A Large-Bandwidth Electro-Optic Modulator with U-T Double-Layer Traveling-Wave Electrode Structure Based on Thin-Film Lithium Niobate
Abstract
1. Introduction
2. Fundamental Operating Principles of Electro-Optic Modulators
3. Microwave–Photonic Electrode Structure Design
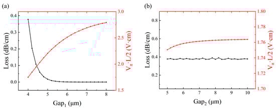
3.1. Simulation Analysis of Modulation Region
3.2. Electro-Optic Modulation Bandwidth Simulation
4. Discussion
4.1. Comparison with LNOI Modulators in the Literature
4.2. Roadmap for Future Fabrication and Testing
5. Conclusions
Author Contributions
Funding
Institutional Review Board Statement
Informed Consent Statement
Data Availability Statement
Acknowledgments
Conflicts of Interest
References
- Azadeh, S.S.; Merget, F.; Romero-García, S.; Moscoso-Mártir, A.; von den Driesch, N.; Müller, J.; Mantl, S.; Buca, D.; Witzens, J. Low Vπ Silicon photonics modulators with highly linear epitaxially grown phase shifters. Opt. Express 2015, 23, 23526–23550. [Google Scholar] [CrossRef]
- Ogiso, Y.; Ozaki, J.; Ueda, Y.; Kashio, N.; Kikuchi, N.; Yamada, E.; Tanobe, H.; Kanazawa, S.; Yamazaki, H.; Ohiso, Y.; et al. Over 67 GHz Bandwidth and 1.5 V Vπ InP-Based Optical IQ Modulator with n-i-p-n Heterostructure. J. Light. Technol. 2017, 35, 1450–1455. [Google Scholar] [CrossRef]
- Wolf, S.; Zwickel, H.; Kieninger, C.; Lauermann, M.; Hartmann, W.; Kutuvantavida, Y.; Freude, W.; Randel, S.; Koos, C. Coherent modulation up to 100 GBd 16QAM using silicon-organic hybrid (SOH) devices. Opt. Express 2018, 26, 220–232. [Google Scholar] [CrossRef] [PubMed]
- Noguchi, K.; Mitomi, O.; Miyazawa, H. Millimeter-wave Ti:LiNbO3 optical modulators. J. Light. Technol. 1998, 16, 615–619. [Google Scholar] [CrossRef]
- Wooten, E.L.; Kissa, K.M.; Yi-Yan, A.; Murphy, E.J.; Lafaw, D.A.; Hallemeier, P.F.; Maack, D.; Attanasio, D.V.; Fritz, D.J.; McBrien, G.J.; et al. A review of lithium niobate modulators for fiber-optic communications systems. IEEE J. Sel. Top. Quantum Electron. 2000, 6, 69–82. [Google Scholar] [CrossRef]
- Li, M.; Wang, L.; Li, X.; Xiao, X.; Yu, S. Silicon intensity Mach–Zehnder modulator for single lane 100 Gb/s applications. Photonics Res. 2018, 6, 109–116. [Google Scholar] [CrossRef]
- Ogiso, Y.; Hashizume, Y.; Tanobe, H.; Nunoya, N.; Ida, M.; Miyamoto, Y.; Ishikawa, M.; Ozaki, J.; Ueda, Y.; Wakita, H.; et al. 80-GHz Bandwidth and 1.5-V Vπ InP-Based IQ Modulator. J. Light. Technol. 2020, 38, 249–255. [Google Scholar] [CrossRef]
- Hou, S.; Hu, H.; Liu, Z.; Xing, W.; Zhang, J.; Hao, Y. High-Speed Electro-Optic Modulators Based on Thin-Film Lithium Niobate. Nanomaterials 2024, 14, 867. [Google Scholar] [CrossRef] [PubMed]
- Wang, C.; Zhang, M.; Chen, X.; Bertrand, M.; Shams-Ansari, A.; Chandrasekhar, S.; Winzer, P.; Loncar, M. Integrated lithium niobate electro-optic modulators operating at CMOS-compatible voltages. Nature 2018, 562, 101–104. [Google Scholar] [CrossRef]
