L-Band Erbium-Doped Fiber Optimization and Transmission Investigation †
Abstract
1. Introduction
2. Fiber Optimization and Verification
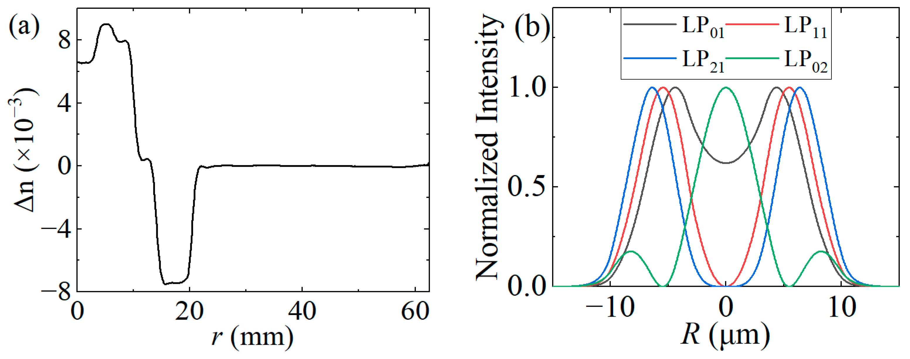
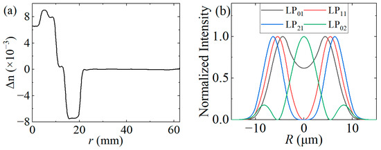
2.1. The Structure Optimization of the FM-EDF
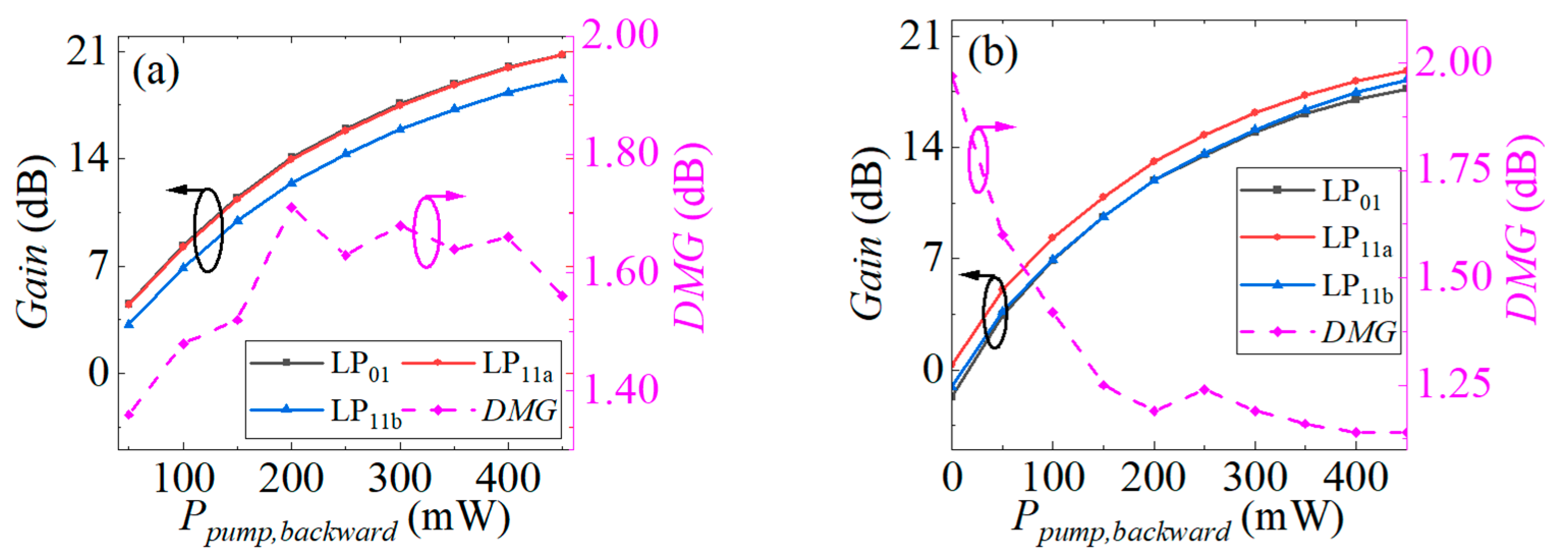
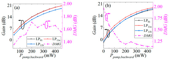
2.2. L-Band FM-EDFA Experimental Setup
3. Transmission Investigation and Discussion
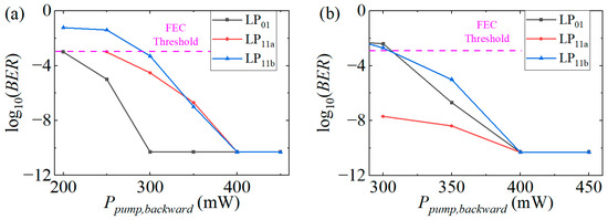
3.1. L-Band Transmission Investigation Setup
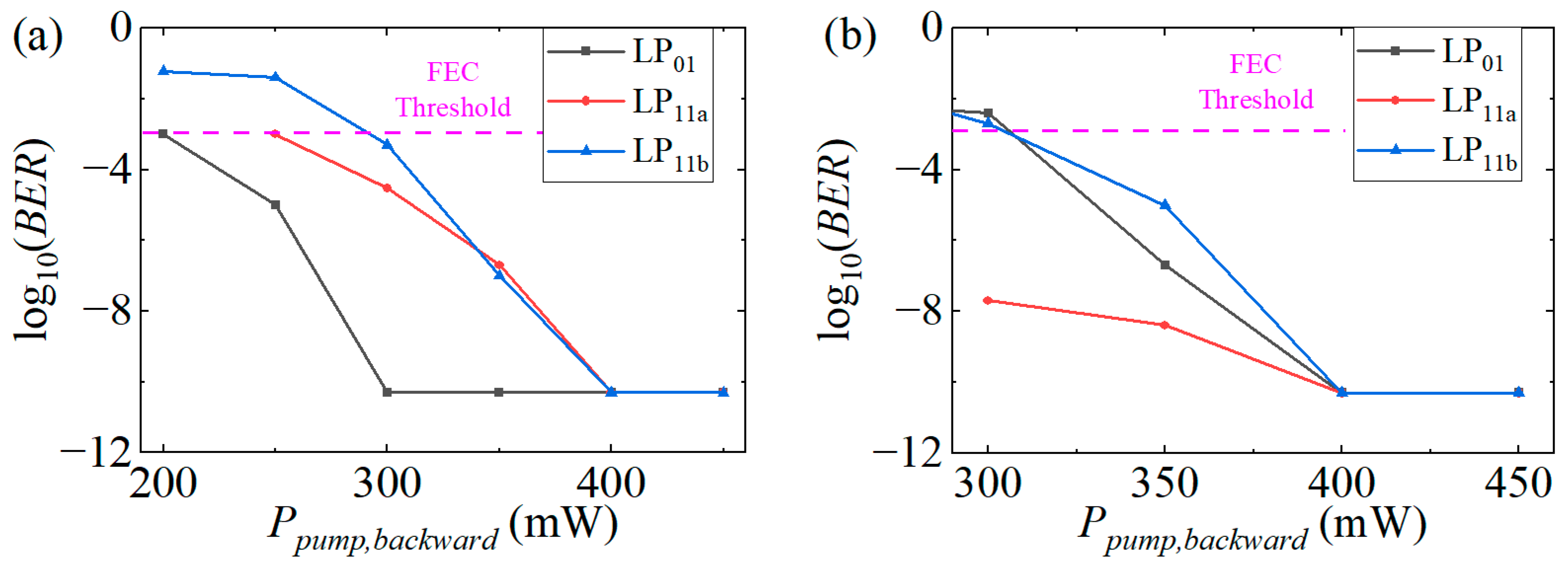
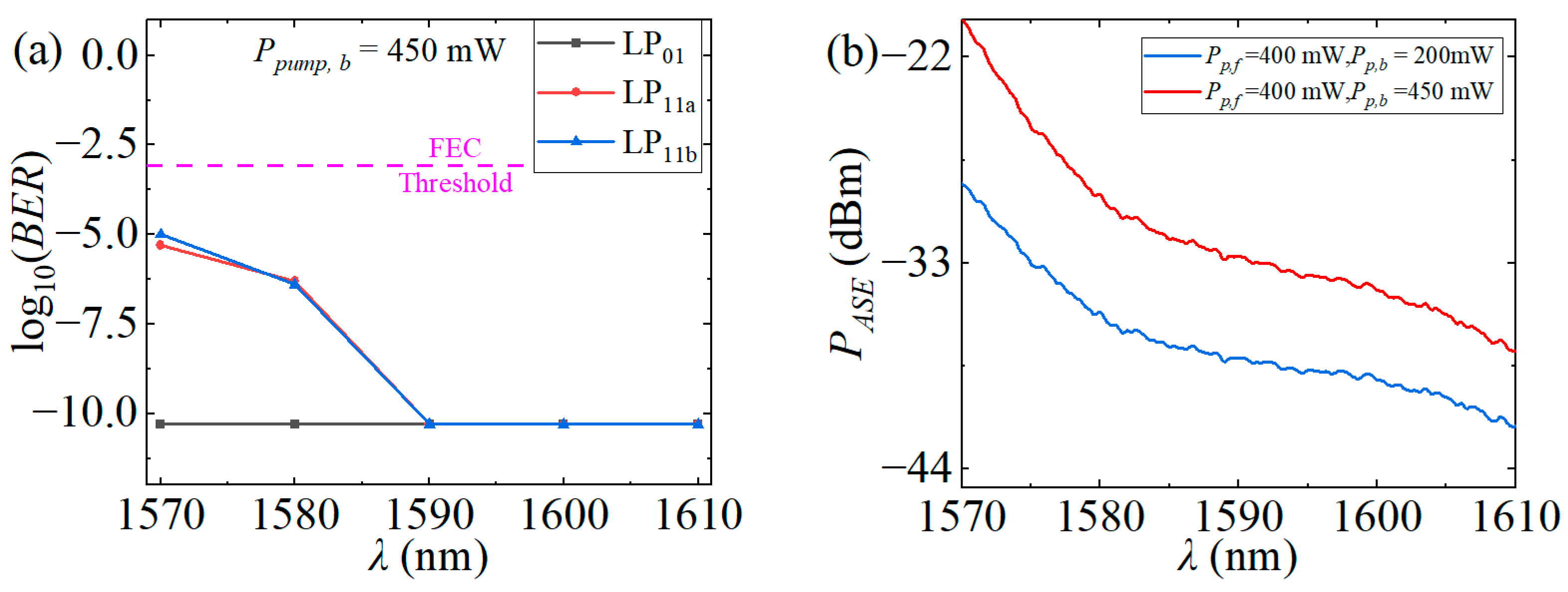
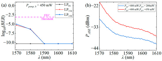
3.2. L-Band Transmission Results
4. Conclusions
Author Contributions
Funding
Institutional Review Board Statement
Informed Consent Statement
Data Availability Statement
Conflicts of Interest
References
- Richardson, D.J.; Fini, J.M.; Nelson, L.E. Space-division multiplexing in optical fibres. Nat. Photonics 2013, 7, 354–362. [Google Scholar] [CrossRef]
- Downie, J.D. Maximum capacities in submarine cables with fixed power constraints for C-band, C+ L-band, and multicore fiber systems. J. Light. Technol. 2018, 36, 4025–4032. [Google Scholar] [CrossRef]
- Jalilpiran, S.; Lefebvre, J.; Grégoire, N. Improving Extended L-Band Fiber Amplifiers Using Er3+: Y3+ Co-Doped Silicate with Optimized Alumino-Phospho-Silicate Glass Matrix. J. Light. Technol. 2024, 42, 3835–3843. [Google Scholar] [CrossRef]
- Lao, H.; Ruan, J.; Lin, M.; Zhong, L.; Wang, S.; Xu, P.; Dong, X. Dual-Stage Double-Pass Extended L-Band Erbium-Doped Fiber Amplifier with Improved Gain Performance. Photonics 2024, 10, 1266. [Google Scholar] [CrossRef]
