Automated Quantification and Statistical Characterization of 3D Morphological Parameters of Red Blood Cells and Blood Coagulation Structures Using Flow Cytometry with Digital Holographic Microscopy
Abstract
1. Introduction
2. Experiment
3. Analysis
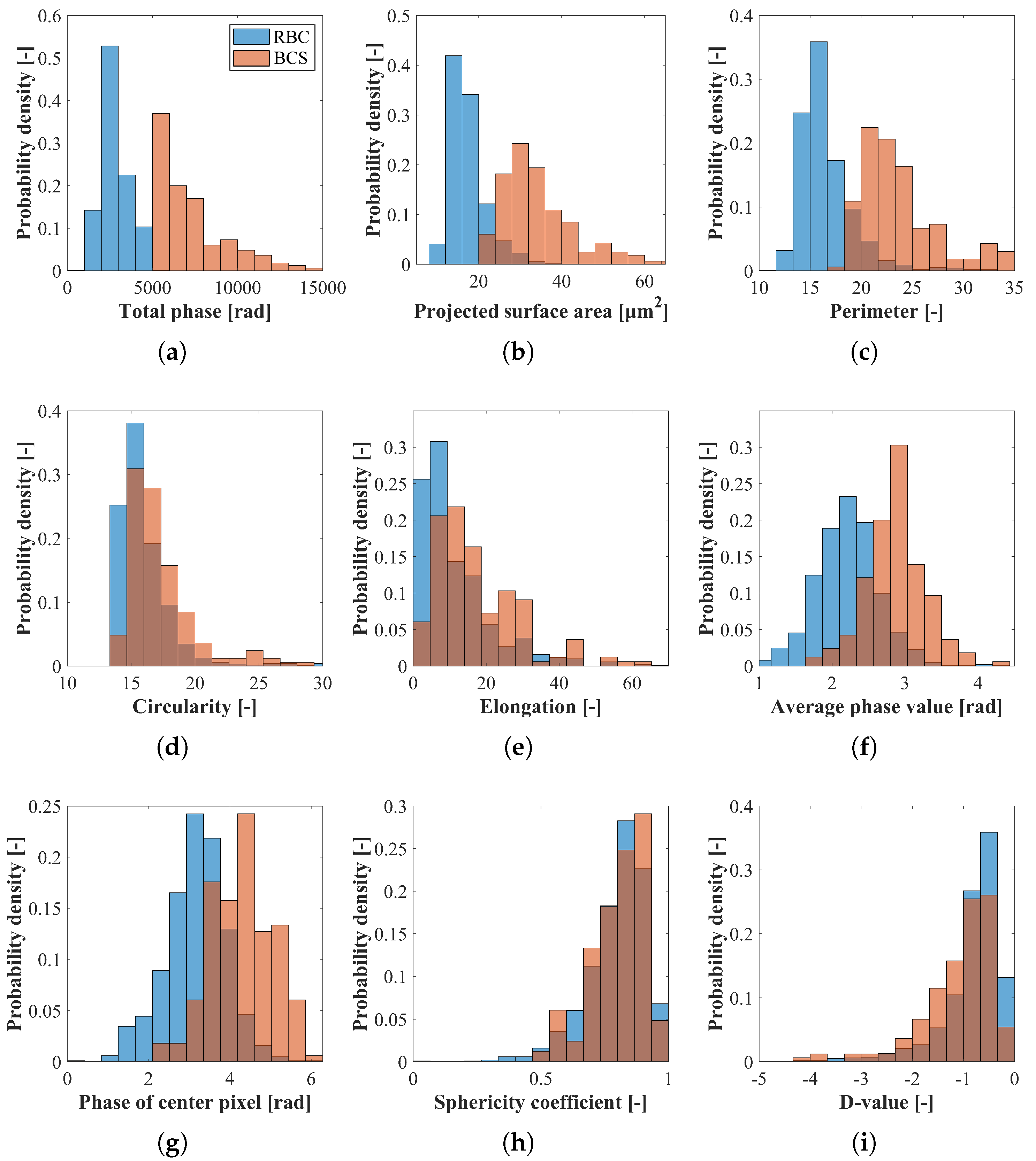
4. Results
5. Conclusions
Funding
Data Availability Statement
Conflicts of Interest
Abbreviations
| DHM | Digital holographic microscopy |
| RBC | Red blood cell |
| BCS | Blood coagulation structure |
References
- Kim, M.K. Digital Holographic Microscopy; Springer: New York, NY, USA, 2011. [Google Scholar]
- Zhang, T.; Yamaguchi, I. Three-dimensional microscopy with phase-shifting digital holography. Opt. Lett. 1998, 15, 1221–1223. [Google Scholar] [CrossRef]
- Cuche, E.; Bevilacqua, F.; Depeursinge, C. Digital holography for quantitative phase-contrast imaging. Opt. Lett. 1999, 24, 291–293. [Google Scholar] [CrossRef] [PubMed]
- Marquet, P.; Depeursinge, C.; Pierre, J.; Magistretti, P.J. Review of quantitative phase-digital holographic microscopy: Promising novel imaging technique to resolve neuronal network activity and identify cellular biomarkers of psychiatric disorders. Neurophotonics 2014, 1, 020901. [Google Scholar] [CrossRef]
- Yu, X.; Hong, J.; Liu, C.; Myung, K.K. Review of digital holographic microscopy for three-dimensional profiling and tracking. Opt. Eng. 2014, 53, 112306. [Google Scholar] [CrossRef]
- Mann, C.J.; Yu, L.; Lo, C.-M.; Kim, M.K. High-resolution quantitative phase-contrast microscopy by digital holography. Opt. Express 2005, 13, 8693–8698. [Google Scholar] [CrossRef]
- Mann, C.J.; Yu, L.; Kim, M.K. Movies of cellular and sub-cellular motion by digital holographic microscopy. BioMed. Eng. OnLine 2006, 5, 1–10. [Google Scholar] [CrossRef]
- Charrière, F.; Marian, A.; Montfort, F.; Kuehn, K.; Colomb, T.; Cuche, E.; Marquet, P.; Depeursinge, C. Cell refractive index tomography by digital holographic microscopy. Opt. Lett. 2006, 31, 178–180. [Google Scholar] [CrossRef]
- Moon, I.; Javidi, B. Three-dimensional identification of stem cells by computational holographic imaging. J. R. Soc. Interface 2007, 4, 305–313. [Google Scholar] [CrossRef]
- Crha, I.; Zakova, J.; Huser, M.; Ventruba, P.; Lousova, E.; Pohanka, M. Digital holographic microscopy in human sperm imaging. J. Assist. Reprod. Genet. 2011, 28, 725–729. [Google Scholar] [CrossRef][Green Version]
- Jones, K.W. Evaluation of cell morphology and introduction to platelet and white blood cell morphology. In Clinical Hematology and Fundamentals of Hemostasis; Harmening, D., Ed.; F.A. Davis Company: Philadelphia, PA, USA, 2009. [Google Scholar]
