Measurement of Enhanced Inversion Factor of InGaAs-Based Well-Island Composite Structure by Photoluminescence Spectra from Dual Facets
Abstract
1. Introduction
2. Experimental Methods
2.1. The Preparation of InxGa1−xAs-Based WIC Nanostructure
2.2. Experimental Principle and PL Spectral Measurements
2.3. Experimental Determination of Carrier Distribution
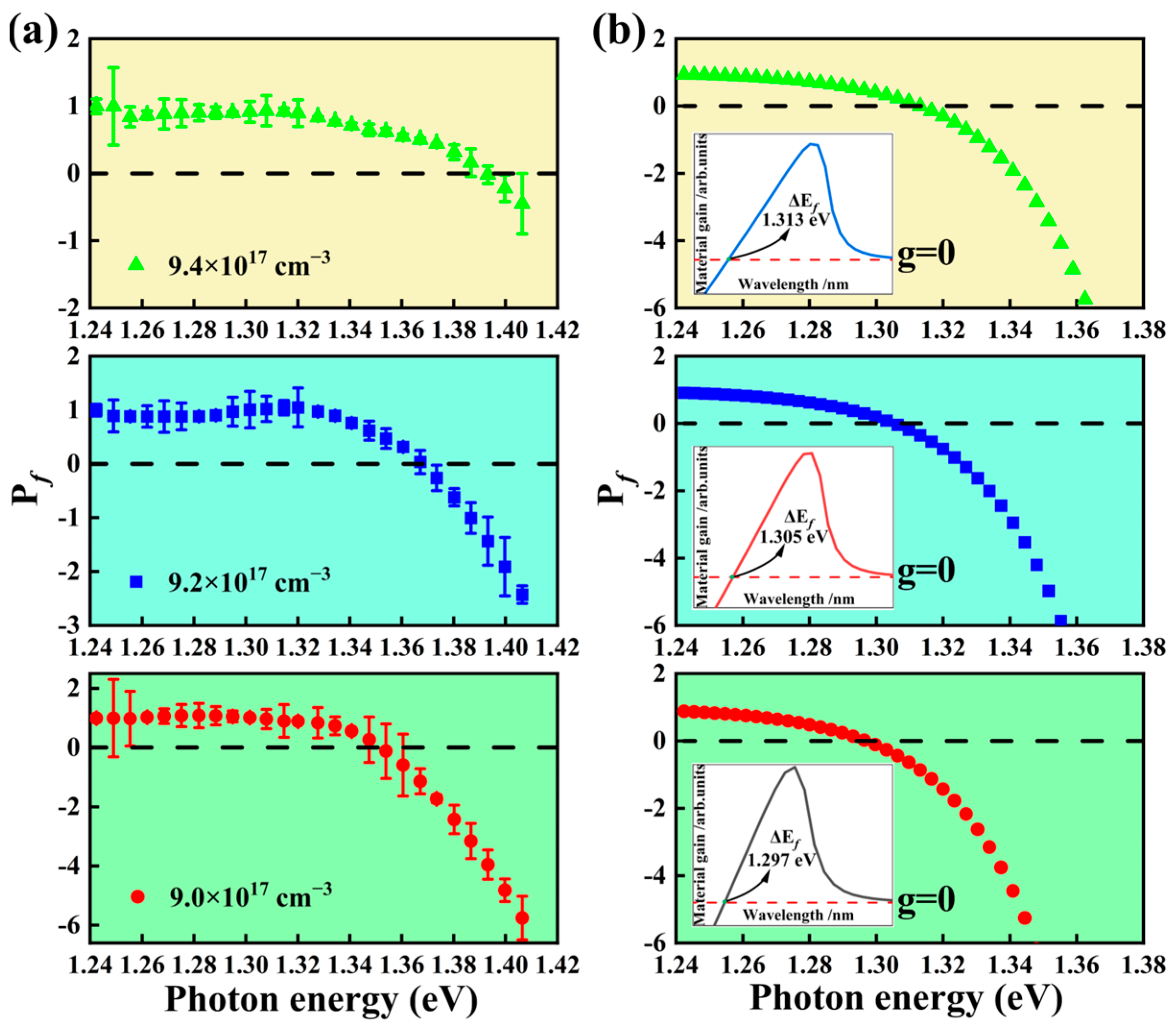
3. Results and Discussion
4. Conclusions
Author Contributions
Funding
Institutional Review Board Statement
Informed Consent Statement
Data Availability Statement
Acknowledgments
Conflicts of Interest
Abbreviations
| WIC | well-island composite |
| TEIn | Trimethylindium |
| TMGa | trimethylgallium |
| SOAs | semiconductor optical amplifiers |
| PL | photoluminescence |
| IRC | Indium-rich cluster |
| QW | quantum well |
| MOCVD | metal-organic chemical vapor deposition |
References
- Rodrigues, L.N.; Scolfaro, D.; da Conceição, L.; Malachias, A.; Couto, O.D.D., Jr.; Iikawa, F.; Deneke, C. Rolled-Up Quantum Wells Composed of Nanolayered InGaAs/GaAs Heterostructures as Optical Materials for Quantum Information Technology. ACS Appl. Nano Mater. 2021, 4, 3140–3147. [Google Scholar] [CrossRef]
- Liu, H.; Wang, J.; Guo, D.; Shen, K.; Chen, B.; Wu, J. Design and fabrication of high performance InGaAs near infrared photodetector. Nanomaterials 2023, 13, 2895. [Google Scholar] [CrossRef] [PubMed]
- Zubov, F.; Maximov, M.; Kryzhanovskaya, N.; Moiseev, E.; Muretova, M.; Mozharov, A.; Kaluzhnyy, N.; Mintairov, S.; Kulagina, M.; Ledentsov, N.; et al. High speed data transmission using directly modulated microdisk lasers based on InGaAs/GaAs quantum well-dots. Opt. Lett. 2019, 44, 5442–5445. [Google Scholar] [CrossRef] [PubMed]
- Yu, H.; Wang, M.; Zhou, D.; Zhou, X.; Wang, P.; Liang, S.; Zhang, Y.; Pan, J.; Wang, W. A 1.6-μm widely tunable distributed Bragg reflector laser diode based on InGaAs/InGaAsP quantum-wells material. Opt. Commun. 2021, 497, 127201. [Google Scholar] [CrossRef]
- Kaur, P.; Buttar, A.S.; Raj, B. Analytical modeling and performance assessment of high performance split-gate dielectric modulated InGaAs GAA junctionless MOSFET biosensor. Micro Nanostruct. 2022, 171, 207395. [Google Scholar] [CrossRef]
- Zheng, M.; Yu, Q.; Li, X.; Tai, H.; Zhang, X.; Zhang, J.; Ning, Y.; Wu, J. Ultrabroadband and independent polarization of optical amplification with InGaAs-based indium-rich cluster quantum-confined structure. Appl. Phys. Lett. 2020, 116, 252106. [Google Scholar] [CrossRef]
- Yu, Q.; Zheng, M.; Tai, H.; Lu, W.; Shi, Y.; Yue, J.; Zhang, X.; Ning, Y.; Wu, J. Quantum Confined Indium-Rich Cluster Lasers with Polarized Dual-Wavelength Output. ACS Photonics 2019, 6, 1990–1995. [Google Scholar] [CrossRef]
- Schlenker, D.; Miyamoto, T.; Chen, Z.; Koyama, F.; Iga, K. Growth of highly strained GaInAs/GaAs quantum wells for 1.2 μm wavelength lasers. J. Cryst. Growth 2000, 209, 27–36. [Google Scholar] [CrossRef]
