Next Article in Journal
Enhancing Optoelectronic Performance Through Rare-Earth-Doped ZnO: Insights and Applications
Next Article in Special Issue
Athermal Design of Star Tracker Optics with Factor Analysis on Lens Power Distribution and Glass Thermal Property
Previous Article in Journal
A Broadband Thin-Film Lithium Niobate Modulator Using an Electrode with Dual Slow-Wave Structures
 
 
Font Type:
Arial Georgia Verdana
Font Size:
Aa Aa Aa
Line Spacing:
Column Width:
Background:
Article

Ultra-Wide-Field Long-Wave Infrared System via Hybrid Refractive–Reflective Structure and Field of View Stitching

1
Shaanxi Key Laboratory of Optical Information Technology, Key Laboratory of Light Field Manipulation and Information Acquisition, Ministry of Industry and Information Technology, School of Physical Science and Technology, Northwestern Polytechnical University, Xi’an 710129, China
2
Shaanxi Key Laboratory of Optical Remote Sensing and Intelligent Information Processing, Xi’an 710119, China
*
Author to whom correspondence should be addressed.
Photonics 2025, 12(5), 453; https://doi.org/10.3390/photonics12050453
Submission received: 30 March 2025 / Revised: 27 April 2025 / Accepted: 6 May 2025 / Published: 7 May 2025
(This article belongs to the Special Issue Optical Systems and Design)

Abstract

To address the application demands of ultra-wide-field optical systems, we developed a compact, long-infrared waveband optical system using a field-of-view (FoV) stitching method. This system features a refractive–reflective hybrid structure, with the reflective pathway expanding the FoV and the refractive pathway employing germanium to correct field defects and aberrations. By stitching the FoVs of the two structures, we achieved an ultra-wide-field long-infrared-waveband imaging system over a range of 0°~190°, with an operational wavelength range of 8.7~11.5 μm. The system exhibits excellent imaging performance, with a modulation transfer function (MTF) exceeding 0.5 at 17 lp/mm, the blur spot remaining within the airy disk limit, and the energy concentration exceeding 60% at 15 μm: the tolerance design meets the imaging requirements. Additionally, the system maintains stable image quality within the temperature range of −20 °C~60 °C. The design offers excellent imaging quality, high design flexibility, good real-time performance, compact size, and low economic cost, providing an effective optical structure and realization strategy for ultra-wide-field imaging systems.