- Geekiyanage, N.M.; Balanant, M.A.; Sauret, E.; Saha, S.; Flower, R.; Lim, C.T.; Gu, Y.T. A coarse-grained red blood cell membrane model to study stomatocyte-discocyte-echinocyte morphologies. PLoS ONE 2019, 14, e0215447. [Google Scholar] [CrossRef]
- Bernhardt, I.; Ivanova, L.; Langehanenberg, P.; Kemper, B.; Bally, G.V. Application of digital holographic microscopy to investigate the sedimentation of intact red blood cells and their interaction with artificial surfaces. Bioelectrochemistry 2008, 73, 92–96. [Google Scholar] [CrossRef] [PubMed]
- Choi, Y.-S.; Lee, S.-J. Three-dimensional volumetric measurement of red blood cell motion using digital holographic microscopy. Appl. Opt. 2009, 48, 2983–2990. [Google Scholar] [CrossRef] [PubMed]
- Rappaz, B.; Barbul, A.; Hoffmann, A.; Boss, D.; Korenstein, R.; Depeursinge, C.; Magistretti, P.J.; Marquet, P. Spatial analysis of erythrocyte membrane fluctuations by digital holographic microscopy. Blood Cells Mol. Dis. 2009, 42, 228–232. [Google Scholar] [CrossRef]
- Moon, I.; Javidi, B.; Yi, F.; Boss, D.; Marquet, P. Automated statistical quantification of three-dimensional morphology and mean corpuscular hemoglobin of multiple red blood cells. Opt. Express 2012, 20, 10295–10309. [Google Scholar] [CrossRef] [PubMed]
- Yi, F.; Lee, C.-G.; Moon, I. Statistical analysis of 3d volume of red blood cells with different shapes via digital holographic microscopy. J. Opt. Soc. Korea 2012, 16, 115–120. [Google Scholar] [CrossRef]
- Moon, I.; Yi, F.; Lee, Y.H.; Javidi, B.; Boss, D.; Marquet, P. Automated quantitative analysis of 3d morphology and mean corpuscular hemoglobin in human red blood cells stored in different periods. Opt. Express 2013, 21, 30947–30957. [Google Scholar] [CrossRef]
- Yi, F.; Moon, I.; Javidi, B.; Boss, D.; Marquet, P. Automated segmentation of multiple red blood cells with digital holographic microscopy. J. Biomed. Opt. 2013, 18, 026006. [Google Scholar] [CrossRef]
- Wilson, T.M. The conductivity of blood in coagulation. Biochem. J. 1907, 2, 377–382. [Google Scholar] [CrossRef][Green Version]
- Kishimoto, S.; Yoshioko, M. Method and System for Measuring Blood Coagulation Time. U.S. Patent NO.4 252, 536, 24 February 1981. [Google Scholar]
- Kloth, B.; Behnk, H. Blood Coagulation Time Measuring Device. U.S. Patent NO.4 964, 728, 1990. [Google Scholar]
- Greco, F.A. Reflectance spectroscopy of clotting blood: A description of the time-dependent behavior. Arch. Pathol. Lab. Med. 2004, 128, 173–180. [Google Scholar] [CrossRef]
