Microwave-Controlled Spectroscopy Evolution for Different Rydberg States
Abstract
1. Introduction
2. Experimental Scheme and Theoretical Model
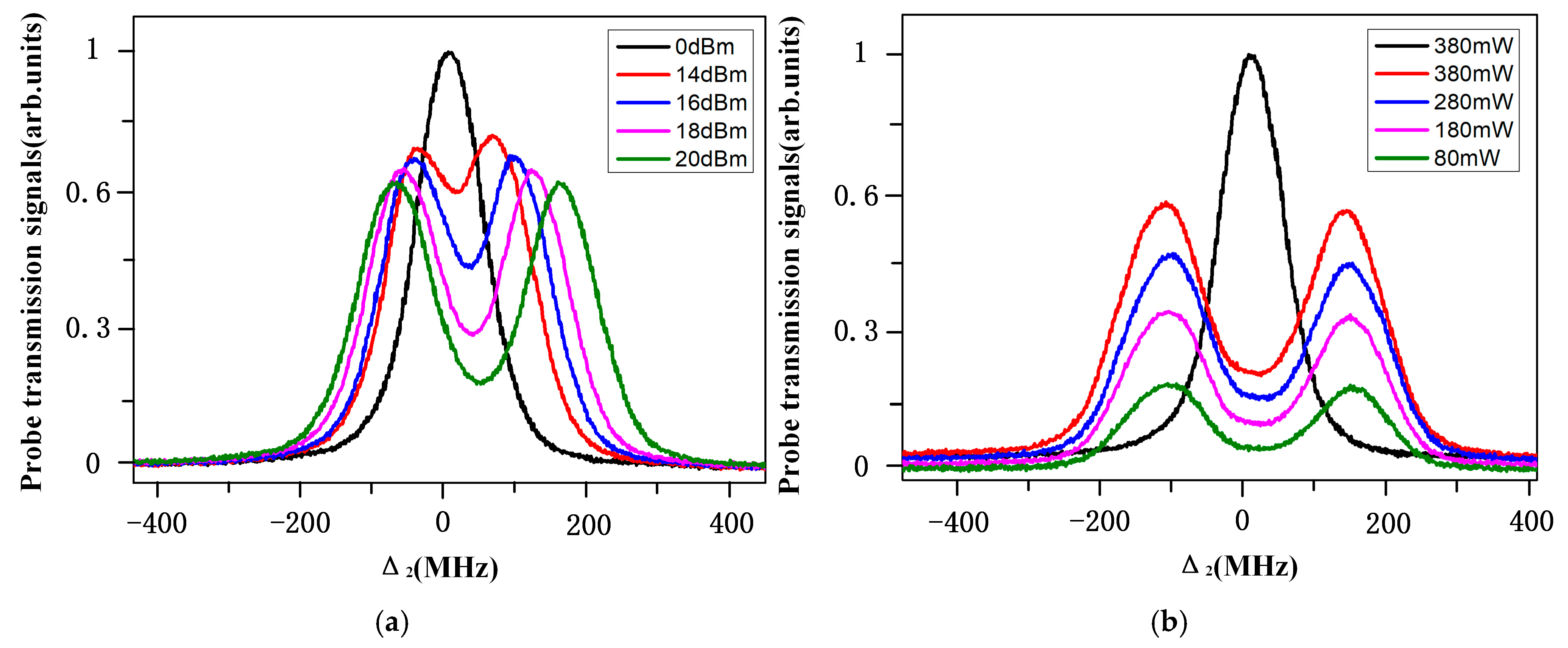
3. Results and Discussions
4. Conclusions
Author Contributions
Funding
Institutional Review Board Statement
Informed Consent Statement
Data Availability Statement
Acknowledgments
Conflicts of Interest
References
- Gallagher, T. Rydberg atoms. In Springer Handbook of Atomic, Molecular, and Optical Physics; Springer: New York, NY, USA, 2006. [Google Scholar]
- Zhang, H.; Ma, Y.; Liao, K.Y.; Yang, W.; Liu, Z.; Ding, D.; Yan, H.; Li, W.; Zhang, L. Rydberg atom electric field sensing for metrology, communication and hybrid quantum systems. Sci. Bull. 2024, 69, 1515–1535. [Google Scholar] [CrossRef] [PubMed]
- Affolderbach, C.; Du, G.X.; Bandi, T.; Horsley, A.; Treutlein, P.; Mileti, G. Imaging microwave and DC magnetic fields in a vapor-cell Rb atomic clock. IEEE Trans. Instrum. Meas. 2015, 64, 3629–3637. [Google Scholar] [CrossRef]
- Yuan, J.P.; Yang, W.G.; Jing, M.Y.; Zhang, H.; Jiao, Y.; Li, W.; Zhang, L.; Xiao, L.; Jia, S. Quantum sensing of microwave electric fields based on Rydberg atoms. Rep. Prog. Phys. 2023, 86, 106001. [Google Scholar] [CrossRef] [PubMed]
- Anderson, D.A.; Sapiro, R.E.; Raithel, G. Rydberg atoms for radio-frequency communications and sensing: Atomic receivers for pulsed RF field and phase detection. IEEE Aerosp. Electron. Syst. Mag. 2020, 35, 48–56. [Google Scholar] [CrossRef]
- Boller, K.J.; Imamoğlu; Harris, S.E. Observation of electromagnetically induced transparency. Phys. Rev. Lett. 1991, 66, 2593. [Google Scholar] [CrossRef] [PubMed]
- Xue, Y.M.; Hao, L.P.; Jiao, Y.C.; Han, X.X.; Bai, S.Y.; Zhao, J.M.; Jia, S.T. Autler-Townes splitting of ultracold cesium Rydberg atoms. Acta Phys. Sin. 2017, 66, 213201. [Google Scholar] [CrossRef]
- Holloway, C.L.; Simons, M.T.; Gordon, J.A.; Dienstfrey, A.; Anderson, D.A.; Raithel, G. Electric field metrology for SI traceability: Systematic measurement uncertainties in electromagnetically induced transparency in atomic vapor. J. Appl. Phys. 2017, 121, 233106. [Google Scholar] [CrossRef]
- Prajapati, N.; Berweger, S.; Rotunno, A.P.; Artusio-Glimpse, A.B.; Schlossberger, N.; Shylla, D.; Watterson, W.J.; Simons, M.T.; LaMantia, D.; Norrgard, E.B.; et al. Investigation of fluorescence versus transmission readout for three-photon Rydberg excitation used in electrometry. arXiv 2024, arXiv:2402.00718. [Google Scholar] [CrossRef]