- Jasik, A.; Wnuk, A.; Wójcik-Jedlińska, A.; Jakieła, R.; Muszalski, J.; Strupiński, W.; Bugajski, M. The influence of the growth temperature and interruption time on the crystal quality of InGaAs/GaAs QW structures grown by MBE and MOCVD methods. J. Cryst. Growth 2008, 310, 2785–2792. [Google Scholar] [CrossRef]
- Yu, H.; Roberts, C.; Murray, R. Influence of indium segregation on the emission from InGaAs/GaAs quantum wells. Appl. Phys. Lett. 1995, 66, 2253. [Google Scholar] [CrossRef]
- Thomas, R.; Smowton, P.M.; Blood, P. Radiative recombination rate measurement by the optically pumped variable stripe length method. Opt. Express 2015, 23, 3308–3315. [Google Scholar] [CrossRef]
- Duffy, D.A.; Marko, I.P.; Fuchs, C.; Stolz, W.; Sweeney, S.J. The impact of band bending on the thermal behaviour of gain in type-II GaAs-based “W”-lasers. IEEE J. Sel. Top. Quantum Electron. 2024, 31, 1–10. [Google Scholar] [CrossRef]
- Thomson, J.D.; Smowton, P.M.; Blood, P.; Klem, J.F. Optical gain and spontaneous emission in GaAsSb–InGaAs Type-II “W” laser structures. IEEE J. Quantum Electron. 2007, 43, 607–613. [Google Scholar] [CrossRef]
- Egorov, S.V.; Petrov, A.G.; Baranov, A.N.; Zakhar’in, A.O.; Andrianov, A.V. On feasibility of population inversion between the quantum confinement levels in quantum wells under interband photoexcitation. J. Infrared Milli Terahz Waves 2021, 42, 986–1004. [Google Scholar] [CrossRef]
- Wenzel, H.; Kantner, M.; Radziunas, M.; Bandelow, U. Semiconductor Laser Linewidth Theory Revisited. Appl. Sci. 2021, 11, 6004. [Google Scholar] [CrossRef]
- Qiu, Y.-Q.; Lvr, Z.-R.; Wang, H.; Wang, H.-M.; Yang, X.-G.; Yang, T. Improved linewidth enhancement factor of 1.3-µm InAs/GaAs quantum dot lasers by direct Si doping. AIP Adv. 2021, 11, 055002. [Google Scholar] [CrossRef]
- Muraki, K.; Fukatsu, S.; Shiraki, Y.; Ito, R. Surface segregation of In atoms during molecular beam epitaxy and its influence on the energy levels in InGaAs/GaAs quantum wells. Appl. Phys. Lett. 1992, 61, 557–559. [Google Scholar] [CrossRef]
- Ruterana, P.; Singh, P.; Kret, S.; Cho, H.K.; Lee, H.J.; Suh, E.K.; Jurczak, G.; Maciejewski, G.; Dluzewski, P. Size and shape of In rich clusters and InGaN QWs at the nanometer scale. Phys. Status Solidi C 2005, 2, 2381–2384. [Google Scholar] [CrossRef]
- Kuznetsov, M.; Hakimi, F.; Sprague, R.; Mooradian, A. Design and characteristics of high-power (>0.5-W CW) diode-pumped vertical-external-cavity surface-emitting semiconductor lasers with circular TEM beams. IEEE J. Sel. Top. Quantum Electron. 1999, 5, 561–573. [Google Scholar] [CrossRef]
- Paul, S.; Roy, J.B.; Basu, P.K. Empirical expressions for the alloy composition and temperature dependence of the band gap and intrinsic carrier density in GaxIn1−xAs. J. Appl. Phys. 1991, 69, 827–829. [Google Scholar] [CrossRef]