- Faivre, M.; Peltié, P.; Planat-Chrétien, A.; Cosnier, M.-L.; Cubizolles, M.; Nougier, C.; Négrier, C.; Pouteau, P. Coagulation dynamics of a blood sample by multiple scattering analysis. J. Biomed. Opt. 2011, 16, 057001. [Google Scholar] [CrossRef]
- Tripathi, M.M.; Hajjarian, Z.; Cott, E.M.V.; Nadkarni, S.K. Assessing blood coagulation status with laser speckle rheology. Biomed. Opt. Express 2014, 5, 817–831. [Google Scholar] [CrossRef] [PubMed]
- Mardel, S.N.; Saunders, F.M.; Allen, H.; Menezes, G.; Edwards, C.M.; Ollerenshaw, L.; Baddeley, D.; Kennedy, A.; Ibbotson, R.M. Reduced quality of clot formation with gelatin-based plasma substitutes. Br. J. Anaesth. 1998, 80, 204–207. [Google Scholar] [CrossRef][Green Version]
- Yeow, N.; Tabor, R.F.; Garnier, G. Atomic force microscopy: From red blood cells to immunohaematology. Adv. Colloid Interface Sci. 2017, 249, 149–162. [Google Scholar] [CrossRef] [PubMed]
- Elnager, A.; Abdullah, W.Z.; Hassan, R.; Idris, Z.; Arfah, N.W.; Sulaiman, S.A.; Mustafa, Z. In vitro whole blood clot lysis for fibrinolytic activity study using d-dimer and confocal microscopy. Adv. Hematol. 2014, 2014, 814684. [Google Scholar] [CrossRef] [PubMed]
- Chaikeeratisak, V.; Tassanakajon, A.; Armstrong, P.B. Interaction of pathogenic vibrio bacteria with the blood clot of the pacific white shrimp, litopenaeus vannamei. Biol. Bull. 2014, 226, 102–110. [Google Scholar] [CrossRef] [PubMed]
- Barteneva, N.; Vorobjev, I. Imaging Flow Cytometry: Methods and Protocols; Humana Press Inc.: Totowa, NJ, USA, 2015. [Google Scholar]
- Cheong, F.C.; Dreyfus, B.S.R.; Amato-Grill, J.; Xiao, K.; Dixon, L.; Grier, D.G. Flow visualization and flow cytometry with holographic video microscopy. Opt. Express 2009, 48, H153–H159. [Google Scholar] [CrossRef]
- Merola, F.; Memmolo, P.; Miccio, L.; Savoia, R.; Mugnano, M.; Fontana, A.; D’Ippolito, G.; Sardo, A.; Iolascon, A.; Gambale, A.; et al. Tomographic flow cytometry by digital holography. Light. Sci. Appl. 2017, 6, e16241. [Google Scholar] [CrossRef]
- Funamizu, H.; Aizu, Y. Three-dimensional quantitative phase imaging of blood coagulation structures by optical projection tomography in flow cytometry using digital holographic microscopy. J. Biomed. Opt. 2019, 24, 031012. [Google Scholar] [CrossRef]
- Boltyanskiy, R.; Odete, M.A.; Cheong, F.C.; Philips, L.A. Label-free viability assay using in-line holographic video microscopy. Sci. Rep. 2022, 12, 12746. [Google Scholar] [CrossRef]
- Dudaie, M.; Barnea, I.; Nissim, N.; Shaked, N.T. On-chip label-free cell classification based directly on off-axis holograms and spatial-frequency-invariant deep learning. Sci. Rep. 2023, 6, 12370. [Google Scholar] [CrossRef]