1. Introduction

With the rapid advancement of science and technology, the demand for visual information has surged across diverse fields, including scientific research, military defense, and industrial production. This increasing demand has intensified the need for ultra-wide-field imaging systems in contemporary optical imaging technologies. In astronomical observation, ultra-wide-field imaging systems can capture vast amounts of celestial information in a single frame, thereby aiding astronomers in unraveling the mysteries of the universe. In the military reconnaissance sector, these systems enable comprehensive battlefield monitoring and early warning capabilities. In machine vision, ultra-wide-field imaging systems significantly enhance the perception range and information processing abilities of industrial inspection and intelligent transportation systems. Notably, ultra-wide-field long-wave infrared optical systems (8.7~11.5 μm) used in military applications, with their exceptional detection capabilities and expansive imaging FoV, can effectively monitor and detect large areas under low-light or no-light conditions. These systems are thus crucial components in military optoelectronic instruments.
Traditional wide-field imaging optical systems typically employ solutions such as wide-field lenses, multi-lens combinations, or large-sized detectors to achieve broad fields of view. However, these approaches often result in increased system complexity and place stringent demands on detector performance. For example, Yang Shuwei designed a fisheye optical system with a 180° field of view (FoV), which effectively reduced image distortion and improved imaging quality by using four aspheric lenses, although the system is challenging to assemble and manufacture [1]. Ryu Seonho developed a fisheye lens with a 180° FoV and a numerical aperture of 0.75 by integrating two optical systems to achieve FoV switching, which expanded the imaging range, but the system is relatively complex [2]. Li Xijie designed an imaging spectrometer based on a fisheye lens, achieving an ultra-wide FoV of 180° and a working wavelength range of 0.629 μm~0.93 μm, expanding its application scenarios, but the system is relatively bulky, making integration and portable use challenging [3]. In the field of panoramic annular optical structures, Gao Shaohua designed a large-diameter panoramic annular lens with a vertical FoV of 0°~100° for the visible light spectrum by tilting the arrangement of two optical channels, effectively enhancing the annular imaging capability [4]. Yang Yingzhe proposed using Gaussian radial basis function freeform surfaces to achieve a vertical panoramic FoV of 30°~125°, a structure that is innovative but difficult to manufacture [5]. Dewen Cheng designed a dual-field panoramic imager with a vertical FoV of 270° using a panoramic annular lens and a stitching method, but the complex surface posed significant machining challenges [6]. Nichols developed a catadioptric periscope system with a FoV of (60°~100°) × 360° [7] using two reflective mirrors to achieve all-round surveillance, but the system’s optical path design is complex and requires precise alignment. Yang Shen designed a six-channel stitched long-wave infrared optical system with a vertical FoV of 110° based on mirror principles, incorporating mirrors to achieve a wide FoV with a simple structure, although blind spots remained [8].
Overall, current ultra-wide FoV imaging systems have made significant progress in structural innovation, imaging range, and application expansion, but there are still many shortcomings. Although fisheye and panoramic annular lenses can achieve ultra-large fields of view, their manufacturing and assembly processes are complex and costly due to the use of multiple aspheric designs or freeform surfaces [9]. Reflective optical systems also suffer from the problem of missing central FoV [10]. Furthermore, current ultra-wide-field long-wave infrared optical systems still exhibit structural flaws, such as low energy utilization efficiency, limited resolution, information loss, susceptibility to temperature variations, and imaging blind spots. These issues collectively restrict the practical application of such optical systems. Therefore, how to achieve a compact structure, easy fabrication, no blind spots, and efficient energy utilization in ultra-wide FoV imaging optical systems, while ensuring imaging quality and system stability, remains a core scientific and engineering challenge that urgently needs to be addressed.
To address these challenges, we propose a novel design solution that combines FoV stitching with a hybrid refractive–reflective optical structure, aiming to enhance the performance of ultra-wide-field long-wave infrared optical systems. Unlike fisheye systems that rely on multiple aspheric lenses, this design adopts a hybrid refractive–reflective dual-channel optical structure: one channel expands the FoV via a reflective optical path while the other uses refractive optical elements made entirely of germanium (Ge) to compensate for the viewing angle and effectively correct aberrations. The imaging fields of the two channels are precisely stitched together to achieve an ultra-wide-FoV infrared imaging system. Compared to approaches that rely solely on complex aspheric lens designs or multi-channel stitching, this design offers notable innovations: First, the hybrid structure reduces dependence on high-precision aspheric lenses, easing manufacturing and alignment challenges. Second, the dual-channel configuration enhances system flexibility and real-time responsiveness while better balancing image quality with compactness. Third, the use of all-Ge optics improves transmittance and imaging performance in the infrared band, enhancing environmental adaptability. Additionally, the system includes a thorough analysis of alignment errors and the impact of temperature variations on imaging quality, further ensuring stability and reliability.
In summary, compared to existing wide-field imaging solutions, this design not only innovates in structure and material selection but also shows significant advantages in system compactness, imaging continuity, manufacturing cost, and environmental adaptability. It provides new insights and effective pathways for the engineering and practical application of ultra-wide-field long-wave infrared imaging systems, addressing key limitations of current technologies.

2. Design Principles

2.1. Ultra-Wide-Field Imaging Optical Path Structure and Its Design Principles

The hybrid refractive–reflective imaging system consists of mirrors, a refractive lens group (comprising a front lens group and relay lenses), and a receiver, with the optical path structure illustrated in Figure 1. The front lens group is designed to receive and image light from the central, narrow FoV, while the mirrors capture and image light from the peripheral, wide FoV. The optical structure and surface shapes were optimized using ZEMAX software 18.9 Premium, and the two structures were ultimately stitched together to achieve ultra-wide-field imaging. Additionally, the relay lens group not only increases the number of optimization variables to enhance imaging quality but also effectively reduces the system size, thereby lowering development costs.
FoV stitching in optical systems is a technique that extends the overall FoV by combining multiple sub-fields or sub-images. As illustrated in Figure 1, ultra-wide-field imaging is achieved through the stitching of refractive and reflective structures. In this design, different optical channels are employed to simultaneously capture and image light from different FoV. The FoV stitching is realized by precisely matching the corresponding optical parameters, utilizing an off-axis stitching method. The FoV stitching process was implemented using ZEMAX optical design software, which enabled precise alignment of the refractive and reflective channels through parametric optimization and ray tracing simulations. Furthermore, this structure does not require specialized detectors, thereby reducing costs. In addition, this design avoids the use of beam-splitting prisms, which can cause reflection losses, thereby achieving high-efficiency light transmission and ensuring optimal utilization of optical energy. (Optical energy utilization refers to the ratio of transmitted optical power to incident optical power).