- Sun, Y.; Wang, X.; Yang, Q.; Wang, Y.; Wang, F.; Hu, L.; Yu, C.; Liao, M.; Chen, S. Er-doped silicate fiber amplifiers in the L-band with flat gain. Opt. Lett. 2024, 49, 989–992. [Google Scholar] [CrossRef] [PubMed]
- Cai, J.-X.; Sun, Y.; Zhang, H.; Batshon, H.G.; Mazurczyk, M.V.; Sinkin, O.V.; Foursa, D.G.; Pilipetskii, A. 49.3 Tb/s transmission over 9100 km using C+ L EDFA and 54 Tb/s transmission over 9150 km using hybrid-Raman EDFA. J. Light. Technol. 2015, 33, 2724–2734. [Google Scholar] [CrossRef]
- Feng, L.; Zhang, A.; Feng, Z.; Ling, H.; Luo, Y.; Zhang, L.; Zhang, L.; Shen, L.; Luo, J.; Liu, Y.; et al. 0.62 Pb/s Real-Time Transmission Over 360 km 7-Core MCFs Using 800 Gb/s Transceivers with Widened C+ L Band EDFAs. In Proceedings of the 2023 Asia Communications and Photonics Conference/2023 International Photonics and Optoelectronics Meetings (ACP/POEM), Wuhan, China, 4–7 November 2023; pp. 1–3. [Google Scholar]
- Tang, Y.; Shi, Y.; Hu, Y.; Shen, S.; Tang, X.; Li, Z.; Lv, W.; Zhang, Z. A Field Trial of 400G C+ L Transmission System with Fast Automatic Power Management. In Proceedings of the 2023 Asia Communications and Photonics Conference/2023 International Photonics and Optoelectronics Meetings (ACP/POEM), Wuhan, China, 4–7 November 2023; pp. 1–4. [Google Scholar]
- Li, G.; Bai, N.; Zhao, N.; Xia, C. Space-division multiplexing: The next frontier in optical communication. Adv. Opt. Photonics 2014, 6, 413–487. [Google Scholar] [CrossRef]
- Richardson, D. New optical fibres for high-capacity optical communications. Philosophical Transactions of the Royal Society A: Mathematical. Phys. Eng. Sci. 2016, 374, 20140441. [Google Scholar]