- Giugliano, G.; Pirone, D.; Behal, J.; Wang, Z.; Cerbone, V.; Mugnano, M.; Licitra, F.; Montella, A.; Scalia, G.; Capasso, M.; et al. On the label-free analysis of white blood cells by holographic quantitative phase imaging flow cytometry. J. Opt. Soc. Am. A 2024, 41, 2421–2429. [Google Scholar] [CrossRef] [PubMed]
- Javidi, B.; Daneshpanah, M.; Moon, I. Three-dimensional holographic imaging for identification of biological micro/nanoorganisms. IEEE Photonics J. 2010, 2, 256–259. [Google Scholar] [CrossRef]
- Mihailescu, M.; Scarlat, M.; Gheorghiu, A.; Costescu, J.; Kusko, M.; Paun, I.A.; Scarlat, E. Automated imaging, identification, and counting of similar cells from digital hologram reconstructions. Appl. Opt. 2011, 50, 3589–3597. [Google Scholar] [CrossRef]
- Mir, M.; Tangella, K.; Popescu, G. Blood testing at the single cell level using quantitative phase and amplitude microscopy. Biomed. Opt. Express 2011, 2, 3259–3266. [Google Scholar] [CrossRef]
- Seo, S.; Isikman, S.O.; Sencan, I.; Mudanyali, O.; Su, T.-W.; Bishara, W.; Erlinger, A.; Ozcan, A. High-throughput lens-free blood analysis on a chip. Anal. Chem. 2010, 82, 4621–4627. [Google Scholar] [CrossRef]
- Yi, F.; Moon, I.; Lee, Y.H. Three-dimensional counting of morphologically normal human red blood cells via digital holographic microscopy. J. Biomed. Opt. 2015, 20, 016005. [Google Scholar] [CrossRef]
- Takeda, M.; Ina, H.; Kobayashi, S. Fourier-transform method of fringe-pattern analysis for computer-based topography and interferometry. J. Opt. Soc. Am. 1982, 72, 156–160. [Google Scholar] [CrossRef]
- Cuche, E.; Marquet, P.; Depeursinge, C. Spatial filtering for zero-order and twin-image elimination in digital off-axis holography. Appl. Opt. 2000, 39, 4070–4075. [Google Scholar] [CrossRef]
- Jeught, S.V.D.; Sijbers, J.; Dirckx, J.J.J. Fast fourier-based phase unwrapping on the graphics processing unit in real-time imaging applications. J. Imaging 2015, 1, 31–44. [Google Scholar] [CrossRef]
- Otsu, N. A threshold selection method from gray-level histograms. IEEE Trans. Syst. Man Cybern. 1979, 9, 62–66. [Google Scholar] [CrossRef]
- Bacus, J.W.; Weens, J.H. An automated method of differential red blood cell classification with application to the diagnosis of anemia. J. Histochem. Cytochem. 1977, 25, 614–632. [Google Scholar] [CrossRef] [PubMed]
- Martines-Arano, H.; Garcia-Perez, B.E.; Vidales-Hurtado, M.A.; Trejo-Valdez, M.; Hernandez-Gomez, L.H.; Torres-Torres, C. Chaotic Signatures Exhibited by Plasmonic Effects in Au Nanoparticles with Cells. Sensors 2019, 19, 4728. [Google Scholar] [CrossRef] [PubMed]
