Next Article in Journal
Design and Processing of Hard and Self-Lubricating NiCr/hBN-cBN Composite Coatings by Laser Cladding: Investigation of Microstructure, Hardness, and Wear
Previous Article in Journal
A Reconfigurable 1x2 Photonic Digital Switch Controlled by an Externally Induced Metasurface
 
 
Font Type:
Arial Georgia Verdana
Font Size:
Aa Aa Aa
Line Spacing:
Column Width:
Background:
Article

A Generalized Floquet Hamiltonian Method for Dispersive Photonic Time Crystals

by
Guangquan Lu
and
Neng Wang
*
State Key Laboratory of Radio Frequency Heterogeneous Integration, College of Electronics and Information Engineering, Shenzhen University, Shenzhen 518060, China
*
Author to whom correspondence should be addressed.
Photonics 2025, 12(3), 264; https://doi.org/10.3390/photonics12030264
Submission received: 17 February 2025 / Revised: 10 March 2025 / Accepted: 12 March 2025 / Published: 13 March 2025

Abstract

We present a generalized Floquet Hamiltonian method for dispersive photonic time crystals (PTCs), a class of time-varying media with time-periodic plasma frequencies and damping rates. Using the time-independent Floquet Hamiltonian method, we successfully obtained the quasienergy band dispersions of dispersive PTCs, which show excellent agreement with the temporal transfer matrix method (TTMM) results when applied to temporal multilayers. Furthermore, our approach overcomes the limitations of TTMM by handling arbitrary time interfaces and providing access to both right and left eigenstates, enabling deeper insights into the properties of PTCs. Ultimately, our method significantly advances the analytical and numerical investigations into dispersive time-varying media.

1. Introduction

Photonic time crystals (PTCs) [1,2,3,4], a class of photonic time-varying media with time-periodic constitutive parameters, have recently garnered significant attention for their innovative capabilities in manipulating electromagnetic waves, particularly in non-Hermitian [5,6,7,8,9] and topological [10,11,12,13] contexts. While previous theoretical studies often neglected material dispersion for simplicity, its effects are typically too significant to ignore in optical media exhibiting pronounced time-varying behavior, such as metal semiconductors [14,15], laser-induced plasmas [16,17], and dielectric resonators with Kerr nonlinearity [18]. Additionally, causality necessitates that material dispersion be accounted for when material losses are present [19,20,21]. Recent research has also shown that dispersive time-varying media function under unique wave equations and boundary conditions [22,23], resulting in distinctive physical phenomena [24,25,26]. Consequently, incorporating dispersion into PTCs is not only essential but also opens up a vast realm of new physical phenomena waiting to be explored.
In the study of time-varying media, the finite-difference time-domain (FDTD) method and the temporal transfer matrix method (TTMM) are two widely employed tools for numerical simulations. While the FDTD is purely numerical, the semi-analytical TTMM offers greater efficiency and accuracy, particularly for simulating wave propagation in isotropic [27], anisotropic [28], and chiral [29] temporal multilayers. Recently, we extended the TTMM framework from nondispersive time-varying media to Lorentz dispersive cases [30], successfully obtaining the band structures of Lorentz dispersive temporal multilayers. However, the TTMM is ineffective when the photonic time interface is not step-like, limiting its applicability. Furthermore, the TTMM primarily addresses the transmission and reflection of optical waves, rather than the eigenstates of time-varying materials or their interactions.
In this work, we developed a generalized Floquet Hamiltonian method for dispersive photonic time crystals (PTCs) that accommodate any type of photonic time interface. The time-independent Floquet Hamiltonian, represented as an infinite-dimensional square matrix, describes the stroboscopic evolution of optical waves. It is derived from the time-dependent Schrödinger-like wave equation and can take on different mathematical forms depending on the choice of the complete orthonormal basis in the Floquet Hilbert space. Using the Floquet Hamiltonian method, we obtained the quasienergy band dispersions of dispersive PTCs, which show excellent agreement with the temporal transfer matrix method (TTMM) results when PTCs are modeled as temporal multilayers. The right eigenstates of the Floquet Hamiltonian method describe the field profiles, while the left eigenstates, which cannot be directly obtained using other methods, enable the calculation of phase rigidities, Green functions, and topological invariants. Moreover, the Floquet Hamiltonian method provides a framework for clearer physical interpretation of interactions between eigenstates and facilitates the analytical analysis of optical properties. This method serves as a powerful theoretical tool for advancing the study of dispersive PTCs.

