Impact of Non-Vertical Sidewalls on Bandgap Properties of Lithium Niobate Photonic Crystals
Abstract
1. Introduction
2. Design and Characterization
3. Manipulating the Impact of Sidewall Angles
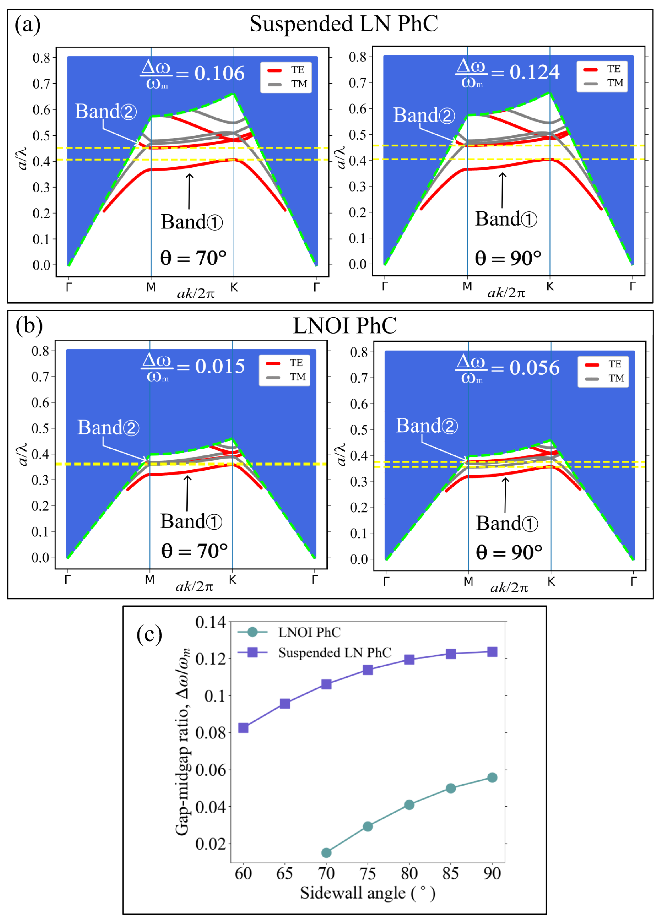
4. Conclusions
Author Contributions
Funding
Institutional Review Board Statement
Informed Consent Statement
Data Availability Statement
Conflicts of Interest
References
- Zhu, D.; Shao, L.; Yu, M.; Cheng, R.; Desiatov, B.; Xin, C.; Hu, Y.; Holzgrafe, J.; Ghosh, S.; Shams-Ansari, A.; et al. Integrated photonics on thin-film lithium niobate. Adv. Opt. Photonics 2021, 13, 242–352. [Google Scholar] [CrossRef]
- Qi, Y.; Li, Y. Integrated lithium niobate photonics. Nanophotonics 2020, 9, 1287–1320. [Google Scholar] [CrossRef]
- Weis, R.; Gaylord, T. Lithium niobate: Summary of physical properties and crystal structure. Appl. Phys. A 1985, 37, 191–203. [Google Scholar] [CrossRef]
- Jia, Y.; Wang, L.; Chen, F. Ion-cut lithium niobate on insulator technology: Recent advances and perspectives. Appl. Phys. Rev. 2021, 8, 011307. [Google Scholar] [CrossRef]
- Poberaj, G.; Hu, H.; Sohler, W.; Guenter, P. Lithium niobate on insulator (LNOI) for micro-photonic devices. Laser Photonics Rev. 2012, 6, 488–503. [Google Scholar] [CrossRef]
- Honardoost, A.; Abdelsalam, K.; Fathpour, S. Rejuvenating a versatile photonic material: Thin-film lithium niobate. Laser Photonics Rev. 2020, 14, 2000088. [Google Scholar] [CrossRef]
- Zhang, M.; Wang, C.; Cheng, R.; Shams-Ansari, A.; Lončar, M. Monolithic ultra-high-Q lithium niobate microring resonator. Optica 2017, 4, 1536–1537. [Google Scholar] [CrossRef]
- Wu, R.; Wang, M.; Xu, J.; Qi, J.; Chu, W.; Fang, Z.; Zhang, J.; Zhou, J.; Qiao, L.; Chai, Z.; et al. Long low-loss-litium niobate on insulator waveguides with sub-nanometer surface roughness. Nanomaterials 2018, 8, 910. [Google Scholar] [CrossRef]
- Arab Juneghani, F.; Gholipour Vazimali, M.; Zhao, J.; Chen, X.; Le, S.T.; Chen, H.; Ordouie, E.; Fontaine, N.K.; Fathpour, S. Thin-Film Lithium Niobate Optical Modulators with an Extrapolated Bandwidth of 170 GHz. Adv. Photonics Res. 2023, 4, 2200216. [Google Scholar] [CrossRef]
- Wang, C.; Zhang, M.; Chen, X.; Bertrand, M.; Shams-Ansari, A.; Chandrasekhar, S.; Winzer, P.; Lončar, M. Integrated lithium niobate electro-optic modulators operating at CMOS-compatible voltages. Nature 2018, 562, 101–104. [Google Scholar] [CrossRef]
- He, M.; Xu, M.; Ren, Y.; Jian, J.; Ruan, Z.; Xu, Y.; Gao, S.; Sun, S.; Wen, X.; Zhou, L.; et al. High-performance hybrid silicon and lithium niobate Mach–Zehnder modulators for 100 Gbit s- 1 and beyond. Nat. Photonics 2019, 13, 359–364. [Google Scholar] [CrossRef]
- Zhang, Y.; Shen, J.; Li, J.; Wang, H.; Feng, C.; Zhang, L.; Sun, L.; Xu, J.; Liu, M.; Wang, Y.; et al. High-speed electro-optic modulation in topological interface states of a one-dimensional lattice. Light. Sci. Appl. 2023, 12, 206. [Google Scholar] [CrossRef]
- Mookherjea, S.; Mere, V.; Valdez, F. Thin-film lithium niobate electro-optic modulators: To etch or not to etch. Appl. Phys. Lett. 2023, 122, 120501. [Google Scholar] [CrossRef]