- Wada, M.; Sakamoto, T.; Aozasa, S.; Yamamoto, T.; Nakajima, K. L-band randomly-coupled 12 core erbium doped fiber amplifier. In Proceedings of the Optical Fiber Communication Conference (OFC), San Diego, CA, USA, 3–7 March 2019; p. Th1B. 5. [Google Scholar]
- Wakayama, Y.; Soma, D.; Beppu, S.; Sumita, S.; Igarashi, K.; Tsuritani, T. 266.1-Tbit/s transmission over 90.4-km 6-mode fiber with inline dual C+ L-band 6-mode EDFA. J. Light. Technol. 2018, 37, 404–410. [Google Scholar] [CrossRef]
- Wada, M.; Sakamoto, T.; Aozasa, S.; Mori, T.; Yamamoto, T.; Hanzawa, N.; Yamamoto, F. L-band 2-LP mode EDFA with low modal dependent gain. In Proceedings of the Optical Fiber Communication Conference (OFC), Los Angeles, CA, USA, 22–26 March 2015; p. Tu3C. 3. [Google Scholar]
- Qiu, Q.; Gu, Z.M.; Shi, C.J.; Chen, Y.; Lou, Y.; He, L.; Peng, J.G.; Li, H.Q.; Xing, Y.B.; Chu, Y.G.; et al. Six-mode extended L-band EDFA with a low differential modal gain. OSA Contin. 2021, 4, 1676–1687. [Google Scholar] [CrossRef]
- Qiu, Q.; Gu, Z.; He, L.; Liu, S.; Zhao, X.; Yin, X.; Li, W.; Xing, Y.; Chu, Y.; Dai, N.; et al. Powerful trade-off between DMG and gain characteristics in the l-band high-numerical aperture few-mode erbium-doped fiber amplifier. Opt. Laser Technol. 2023, 158, 108856. [Google Scholar] [CrossRef]
- Qiu, Q.; He, L.; Gu, Z.; Chen, Y.; Lou, Y.; Zhao, X.; Peng, J.; Li, H.; Xing, Y.; Chu, Y.; et al. Extended L-band few-mode Er/Yb Co-doped fiber amplifier with a cladding-pumped pseudo-two-stage configuration. Opt. Lett. 2022, 47, 2963–2966. [Google Scholar] [CrossRef] [PubMed]