2.2. Athermalization Design for Optical Systems

Considering that infrared optical systems are commonly deployed in environments with significant temperature variations, temperature variations can cause optical components and mechanical parts to expand or contract. This results in changes to the optical parameters of the lenses, leading to a shift in the focal plane and degrading the system’s image quality. Therefore, athermal design is essential for infrared optical systems, ensuring that, under temperature fluctuations, the system’s performance simultaneously satisfies the lensmaker’s equation, the chromatic aberration equation, and the thermal aberration equation [11], as follows:
ϕ T = i = 1 k h i h 1 ϕ i = i = 1 k ϕ i
i = 1 k h i h 1 2 ϕ i v i = i = 1 k h i h 1 ω i h i h 1 ϕ i = i = 1 k ω i ϕ i = 0
d ϕ T d T = 1 h 1 i = 1 k h i T ϕ i + ϕ i T h i = a h ϕ T
where ϕ represents the total optical power of the system; ϕi represents the optical power of the i-th lens; hi denotes the incident height of the light at the i-th lens; ωi is the chromatic power; and T, Ti, C, and ah are the optical thermal aberration coefficient, mechanical thermal aberration coefficient, chromatic aberration coefficient, and coefficient of thermal expansion (CTE), respectively.
Considering the demands for structural simplicity in optical systems, this design employs optical passive athermalization technology. This approach leverages the differences in the CTE among various lens materials used in infrared optics. In athermal design, a combination of lens materials with different thermal expansion coefficients are selected. This method ensures that, across varying temperatures, the image plane displacement caused by temperature changes remains within the depth of focus. Consequently, it eliminates the thermal defocus issue of the optical system and ultimately achieves an athermal design. Given the large design FoV and short focal length, as well as its inherent insensitivity to temperature variations, the use of a single material can also compensate for the changes induced by temperature fluctuations. This further simplifies the design while maintaining robust performance across a wide temperature range.
In this design, Ge was chosen as the primary lens material due to its low coefficient of thermal expansion and high infrared transmittance. To further minimize CTE mismatch, the mechanical housing employs titanium alloy, which through material pairing simplifies the system while ensuring thermal stability.

3. Optical Design and Image Quality Evaluation

3.1. Optical Design

Based on the imaging performance and environmental requirements of a long-wave infrared optical system, the Xeva 320 series InGaAs detector from Lingyun Optoelectronics Co., Ltd. (Beijing, China) has been selected as the receiving device. The detector has a resolution of 320 × 256 pixels, with a pixel size of 30 μm. Utilizing this detector, the Nyquist frequency of the optical system can be calculated, with a cutoff frequency of R = 1/(2p) = 17 lp/mm (where p is the pixel size of the detector). The selected FoV meets the ultra-wide-coverage requirements for reconnaissance and detection, enabling blind-spot-free wide-angle imaging. The F-number balances light throughput and aberration control. The system operates in the infrared band. The MTF exceeds 0.4 at the cutoff frequency, satisfying the contrast resolution limit of the human eye. A higher encircled energy within the diffraction limit indicates greater optical efficiency and reduced energy loss. Instantaneous FoV non-uniformity is within ±5%, ensuring consistent detail resolution across the view. Considering the above factors, the technical specifications and parameter requirements of this optical system are summarized in Table 1.
Compared to the visible waveband, the range of available optical materials for the infrared waveband is relatively limited. Given the inverse relationship between focal length and FoV, the ultra-wide-field optical system in this design features a short focal length, while also requiring high thermal stability. Therefore, considering the high refractive index, wide infrared transmission range, low dispersion, and excellent processing performance of Ge, this optical system is constructed entirely from Ge.
In the design of the large FoV optical system, a spliced structure is adopted. The compact dual-channel catadioptric panoramic imaging system, patented with CN 112363308 A, is selected as the reference structure. This structure is divided into an ultra-wide-field channel and a forward channel, with a full FoV of 130°. Based on this structural form and the associated parameter specifications, the FoV is further extended, resulting in the construction of two preliminary structures: Structure 1 with a full FoV ranging from 0° to 40° and Structure 2 with a full FoV ranging from 40° to 190°.
Using the ZEMAX optical design software, the effective tracing of the dual-channel optical path is achieved through gradual optimization of the structure. The final optical path diagram and optical parameters of the ultra-wide-field optical system are shown in Figure 2 and Table 2.
The even-order aspherical surface profile employed in the optical system can be expressed as follows [12]:
z = c r 2 1 + 1 ( 1 + k ) c 2 r 2 + a 1 r 2 + a 2 r 4 + a 3 r 6 + a 4 r 8
where z is the coordinate along the optical axis, r is the radial distance, c is the curvature, k is the conic constant, and a1, a2, a3, and a4 are the aspherical coefficients of the second, fourth, sixth, and eighth orders, respectively. The aspherical parameters are shown in Table 3.
Based on the even-order aspherical surface parameters in Table 3, simulation software was used to model the aspherical cross-sectional curve of the refractive system, with the results shown in Figure 3.
As shown in Table 3 and Figure 3, the six even-order aspherical lens apertures employed in the system are appropriately sized, with the maximum order selected being the eighth-order coefficient. The curvature of the surface changes smoothly, without any abrupt transitions or discontinuities, thus meeting the manufacturing standards. Finally, after the design was completed, a flat lens was used in the system to coat a filter membrane, thereby reducing the impact of stray light on the final image quality of the detector.