- Li, M.; Ling, J.; He, Y.; Javid, U.A.; Xue, S.; Lin, Q. Lithium niobate photonic-crystal electro-optic modulator. Nat. Commun. 2020, 11, 4123. [Google Scholar] [CrossRef]
- Wang, Y.; Yao, Y.; Zhang, H.; Liu, B.; Duan, S.; Lin, W. An electrically controlled tunable photonic crystal filter based on thin-film lithium niobate. Optoelectron. Lett. 2024, 20, 200–204. [Google Scholar] [CrossRef]
- Ge, R.; Yan, X.; Liang, Z.; Li, H.; Wu, J.; Liu, X.; Chen, Y.; Chen, X. Large quality factor enhancement based on cascaded uniform lithium niobate bichromatic photonic crystal cavities. Opt. Lett. 2023, 48, 113–116. [Google Scholar] [CrossRef]
- Liang, H.; Luo, R.; He, Y.; Jiang, H.; Lin, Q. High-quality lithium niobate photonic crystal nanocavities. Optica 2017, 4, 1251–1258. [Google Scholar] [CrossRef]
- Shi, C.; Yuan, J.; Luo, X.; Shi, S.; Lu, S.; Yuan, P.; Xu, W.; Chen, Z.; Yu, H. Transmission characteristics of multi-structure bandgap for lithium niobate integrated photonic crystal and waveguide. Opt. Commun. 2020, 461, 125222. [Google Scholar] [CrossRef]
- Chen, G.; Wang, H.; Chen, B.; Ruan, Z.; Guo, C.; Chen, K.; Liu, L. Compact slow-light waveguide and modulator on thin-film lithium niobate platform. Nanophotonics 2023, 12, 3603–3611. [Google Scholar] [CrossRef]
- Zhang, J.; Pan, B.; Liu, W.; Dai, D.; Shi, Y. Ultra-compact electro-optic modulator based on etchless lithium niobate photonic crystal nanobeam cavity. Opt. Express 2022, 30, 20839–20846. [Google Scholar] [CrossRef]
- Wang, S.; Zhao, J.; Gu, J.; Bu, M.; Fan, L.; Li, S.; Qin, X.; Yao, Y.; Ren, Y.; Wang, L. LiNbO3 channel and ridge waveguides based on helium ion implantation combined with lithography and precise diamond dicing. Chin. Opt. Lett. 2022, 20, 071301. [Google Scholar] [CrossRef]
- Volk, M.F.; Suntsov, S.; Rüter, C.E.; Kip, D. Low loss ridge waveguides in lithium niobate thin films by optical grade diamond blade dicing. Opt. Express 2016, 24, 1386–1391. [Google Scholar] [CrossRef] [PubMed]
- Si, G.; Danner, A.J.; Teo, S.L.; Teo, E.J.; Teng, J.; Bettiol, A.A. Photonic crystal structures with ultrahigh aspect ratio in lithium niobate fabricated by focused ion beam milling. J. Vac. Sci. Technol. B 2011, 29, 021205. [Google Scholar] [CrossRef]
- Burr, G.; Diziain, S.; Bernal, M.P. The impact of finite-depth cylindrical and conical holes in lithium niobate photonic crystals. Opt. Express 2008, 16, 6302–6316. [Google Scholar] [CrossRef]
- Cai, L.; Han, H.; Zhang, S.; Hu, H.; Wang, K. Photonic crystal slab fabricated on the platform of lithium niobate-on-insulator. Opt. Lett. 2014, 39, 2094–2096. [Google Scholar] [CrossRef]
- Lin, J.; Yao, N.; Hao, Z.; Zhang, J.; Mao, W.; Wang, M.; Chu, W.; Wu, R.; Fang, Z.; Qiao, L.; et al. Broadband quasi-phase-matched harmonic generation in an on-chip monocrystalline lithium niobate microdisk resonator. Phys. Rev. Lett. 2019, 122, 173903. [Google Scholar] [CrossRef]
- Chen, D.; Muhammad, S.; Huang, W.; Zheng, X.; Wen, G.; Huang, Y. Parameter investigations on lithium-niobate-based photonic crystal optomechanical cavity. Results Phys. 2023, 48, 106458. [Google Scholar] [CrossRef]