- Wang, J.; Pei, L.; Hu, K.; Zheng, J.; Xu, W.; Li, J.; Ning, T.; Zhong, L. An Extended L-Band Gain Equalization with a Few Mode Erbium Doped Fiber. In Proceedings of the 2023 Asia Communications and Photonics Conference/2023 International Photonics and Optoelectronics Meetings (ACP/POEM), Wuhan, China, 4–7 November 2023; pp. 1–3. [Google Scholar]
- Li, Z.; Pei, L.; Zheng, J.; Wang, J.; Xu, W.; Shen, L.; Zhong, L. Amplification and Transmission System with Matching Multi-Layer Ion-Doped FM-EDFA. J. Light. Technol. 2023, 41, 695–701. [Google Scholar] [CrossRef]
- Chang, J.H.; Corsi, A.; Rusch, L.A.; LaRochelle, S. Design Analysis of OAM Fibers Using Particle Swarm Optimization Algorithm. J. Light. Technol. 2020, 38, 846–856. [Google Scholar] [CrossRef]
- Tian, Z.; Pei, L.; Wang, J.; Hu, K.; Xu, W.; Zheng, J.; Li, J.; Ning, T. High-performance mode decomposition using physics- and data-driven deep learning. Opt. Express 2022, 30, 39932–39945. [Google Scholar] [CrossRef] [PubMed]
- Xu, L.; Pei, L.; Wang, J.; Bai, B.; Li, J.; Hu, K.; Gao, H. Synthetic photonic lantern characterization and power regulation with intensity superposition mode decomposition. Opt. Express 2024, 32, 22663–22674. [Google Scholar] [CrossRef] [PubMed]
- Wang, Y.; Tao, L.; Huang, X.; Shi, J.; Chi, N. 8-Gb/s RGBY LED-based WDM VLC system employing high-order CAP modulation and hybrid post equalizer. IEEE Photonics J. 2015, 7, 1–7. [Google Scholar]
- Yin, X.; Verbist, J.; De Keulenaer, T.; Moeneclaey, B.; Verbrugghe, J.; Qiu, X.-Z.; Bauwelinck, J. 25Gb/s 3-level burst-mode receiver for high serial rate TDM-PONs. In Proceedings of the Optical Fiber Communication Conference (OFC), Los Angeles, CA, USA, 22–26 March 2015; p. Th4H. 2. [Google Scholar]