- Liu, X.; Xiong, B.; Sun, C.; Wang, J.; Hao, Z.; Wang, L.; Han, Y.; Li, H.; Yu, J.; Luo, Y. Wideband thin-film lithium niobate modulator with low half-wave-voltage length product. Chin. Opt. Lett. 2021, 19, 060016. [Google Scholar] [CrossRef]
- Chen, G.; Chen, K.; Gan, R.; Ruan, Z.; Wang, Z.; Huang, P.; Lu, C.; Lau, A.P.T.; Dai, D.; Guo, C.; et al. High performance thin-film lithium niobate modulator on a silicon substrate using periodic capacitively loaded traveling-wave electrode. APL Photonics 2022, 7, 026103. [Google Scholar] [CrossRef]
- Xingrui, H.; Yang, L.; Donghe, T.; Zhiguo, Y.; Qingquan, W.; Zhiyong, L. Linearity-Enhanced Dual-Parallel Mach–Zehnder Modulators Based on a Thin-Film Lithium Niobate Platform. Photonics 2022, 9, 197. [Google Scholar]
- Jian, J.; Mengyue, X.; Liu, L.; Yannong, L.; Junwei, Z.; Lin, L.; Lidan, Z.; Hui, C.; Siyuan, Y.; Xinlun, C. High modulation efficiency lithium niobate Michelson interferometer modulator. Opt. Express 2019, 27, 18731–18739. [Google Scholar] [CrossRef]
- Arizmendi, L. Photonic applications of lithium niobate crystals. Phys. Status Solidi (A) 2004, 201, 253–283. [Google Scholar] [CrossRef]
- Yachao, J.; Guofang, F.; Rongwei, W.; Zeping, Z.; Muguang, W.; Xiaoyu, C.; Jiasi, W.; Xin, C.; Hongyu, L.; Yuan, L. Analysis for an improved nanomechanical microcantilever sensor on optical waveguides. IEEE Access 2020, 8, 63856–63861. [Google Scholar]
- Chung, H.Y.; Chang, W.S.C.; Adler, E.L. Modeling and optimization of traveling-wave LiNbO3 interferometric modulators. IEEE J. Quantum Electron. 1991, 27, 608–617. [Google Scholar] [CrossRef]
- Kubota, K.; Noda, J.; Mikami, O. Traveling wave optical modulator using a directional coupler LiNbO3waveguide. IEEE J. Quantum Electron. 1980, 16, 754–760. [Google Scholar] [CrossRef]
- Kharel, P.; Reimer, C.; Luke, K.; He, L.; Zhang, M. Breaking voltage-bandwidth limits in integrated lithium niobate modulators using micro-structured electrodes. Optica 2021, 8, 357–363. [Google Scholar] [CrossRef]
- Yang, T.; Cai, L.; Huang, Z.; Zhang, L. High-Linearity Dual-Parallel Mach–Zehnder Modulators in Thin-Film Lithium Niobate. Photonics 2024, 11, 987. [Google Scholar] [CrossRef]
- Luo, X.; Gu, Z.; Wang, C.; Fan, C.; Zhang, W. Large-Bandwidth Lithium Niobate Electro-Optic Modulator for Frequency-Division Multiplexing RFID Systems. Electronics 2024, 13, 5054. [Google Scholar] [CrossRef]
- Liu, Y.; Li, H.; Liu, J.; Tan, S.; Lu, Q.; Guo, W. Low Vπ thin-film lithium niobate modulator fabricated with photolithography. Opt. Express 2021, 29, 10. [Google Scholar] [CrossRef] [PubMed]
- Du, Y.; Zou, X.; Zou, F.; Pan, W.; Yan, L.; Zhao, Q.; Liu, N. Novel Folded Structure TFLN Recycling Phase Modulator Enabling Large Low-Vπ Bandwidth and Efficient Microwave–Optical Velocity Matching. Laser Photonics Rev. 2024, 18, 2400787. [Google Scholar] [CrossRef]