3.2. Image Quality Evaluation

As illustrated in Figure 4, the MTF curves for the forward channel and ultra-wide-field channel structures are presented. The system’s cutoff frequency is observed to be at 17 lp/mm. The MTF values for Structure 1 and Structure 2 are greater than 0.5 and 0.6, respectively, both exceeding 0.4. The smooth and compact nature of the curves indicates that the system maintains excellent imaging quality.
As depicted in Figure 5, the system’s point spread function (PSF) is illustrated, with the RMS radii for both structures being within the airy disk radius (21.92 μm for Structure 1 and 21.93 μm for Structure 2) and the detector pixel size (30 μm). It is evident that the sizes of the diffraction spots across all wavelengths nearly overlap. Across the entire FoV both structures demonstrate exceptional optical performance.
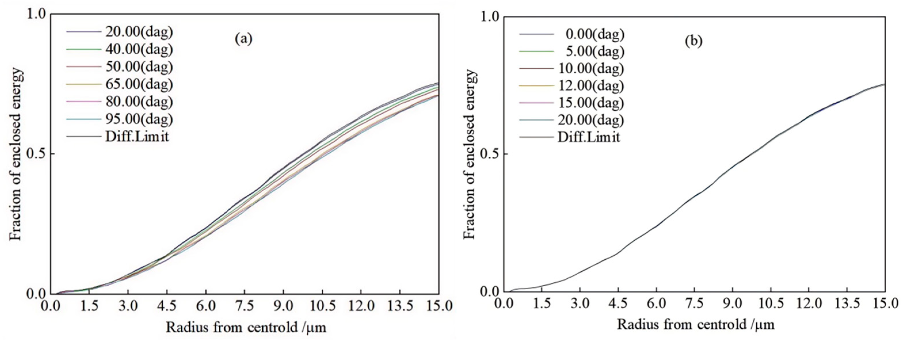
As depicted in Figure 6, the energy convergence of the system is illustrated. The diffraction ring energy for both structures at a radius of 15 μm exceeds 60%, indicating efficient energy concentration and high optical performance.
The capability of the infrared optical system to resolve details is measured using the instantaneous FoV (IFOV) non-uniformity. The smaller the value of the spatial resolution, the better the detection performance of the optical system. The calculation formula is given by the following:
IFOV = l f
where l represents the image plane spacing of the optical system and f represents the focal length of the optical system. Based on this, the IFOV for each FoV is calculated and plotted as a curve, as shown in Figure 7. It can be observed that the maximum deviation of the angular resolution across the full FoV is within 0.9%, indicating that the optical system has excellent detail resolution capability.

3.3. Tolerance Analysis

To ensure the feasibility of practical engineering applications, a comprehensive tolerance analysis was conducted on the designed ultra-wide-field system, and the results of this analysis were used to validate the manufacturing and assembly processes [13]. Set the initial tolerance data according to the tolerance level table in Table 4, where Q1 to Q8 represent tolerance levels ranging from strict to loose. Starting from Q4, the corresponding values are entered into the default tolerance table for tolerance analysis. By examining the generated textual data, the primary tolerances that lead to unsatisfactory results are appropriately tightened. This process is repeated until the surface and component tolerance values for the system are determined, as shown in Table 5 and Table 6.
After establishing the tolerance thresholds, the efficiency tolerance analysis tool in ZEMAX software was employed to verify their rationality. To ensure the accuracy and persuasiveness of the assessment report, the MTF was selected as the evaluation criterion, and sensitivity analysis was chosen as the analysis mode. The precision of the results improves with the number of Monte Carlo runs, which was set to 200 in this case. The analysis results are shown in Table 7.
It can be observed that under this tolerance setting, 90% of the images have an MTF greater than 0.4 at 17 lp/mm, indicating that the tolerance setting is reasonable.