- Kim, Y.; Kim, J.; Seo, E.; Lee, S.J. AI-based analysis of 3D position and orientation of red blood cells using a digital in-line holographic microscopy. Biosens. Bioelectron. 2023, 2, 256–259. [Google Scholar] [CrossRef] [PubMed]






| RBC | BCS | |||
|---|---|---|---|---|
| Parameter | Mean | Standard Deviation | Mean | Standard Deviation |
| Total phase [rad] | 2787.79 | 808.45 | 7250.36 | 2176.80 |
| Projected surface area [m2] | 17.27 | 4.21 | 34.50 | 9.42 |
| Perimeter [-] | 16.46 | 2.83 | 24.20 | 5.23 |
| Circularity [-] | 15.97 | 2.83 | 17.22 | 3.18 |
| Elongation [-] | 11.40 | 9.98 | 17.68 | 12.59 |
| Average phase value [rad] | 2.21 | 0.43 | 2.87 | 0.41 |
| Phase of center pixel [rad] | 3.17 | 0.75 | 4.29 | 0.75 |
| Sphericity coefficient [-] | 0.80 | 0.12 | 0.80 | 0.11 |
| D-value [-] | −0.84 | 0.63 | −1.08 | 0.71 |
Disclaimer/Publisher’s Note: The statements, opinions and data contained in all publications are solely those of the individual author(s) and contributor(s) and not of MDPI and/or the editor(s). MDPI and/or the editor(s) disclaim responsibility for any injury to people or property resulting from any ideas, methods, instructions or products referred to in the content. |
© 2025 by the author. Licensee MDPI, Basel, Switzerland. This article is an open access article distributed under the terms and conditions of the Creative Commons Attribution (CC BY) license (https://creativecommons.org/licenses/by/4.0/).
Share and Cite
Funamizu, H. Automated Quantification and Statistical Characterization of 3D Morphological Parameters of Red Blood Cells and Blood Coagulation Structures Using Flow Cytometry with Digital Holographic Microscopy. Photonics 2025, 12, 600. https://doi.org/10.3390/photonics12060600
Funamizu H. Automated Quantification and Statistical Characterization of 3D Morphological Parameters of Red Blood Cells and Blood Coagulation Structures Using Flow Cytometry with Digital Holographic Microscopy. Photonics. 2025; 12(6):600. https://doi.org/10.3390/photonics12060600
Chicago/Turabian StyleFunamizu, Hideki. 2025. "Automated Quantification and Statistical Characterization of 3D Morphological Parameters of Red Blood Cells and Blood Coagulation Structures Using Flow Cytometry with Digital Holographic Microscopy" Photonics 12, no. 6: 600. https://doi.org/10.3390/photonics12060600
APA StyleFunamizu, H. (2025). Automated Quantification and Statistical Characterization of 3D Morphological Parameters of Red Blood Cells and Blood Coagulation Structures Using Flow Cytometry with Digital Holographic Microscopy. Photonics, 12(6), 600. https://doi.org/10.3390/photonics12060600