- Song, R.; Bai, J.; Li, Z.; Jiao, Y.; Zhao, J.; Jia, S. Measurements of cesium PJ-series quantum defect with the microwave spectroscopy. Opt. Express 2024, 32, 25717. [Google Scholar] [CrossRef] [PubMed]
- Jing, M.; Hu, Y.; Ma, J.; Zhang, H.; Zhang, L.; Xiao, L.; Jia, S. Atomic superheterodyne receiver based on microwave-dressed Rydberg spectroscopy. Nat. Phys. 2020, 16, 911–915. [Google Scholar] [CrossRef]
- Li, C.K.; Yao, X.P.; Chen, G. Writing and deleting skyrmions with electric fields in a multiferroic heterostructure. Phys. Rev. Res. 2021, 3, L012026. [Google Scholar] [CrossRef]
- Han, M.; Hao, H.; Song, X.; Yin, Z.; Parniak, M.; Jia, Z.; Peng, Y. Microwave electrometry with bichromatic electromagnetically induced transparency in Rydberg atoms. EPJ Quantum Technol. 2023, 10, 28. [Google Scholar] [CrossRef]
- Liu, B.; Zhang, L.H.; Liu, Z.K.; Zhang, Z.Y.; Zhu, Z.H.; Gao, W.; Guo, G.-C.; Ding, D.-S.; Shi, B.-S. Highly sensitive measurement of a megahertz rf electric field with a Rydberg-atom sensor. Phys. Rev. Appl. 2022, 18, 014045. [Google Scholar] [CrossRef]





Disclaimer/Publisher’s Note: The statements, opinions and data contained in all publications are solely those of the individual author(s) and contributor(s) and not of MDPI and/or the editor(s). MDPI and/or the editor(s) disclaim responsibility for any injury to people or property resulting from any ideas, methods, instructions or products referred to in the content. |
© 2025 by the authors. Licensee MDPI, Basel, Switzerland. This article is an open access article distributed under the terms and conditions of the Creative Commons Attribution (CC BY) license (https://creativecommons.org/licenses/by/4.0/).
Share and Cite
Diao, Y.; Hu, H.; Li, X.; Li, Z.; Zeng, F.; Chen, Y.; You, S. Microwave-Controlled Spectroscopy Evolution for Different Rydberg States. Photonics 2025, 12, 715. https://doi.org/10.3390/photonics12070715
Diao Y, Hu H, Li X, Li Z, Zeng F, Chen Y, You S. Microwave-Controlled Spectroscopy Evolution for Different Rydberg States. Photonics. 2025; 12(7):715. https://doi.org/10.3390/photonics12070715
Chicago/Turabian StyleDiao, Yinglong, Haoliang Hu, Xiaofei Li, Zhibo Li, Feitong Zeng, Yanbin Chen, and Shuhang You. 2025. "Microwave-Controlled Spectroscopy Evolution for Different Rydberg States" Photonics 12, no. 7: 715. https://doi.org/10.3390/photonics12070715
APA StyleDiao, Y., Hu, H., Li, X., Li, Z., Zeng, F., Chen, Y., & You, S. (2025). Microwave-Controlled Spectroscopy Evolution for Different Rydberg States. Photonics, 12(7), 715. https://doi.org/10.3390/photonics12070715