3.4. Thermalization Analysis

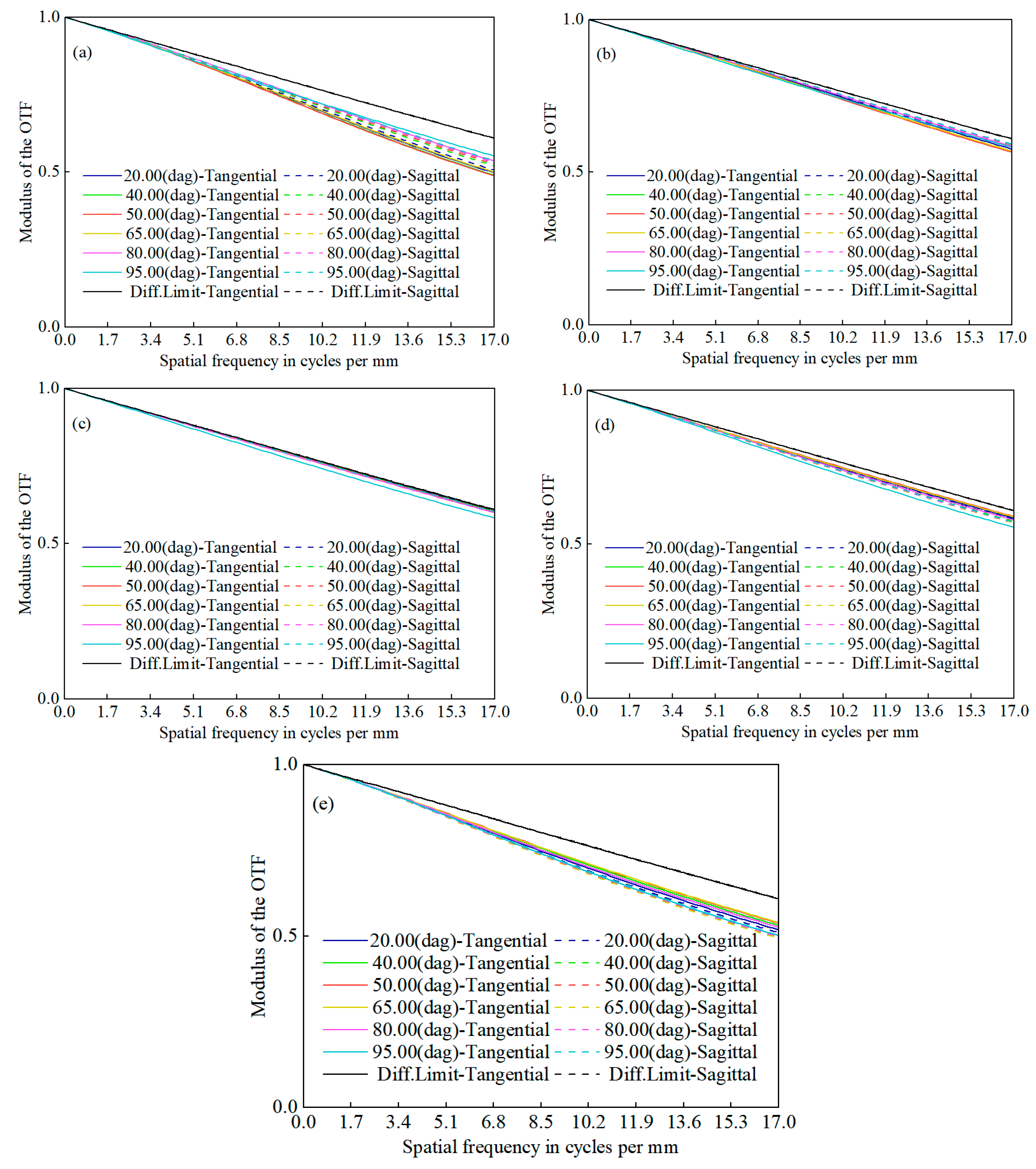
Finally, to meet practical application requirements, a thermal-insensitive design was implemented for the optical system within the temperature range of −20 °C to 60 °C. The process for thermal-insensitive design is as follows: ① Select multiple structures, create structures for different temperatures, set the thermal expansion coefficient of the lens barrel, and update the evaluation function. ② Choose appropriate parameters as variables and perform optimization. ③ Compare the results with system specifications, assess the outcome, and if the requirements are not met, repeat steps ② and ③. After completing the thermal-insensitive design, the MTF curves for Structure 1 and Structure 2 are presented in Figure 8 and Figure 9, respectively.
It is evident that while the optical system exhibits minor fluctuations across the entire temperature range, the overall performance at 17 lp/mm remains above the required specification of greater than 0.4. This consistent performance ensures good image quality and thus satisfies the system’s thermal-insensitive design requirements.