- Ma, M.-L.; Wu, J.; Ning, Y.-Q.; Zhou, F.; Yang, M.; Zhang, X.; Zhang, J.; Shang, G.-Y. Measurement of gain characteristics of semiconductor lasers by amplified spontaneous emissions from dual facets. Opt. Express 2013, 21, 10335. [Google Scholar] [CrossRef]
- Kong, Y.; Ma, R.; Shen, B.; Yu, Q. Experimental Detection on Thickness Fluctuation of InxGa1-xAs-Based Indium-Rich Cluster Structure. IEEE Photonics J. 2022, 14, 1–4. [Google Scholar] [CrossRef]
- Lee, J.; Yeo, H.; Kim, Y.-H. Quasi-Fermi level splitting in nanoscale junctions from ab initio. Proc. Natl. Acad. Sci. USA 2020, 117, 10142–10148. [Google Scholar] [CrossRef] [PubMed]
- Wu, L. Accurate determination of quasi-Fermi-level separation of semiconductor lasers. Appl. Phys. Lett. 2000, 76, 964–966. [Google Scholar] [CrossRef]
- Li, D.; Feng, L.; Yang, W.; Yang, X.; Hu, X.; Wang, C. Redefinition the quasi-Fermi energy levels separation of electrons and holes inside and outside quantum wells of GaN based multi-quantum-well semiconductor laser diodes. J. Phys. D Appl. Phys. 2020, 53, 155104. [Google Scholar] [CrossRef]





Disclaimer/Publisher’s Note: The statements, opinions and data contained in all publications are solely those of the individual author(s) and contributor(s) and not of MDPI and/or the editor(s). MDPI and/or the editor(s) disclaim responsibility for any injury to people or property resulting from any ideas, methods, instructions or products referred to in the content. |
© 2025 by the authors. Licensee MDPI, Basel, Switzerland. This article is an open access article distributed under the terms and conditions of the Creative Commons Attribution (CC BY) license (https://creativecommons.org/licenses/by/4.0/).
Share and Cite
Ge, X.; Yu, Q.; Chen, Z.; Jin, Z.; Qi, X.; Wang, R.; Meng, K.; Wang, W.; Li, H.; Liu, G.; et al. Measurement of Enhanced Inversion Factor of InGaAs-Based Well-Island Composite Structure by Photoluminescence Spectra from Dual Facets. Photonics 2025, 12, 834. https://doi.org/10.3390/photonics12090834
Ge X, Yu Q, Chen Z, Jin Z, Qi X, Wang R, Meng K, Wang W, Li H, Liu G, et al. Measurement of Enhanced Inversion Factor of InGaAs-Based Well-Island Composite Structure by Photoluminescence Spectra from Dual Facets. Photonics. 2025; 12(9):834. https://doi.org/10.3390/photonics12090834
Chicago/Turabian StyleGe, Xing, Qingnan Yu, Zixuan Chen, Zeng Jin, Xinyang Qi, Ru Wang, Kang Meng, Wei Wang, Hongxu Li, Gang Liu, and et al. 2025. "Measurement of Enhanced Inversion Factor of InGaAs-Based Well-Island Composite Structure by Photoluminescence Spectra from Dual Facets" Photonics 12, no. 9: 834. https://doi.org/10.3390/photonics12090834
APA StyleGe, X., Yu, Q., Chen, Z., Jin, Z., Qi, X., Wang, R., Meng, K., Wang, W., Li, H., Liu, G., & Wu, J. (2025). Measurement of Enhanced Inversion Factor of InGaAs-Based Well-Island Composite Structure by Photoluminescence Spectra from Dual Facets. Photonics, 12(9), 834. https://doi.org/10.3390/photonics12090834