- Wang, M.; Qi, L.; Wang, H.; Ruan, Z.; Chen, G.; Chen, B.; Gong, S.; Chen, K.; Liu, L. Robust thin-film lithium niobate modulator on a silicon substrate with backside holes. Chin. Opt. Lett. 2024, 22, 050601. [Google Scholar] [CrossRef]
- Batsala, M.; Chandu, B.; Sakala, B.; Nama, S.; Domatoti, S. Inductively coupled plasma mass spectrometry (ICP-MS). Int. J. Res. Pharm. Chem. 2012, 27, 1181–1184. [Google Scholar]
- Yi, K.; Liu, D.; Chen, X.; Yang, J.; Wei, D. Plasma-Enhanced Chemical Vapor Deposition of Two-Dimensional Materials for Applications. Acc. Chem. Res. 2021, 54, 1011–1022. [Google Scholar] [CrossRef]
- Deng, Y.; Chen, W.; Li, B.; Wang, C.; Li, Y. Physical vapor deposition technology for coated cutting tools: A review. Ceram. Int. 2020, 46, 18373–18390. [Google Scholar] [CrossRef]















| Parameters | Length (μm) |
|---|---|
| dAu | 1.2 |
| dLN | 0.3 |
| dSiO2 | 4.7 |
| dSi | 500 |
| Etching Depth | 0.3 |
| Wu | 6 |
| Lu | 40 |
| Wt | 4 |
| Lt | 2 |
| Wt1 | 1 |
| Lt1 | 40 |
| du | 0.6 |
| dt | 0.6 |
| Gap1 | 5 |
| Gap2 | 3 |
| Wsig | 30 |
| Wgnd | 200 |
| T | 50 |
Disclaimer/Publisher’s Note: The statements, opinions and data contained in all publications are solely those of the individual author(s) and contributor(s) and not of MDPI and/or the editor(s). MDPI and/or the editor(s) disclaim responsibility for any injury to people or property resulting from any ideas, methods, instructions or products referred to in the content. |
© 2025 by the authors. Licensee MDPI, Basel, Switzerland. This article is an open access article distributed under the terms and conditions of the Creative Commons Attribution (CC BY) license (https://creativecommons.org/licenses/by/4.0/).
Share and Cite
Hao, Y.; Li, H.; Li, Y.; Li, H.; Liu, Y.; Yang, J.; Qin, L. A Large-Bandwidth Electro-Optic Modulator with U-T Double-Layer Traveling-Wave Electrode Structure Based on Thin-Film Lithium Niobate. Photonics 2025, 12, 648. https://doi.org/10.3390/photonics12070648
Hao Y, Li H, Li Y, Li H, Liu Y, Yang J, Qin L. A Large-Bandwidth Electro-Optic Modulator with U-T Double-Layer Traveling-Wave Electrode Structure Based on Thin-Film Lithium Niobate. Photonics. 2025; 12(7):648. https://doi.org/10.3390/photonics12070648
Chicago/Turabian StyleHao, Yuxiang, Haiou Li, Yue Li, Haisheng Li, Yingbo Liu, Jiayu Yang, and Liangpeng Qin. 2025. "A Large-Bandwidth Electro-Optic Modulator with U-T Double-Layer Traveling-Wave Electrode Structure Based on Thin-Film Lithium Niobate" Photonics 12, no. 7: 648. https://doi.org/10.3390/photonics12070648
APA StyleHao, Y., Li, H., Li, Y., Li, H., Liu, Y., Yang, J., & Qin, L. (2025). A Large-Bandwidth Electro-Optic Modulator with U-T Double-Layer Traveling-Wave Electrode Structure Based on Thin-Film Lithium Niobate. Photonics, 12(7), 648. https://doi.org/10.3390/photonics12070648