4. Discussion

Conventional ultra-wide-field systems, like fisheye and panoramic annular lenses, can achieve large fields of view but suffer from complex structures, high manufacturing difficulty, central field loss, or low energy efficiency. For example, Davide Greggio’s dual-focus panoramic lens achieves a 100° vertical field. Still, it is complex and difficult to manufacture [14], while James B. Johnson’s multispectral annular lens simplifies the structure but still has blind spots [15]. In contrast, this study uses field stitching technology to match the optical parameters of reflective and refractive channels precisely, eliminating blind spots and achieving efficient aberration correction and energy concentration with an all-Ge refractive path. The system achieves MTF > 0.5 at 17 lp/mm, with spot sizes controlled within the airy disk, resulting in better image quality. Regarding thermal adaptability, unlike existing infrared systems that rely on active temperature control or complex compensation mechanisms due to thermal expansion, this design employs a passive athermal approach. It maintains an MTF > 0.4 from −20 °C to 60 °C, simplifying the structure, reducing costs, and providing a feasible solution for practical applications in harsh environments.
The optical system designed in this study has significant application potential across various fields. In military reconnaissance, the 190° FoV combined with long-wave infrared all-weather detection enables large-scale battlefield monitoring and early warning, especially for covert surveillance in low-light or no-light environments. In industrial inspection and intelligent transportation, the system’s compactness and ultra-wide angle enhance machine vision’s perception range, enabling panoramic monitoring in complex production lines or traffic hubs. In astronomy, the ultra-wide FoV aids in capturing broad celestial phenomena, providing high-resolution data for studies on dark matter distribution or transient celestial bodies.
In summary, this design opens new paths for wide-field imaging needs in military, industrial, and research fields through its high performance, compactness, and cost-effectiveness. Future research can focus on expanding the FoV, environmental adaptability, and intelligent integration to further promote the practical and multifunctional development of ultra-wide-field optical systems.

5. Conclusions

In response to the application requirements of ultra-wide-field long-wave infrared optical systems, an ultra-wide-field infrared optical system has been designed using the FoV stitching method. The system employs a catadioptric optical structure, combining refractive and reflective elements to achieve exceptional imaging performance. The design results demonstrate that the MTF values at 17 lp/mm exceed 0.5 and 0.6, with the maximum RMS radius being 5.726 μm. Considering the feasibility of actual manufacturing, a comprehensive tolerance analysis was conducted and the results indicate that the optical system meets the stringent manufacturing requirements of the optical design. Furthermore, the system maintains good image quality through thermal-insensitive design within the temperature range of −20 °C to 60 °C. The design results demonstrate that the system excels in imaging quality, design flexibility, real-time performance, compactness, and cost-effectiveness, showcasing significant advantages in practical applications and providing an effective optical structural design solution for the demands of ultra-wide-field imaging optical systems.

Author Contributions

Conceptualization and funding acquisition, S.M.; methodology, Y.W.; funding acquisition, J.Z. All authors have read and agreed to the published version of the manuscript.

Funding

This research received support from the National Natural Science Foundation of China (62375222, 61927810, 61905195), the Shaanxi Fundamental Science Research Project for Mathematics and Physics (22JSQ025), and the Open Research Fund of Shaanxi Key Laboratory of Optical Remote Sensing and Intelligent Information Processing (KF20230101).

Institutional Review Board Statement

Not applicable.

Informed Consent Statement

Not applicable.

Data Availability Statement

Data are contained within the article.

Conflicts of Interest

The authors declare no conflicts of interest.

