λ = 532   n m and N = 5 .
Photonics 12 00912 g006
Figure 7. Effects of the ring radius to width ratio μ on the (a) signal detection probability and (b) average capacity of an EPOV beam. The other parameters of the EPOV beam are e = 0.5 , l 0 = 1 , ω 0 = 0.002   m , λ = 532   n m and N = 5 .
Figure 7. Effects of the ring radius to width ratio μ on the (a) signal detection probability and (b) average capacity of an EPOV beam. The other parameters of the EPOV beam are e = 0.5 , l 0 = 1 , ω 0 = 0.002   m , λ = 532   n m and N = 5 .
Photonics 12 00912 g007
Figure 8. Effects of wavelength λ and mode number N on the average capacity of an EPOV beam. The other parameters of the EPOV beam are e = 0.5 , ω 0 = 0.002   m and r 0 = 0.008   m .
Figure 8. Effects of wavelength λ and mode number N on the average capacity of an EPOV beam. The other parameters of the EPOV beam are e = 0.5 , ω 0 = 0.002   m and r 0 = 0.008   m .
Photonics 12 00912 g008
Figure 9. The average capacity of an EPOV beam under different oceanic temperatures T and salinity concentrations S .
Figure 9. The average capacity of an EPOV beam under different oceanic temperatures T and salinity concentrations S .
Photonics 12 00912 g009
Figure 10. The average capacity of an EPOV beam under different oceanic temperature–salinity gradient ratios H .
Figure 10. The average capacity of an EPOV beam under different oceanic temperature–salinity gradient ratios H .
Photonics 12 00912 g010
Figure 11. The average capacity of an EPOV beam under different oceanic temperature dissipation rates χ T and kinetic energy dissipation rates ε .
Figure 11. The average capacity of an EPOV beam under different oceanic temperature dissipation rates χ T and kinetic energy dissipation rates ε .
Photonics 12 00912 g011
Disclaimer/Publisher’s Note: The statements, opinions and data contained in all publications are solely those of the individual author(s) and contributor(s) and not of MDPI and/or the editor(s). MDPI and/or the editor(s) disclaim responsibility for any injury to people or property resulting from any ideas, methods, instructions or products referred to in the content.

Share and Cite

MDPI and ACS Style

Peng, X.; Yu, L.; Zhao, Y.; Hu, L. Mode Propagation of Elliptical Perfect Optical Vortex in Turbulent Oceanic Channel. Photonics 2025, 12, 912. https://doi.org/10.3390/photonics12090912

AMA Style

Peng X, Yu L, Zhao Y, Hu L. Mode Propagation of Elliptical Perfect Optical Vortex in Turbulent Oceanic Channel. Photonics. 2025; 12(9):912. https://doi.org/10.3390/photonics12090912

Chicago/Turabian Style

Peng, Xiaowan, Lin Yu, Yong Zhao, and Lifa Hu. 2025. "Mode Propagation of Elliptical Perfect Optical Vortex in Turbulent Oceanic Channel" Photonics 12, no. 9: 912. https://doi.org/10.3390/photonics12090912

APA Style

Peng, X., Yu, L., Zhao, Y., & Hu, L. (2025). Mode Propagation of Elliptical Perfect Optical Vortex in Turbulent Oceanic Channel. Photonics, 12(9), 912. https://doi.org/10.3390/photonics12090912

Note that from the first issue of 2016, this journal uses article numbers instead of page numbers. See further details here.

Article Metrics

Back to TopTop