Disclaimer/Publisher’s Note: The statements, opinions and data contained in all publications are solely those of the individual author(s) and contributor(s) and not of MDPI and/or the editor(s). MDPI and/or the editor(s) disclaim responsibility for any injury to people or property resulting from any ideas, methods, instructions or products referred to in the content. |
© 2025 by the authors. Licensee MDPI, Basel, Switzerland. This article is an open access article distributed under the terms and conditions of the Creative Commons Attribution (CC BY) license (https://creativecommons.org/licenses/by/4.0/).
Share and Cite
Hu, K.; Pei, L.; Wang, J.; Hu, Z.; Xu, W.; Zhang, L.; Li, J.; Zhong, L. L-Band Erbium-Doped Fiber Optimization and Transmission Investigation. Photonics 2025, 12, 480. https://doi.org/10.3390/photonics12050480
Hu K, Pei L, Wang J, Hu Z, Xu W, Zhang L, Li J, Zhong L. L-Band Erbium-Doped Fiber Optimization and Transmission Investigation. Photonics. 2025; 12(5):480. https://doi.org/10.3390/photonics12050480
Chicago/Turabian StyleHu, Kaihua, Li Pei, Jianshuai Wang, Zhouyi Hu, Wenxuan Xu, Long Zhang, Jing Li, and Li Zhong. 2025. "L-Band Erbium-Doped Fiber Optimization and Transmission Investigation" Photonics 12, no. 5: 480. https://doi.org/10.3390/photonics12050480
APA StyleHu, K., Pei, L., Wang, J., Hu, Z., Xu, W., Zhang, L., Li, J., & Zhong, L. (2025). L-Band Erbium-Doped Fiber Optimization and Transmission Investigation. Photonics, 12(5), 480. https://doi.org/10.3390/photonics12050480