References

  1. Yang, S.W.; Huang, K.L.; Chang, R.S. Design of Fisheye Lens; Joint Poster Session: Heidelberg, Baden-Württemberg, Germany, 2016. [Google Scholar]
  2. Seonho, R.; Jaemyung, R.; Hojong, C. Fisheye lens design for solar-powered mobile ultrasound devices. Technol. Health Care. 2022, 30, 243–250. [Google Scholar]
  3. Li, X.J.; Li, Y.; Fu, D.; Feng, Y.T. Design of all-sky airglow imaging spectrometers in the middle and upper atmosphere. Optik 2023, 287, 171087. [Google Scholar] [CrossRef]
  4. Gao, S.H.; Tsyganok, E.; Xu, X.P. Design of a compact dual-channel panoramic annular lens with a large aperture and high resolution. Appl. Opt. 2021, 60, 3094–3102. [Google Scholar] [CrossRef] [PubMed]
  5. Yang, Y.Z.; Wang, J.; Li, Y.J.; Bai, J. Design of a panoramic annular lens system with an ultra-wide angle via an annular gaussian radial basis function freeform surface. Appl. Opt. 2023, 62, 3941–3947. [Google Scholar] [CrossRef] [PubMed]
  6. Cheng, D.; Gong, C.; Xu, C.; Wang, Y. Design of an ultrawide angle catadioptric lens with an annularly stitched aspherical surface. Opt. Express. 2016, 24, 2664–2677. [Google Scholar] [CrossRef] [PubMed]
  7. Nichols, J.M.; Waterman, J.R.; Menon, R.; Devitt, J. Modeling and analysis of a high-performance midwave infrared panoramic periscope. Opt. Eng. 2010, 49, 113202. [Google Scholar] [CrossRef]
  8. Shen, Y.; Wang, H.; Xue, Y.K.; Song, Y.; Xie, Y.J. Design and realizition of catadioptric long wave infrared multiscale optical system. Infrared Phys. Technol. 2022, 123, 104111. [Google Scholar]
  9. Chen, L.; Yuan, Q.; Ye, J.; Xu, N.; Cao, X.; Gao, Z. Design of a compact dual-view endoscope based on a hybrid lens with annularly stitched aspheres. Opt. Commun. 2019, 453, 124346. [Google Scholar] [CrossRef]
  10. Yan, Y.; Sasian, J. Photographic zoom fisheye lens design for DSLR cameras. Opt. Eng. 2017, 56, 095103. [Google Scholar] [CrossRef]
  11. Bai, Y.; Xing, T.; Jiang, Y. A catadioptric infrared dual band optically passive athermal optical system. Opt. Rev. 2017, 24, 325–333. [Google Scholar] [CrossRef]
  12. Kim, K.H.; Kim, Y.S.; Park, S.C. Design of a tele-centric wide field lens with high relative illumination and low distortion using third-order aberration analysis. J. Opt. Soc. Korea. 2015, 19, 679–686. [Google Scholar] [CrossRef]
  13. Peng, X.; Kong, L. Design of a real-time fiber-optic infrared imaging system with wide-angle and large depth of field. Chin. Opt. Lett. 2022, 20, 011201. [Google Scholar] [CrossRef]
  14. Greggio, D.; Martini, P.; Simioni, E.; Rebrysh, O.; Scaccabarozzi, D.; Corti, M.G.; Palmenberg, A.M.D.; Saggin, B.; Lessio, L.; Pernechele, C. Opto-mechanical design of a bifocal panoramic lens for space applications. In Proceedings of the Conference on Space Telescopes and Instrumentation—Optical, Infrared, and Millimeter Wave, Yokohama, Japan, 16–22 June 2024; pp. 2414–2422. [Google Scholar]
  15. Johnson, J.B.; Brown, J. Multi-spectral panoramic annular lens. In Proceedings of the Conference on Advanced Optics for Imaging Applications, UV Through LWIR VII, Orlando, FL, USA, 3 April 2022; p. 1210302. [Google Scholar]
Figure 1. Diagram of the principle of catadioptric imaging system.
Figure 1. Diagram of the principle of catadioptric imaging system.
Photonics 12 00453 g001
Figure 2. Ultra-wide-field optical system optical path tracing diagram. (a) Structure 1: ultra-wide-field channel; (b) Structure 2: front passage; (c) combined system.
Figure 2. Ultra-wide-field optical system optical path tracing diagram. (a) Structure 1: ultra-wide-field channel; (b) Structure 2: front passage; (c) combined system.
Photonics 12 00453 g002
Figure 3. Cross-sectional curves of even aspherical surfaces.
Figure 3. Cross-sectional curves of even aspherical surfaces.
Photonics 12 00453 g003
Figure 4. MTF curves of two structures of optical system.(a) Structure 1: ultra-wide-field channel; (b) structure 2: forward access.
Figure 4. MTF curves of two structures of optical system.(a) Structure 1: ultra-wide-field channel; (b) structure 2: forward access.
Photonics 12 00453 g004
Figure 5. Point diagram of two structures of an optical system. (a) Structure 1: ultra-wide-field channel; (b) Structure 2: forward access.
Figure 5. Point diagram of two structures of an optical system. (a) Structure 1: ultra-wide-field channel; (b) Structure 2: forward access.
Photonics 12 00453 g005
Figure 6. Diffraction energy of two structures in an optical system. (a) Structure 1: ultra-wide-field channel; (b) Structure 2: forward access.
Figure 6. Diffraction energy of two structures in an optical system. (a) Structure 1: ultra-wide-field channel; (b) Structure 2: forward access.
Photonics 12 00453 g006
Figure 7. Detector energy diagram of each FoV.
Figure 7. Detector energy diagram of each FoV.
Photonics 12 00453 g007
Figure 8. MTF curves at multiple temperatures for Structure 1. (a) T = −20 °C; (b) T = 0 °C; (c) T = 20 °C; (d) T = 40 °C; (e) T = 60 °C.
Figure 8. MTF curves at multiple temperatures for Structure 1. (a) T = −20 °C; (b) T = 0 °C; (c) T = 20 °C; (d) T = 40 °C; (e) T = 60 °C.
Photonics 12 00453 g008
Figure 9. MTF curves at multiple temperatures for Structure 2. (a) T = −20 °C; (b) T = 0 °C; (c) T = 20 °C; (d) T = 40 °C; (e) T = 60 °C.
Figure 9. MTF curves at multiple temperatures for Structure 2. (a) T = −20 °C; (b) T = 0 °C; (c) T = 20 °C; (d) T = 40 °C; (e) T = 60 °C.
Photonics 12 00453 g009
Table 1. Design index of ultra-wide-angle optical system.
Table 1. Design index of ultra-wide-angle optical system.
ParameterIndex
Maximum angle of view/°190
F-number1.8
Working waveband/μm8.7~11.5
MTF@17lp/mm>0.4
Diffraction encircled energy@15 μm/%≥60
IFOV inhomogeneity/%≤±5
Table 2. Parameters of optical system.
Table 2. Parameters of optical system.
Surface No.Surface TypeRadius of Curvature/mmThickness/mmGlass
Structure 1ObjectStandardinfinityinfinity
S2Even asphere−54.82586.48MIRROR
S3Standard10.7883.67GE
S4Standard10.7282.22
StopStandardinfinity2.29
S6Standard−10.0034.38GE
S7Standard−11.8260.22
S8Even asphere10.6212.06GE
S9Even asphere9.4590.87
S10Standardinfinity3.58GE
S11Standardinfinity4.16
Structure 2S12Standard−40.0005.00
S13Even asphere−30.9032.83GE
S14Even asphere−176.7974.50
S15Even asphere−39.6453.90GE
S16Even asphere−47.37096.00
ImageStandardinfinity
Table 3. Parameters of the aspheric surface.
Table 3. Parameters of the aspheric surface.
Surface No.Conic4th Order Term6th Order Term8th Order Term
2−0.3140.0000.0000.000
8−1.253−2.359 × 10−46.177 × 10−6−5.213 × 10−7
9−11.1481.052 × 10−3−7.886 × 10−51.029 × 10−6
1327.8242.649 × 10−5−2.758 × 10−60.000
14372.189−4.405 × 10−5−4.429 × 10−60.000
15−9.9032.497 × 10−51.500 × 10−60.000
16−6.4078.331 × 10−61.159×10−60.000
Table 4. Modern optical processing grade table.
Table 4. Modern optical processing grade table.
LevelRadius/FringeThickness/mmZernike Irregularity/FringeTilt/(′)Decenter/mm
Q10.50.010.10.170.001
Q210.010.10.30.003
Q310.01250.250.50.005
Q420.0250.250.80.008
Q520.03750.510.01
Q630.050.51.50.03
Q730.075120.05
Q830.1230.08
Table 5. Surface tolerances.
Table 5. Surface tolerances.
Tolerance TypeValue
Radius/fringe1
Thickness/mm0.02
Decenter X/mm0.008
Decenter Y/mm0.008
Tilt X/(°)0.0133
Tilt Y/(°)0.0133
Zernike irregularity/fringe0.1
Table 6. Element tolerances.
Table 6. Element tolerances.
Tolerance TypeValue
Decenter X/mm0.008
Decenter Y/mm0.008
Tilt X/(°)0.0133
Tilt Y/(°)0.0133
Table 7. Tolerance analysis results.
Table 7. Tolerance analysis results.
Structure 1Structure 2
90%>0.4387450690%>0.59285105
80%>0.4512319880%>0.59807769
50%>0.4865333050%>0.60489982
20%>0.5229465520%>0.61208204
10%>0.5323623010%>0.61568271
Disclaimer/Publisher’s Note: The statements, opinions and data contained in all publications are solely those of the individual author(s) and contributor(s) and not of MDPI and/or the editor(s). MDPI and/or the editor(s) disclaim responsibility for any injury to people or property resulting from any ideas, methods, instructions or products referred to in the content.