- Geiss, R.; Diziain, S.; Iliew, R.; Etrich, C.; Hartung, H.; Janunts, N.; Schrempel, F.; Lederer, F.; Pertsch, T.; Kley, E.B. Light propagation in a free-standing lithium niobate photonic crystal waveguide. Appl. Phys. Lett. 2010, 97, 131109. [Google Scholar] [CrossRef]
- Shen, B.; Hu, D.; Dai, C.; Yu, X.; Tan, X.; Sun, J.; Jiang, J.; Jiang, A. Advanced etching techniques of LiNbO3 nanodevices. Nanomaterials 2023, 13, 2789. [Google Scholar] [CrossRef]
- Zhang, X.; Liu, Y.; Han, J.; Kivshar, Y.; Song, Q. Chiral emission from resonant metasurfaces. Science 2022, 377, 1215–1218. [Google Scholar] [CrossRef]
- Wang, J.; Li, P.; Zhao, X.; Qian, Z.; Wang, X.; Wang, F.; Zhou, X.; Han, D.; Peng, C.; Shi, L.; et al. Optical bound states in the continuum in periodic structures: Mechanisms, effects, and applications. Photonics Insights 2024, 3, R01. [Google Scholar] [CrossRef]
- He, W.; Wang, Y. Enhancement of second-harmonic generation in a lithium niobate metasurface by exploring the bound states in the continuum. Opt. Express 2024, 32, 39415–39428. [Google Scholar] [CrossRef] [PubMed]
- Chen, Y.; Deng, H.; Sha, X.; Chen, W.; Wang, R.; Chen, Y.H.; Wu, D.; Chu, J.; Kivshar, Y.S.; Xiao, S.; et al. Observation of intrinsic chiral bound states in the continuum. Nature 2023, 613, 474–478. [Google Scholar] [CrossRef] [PubMed]
- Joannopoulos, J.D.; Johnson, S.G.; Winn, J.N.; Meade, R.D. Photonic Crystals. In Molding the Flow of Light, 2nd ed.; Princeton University Press: Princeton, NJ, USA, 2008. [Google Scholar] [CrossRef]






Disclaimer/Publisher’s Note: The statements, opinions and data contained in all publications are solely those of the individual author(s) and contributor(s) and not of MDPI and/or the editor(s). MDPI and/or the editor(s) disclaim responsibility for any injury to people or property resulting from any ideas, methods, instructions or products referred to in the content. |
© 2025 by the authors. Licensee MDPI, Basel, Switzerland. This article is an open access article distributed under the terms and conditions of the Creative Commons Attribution (CC BY) license (https://creativecommons.org/licenses/by/4.0/).
Share and Cite
Bagheri, P.; Zhou, X.; Zhang, L. Impact of Non-Vertical Sidewalls on Bandgap Properties of Lithium Niobate Photonic Crystals. Photonics 2025, 12, 410. https://doi.org/10.3390/photonics12050410
Bagheri P, Zhou X, Zhang L. Impact of Non-Vertical Sidewalls on Bandgap Properties of Lithium Niobate Photonic Crystals. Photonics. 2025; 12(5):410. https://doi.org/10.3390/photonics12050410
Chicago/Turabian StyleBagheri, Peyman, Xiaoyan Zhou, and Lin Zhang. 2025. "Impact of Non-Vertical Sidewalls on Bandgap Properties of Lithium Niobate Photonic Crystals" Photonics 12, no. 5: 410. https://doi.org/10.3390/photonics12050410
APA StyleBagheri, P., Zhou, X., & Zhang, L. (2025). Impact of Non-Vertical Sidewalls on Bandgap Properties of Lithium Niobate Photonic Crystals. Photonics, 12(5), 410. https://doi.org/10.3390/photonics12050410