Share and Cite

MDPI and ACS Style

Wang, Y.; Mao, S.; Zhao, J. Ultra-Wide-Field Long-Wave Infrared System via Hybrid Refractive–Reflective Structure and Field of View Stitching. Photonics 2025, 12, 453. https://doi.org/10.3390/photonics12050453

AMA Style

Wang Y, Mao S, Zhao J. Ultra-Wide-Field Long-Wave Infrared System via Hybrid Refractive–Reflective Structure and Field of View Stitching. Photonics. 2025; 12(5):453. https://doi.org/10.3390/photonics12050453

Chicago/Turabian Style

Wang, Yiruo, Shan Mao, and Jianlin Zhao. 2025. "Ultra-Wide-Field Long-Wave Infrared System via Hybrid Refractive–Reflective Structure and Field of View Stitching" Photonics 12, no. 5: 453. https://doi.org/10.3390/photonics12050453

APA Style

Wang, Y., Mao, S., & Zhao, J. (2025). Ultra-Wide-Field Long-Wave Infrared System via Hybrid Refractive–Reflective Structure and Field of View Stitching. Photonics, 12(5), 453. https://doi.org/10.3390/photonics12050453

Note that from the first issue of 2016, this journal uses article numbers instead of page numbers. See further details here.

Article Metrics

Back to TopTop