2. Theoretical Framework

A PTC composed of an isotropic Lorentz dispersive medium with time-periodic plasma frequency and damping rate is considered. The equation of the polarization charge is given as follows:
t t P ( t ) + γ ( t ) P ( t ) + ω 0 2 P ( t ) = ω p 2 ( t ) E ( t ) ,
where P ( t ) , E ( t ) are the complex amplitudes polarization charge and electric field, assumed to be polarized along the x direction without loss of generality, ω 0 is the resonant frequency, and ω p ( t ) = ω p ( t + 2 π / Ω ) , γ ( t ) = γ ( t + 2 π / Ω ) are time-periodic plasma frequency and damping rate, respectively, with Ω being the temporal modulation frequency. Although the resonant frequency is assumed to be static, we stress that the proposed Floquet Hamiltonian method can be applied to the case where resonant frequency is dynamic. Additionally, when ω 0 approaches zero, the medium reduces to the Drude-type medium.
Supposing the medium is unbounded, the wavenumber k is conserved due to spatial homogeneity. Thus, the Maxwell’s equations for a plane wave mode with a space-dependent e i k z are expressed as follows:
i t [ E ( t ) + P ( t ) ] = i z H ( t ) = k H ( t ) ,   i t H ( t ) = i z E ( t ) = k E ( t ) ,
where   H ( t ) is the magnetic field polarized along the y direction. In Equation (2) and henceforth, we set the vacuum permittivity ε 0 and permeability μ 0 as unities for simplicity. Combining Equations (1) and (2), and employing the Liouvillian formulation, we obtain the following Schrodinger-like eigenvalue equation as follows:
i t ψ = H ^ ( t ) ψ ,
where ψ = ( E , H , P , t P ) T is the Floquet state, and H ^ ( t ) is the time-dependent Hamiltonian, The latter is expressed as follows:
H ^ ( t ) = 0 k 0 i k 0 0 0 0 0 0 i i ω p 2 ( t ) 0 i ω 0 2 i γ ( t ) .
According to the Floquet theorem, the Floquet state is expressed as ψ = e i Q t ϕ , where Q is the quasienergy and ϕ ( t ) = ϕ ( t + 2 π / Ω ) is the time-periodic Floquet mode. The quasienergy Q serves as the temporal counterpart to Bloch wavenumbers in photonic crystals. Thus, Q does not represent the actual oscillation frequency of the electromagnetic fields but rather the effective frequency after one evolution period. Due to H ^ ( t ) periodicity, for any integer n, Q + n Ω for any integer n, is also a quasienergy of the PTC, causing the quasienergy band Q ( k ) to replicate itself in quasienergy space at intervals of n Ω [30].
Since ω p   and γ   are time-periodic, H ^ ( t ) can be further expanded as
H ^ ( t ) = n H ^ n e i n Ω t = H ^ 0 + n 0 ( γ n H ^ γ + A n H ^ t ) e i n Ω t ,
where
γ n = Ω 2 π 0 2 π / Ω γ ( t ) e i n Ω t d t , A n = Ω 2 π 0 2 π / Ω ω p 2 ( t ) e i n Ω t d t ,
are the Fourier expansion coefficients of γ ( t ) and ω p 2 ( t ) ,
H ^ 0 = 0 k 0 i k 0 0 0 0 0 0 i i A 0 0 i ω 0 2 i γ 0 ,
is the static part of H ^ ( t ) ,
H ^ γ = 0 0 0 0 0 0 0 0 0 0 0 0 0 0 0 i ,       H ^ t = 0 0 0 0 0 0 0 0 0 0 0 0 i 0 0 0
are two constant matrices.
The central idea of the Floquet Hamiltonian method is to use a complete set of orthonormal basis states α m ( t ) in the Floquet–Hilbert space to expand the Floquet state ψ and then transfer the time-dependent eigenvalue problem in Equation (3) into a time-independent one [5,6,31]. α m ( t ) can be constructed by combining an arbitrary complete set of orthonormal bases α in the Hilbert space with a complete set of time-periodic functions e i m Ω t , namely α m ( t ) = α e i m Ω t . α can represent the right eigenvectors of any 4 × 4 Hermitian matrix. Also, a new complete set of orthonormal bases can be constructed by applying a unitary transformation, U ^ α m ( t ) , where U ^ is an arbitrary unitary matrix. Therefore, α m ( t ) is not unique, resulting in the Floquet Hamiltonian being expressed in different mathematical forms.
We choose α j = ( δ 1 j , δ 2 j , δ 3 j , δ 4 j ) T as the complete set of orthonormal bases in the Hilbert space, where δ i j is the Kronecker delta function and j runs from 1 to 4. Then, the Floquet state ψ is expanded as
ψ = e i Q t j = 1 4 m = c j m α j e i m Ω t ,
where c j m represents the expansion coefficients. Substituting Equation (9) into Equation (3), and integrating the inner product α l e i n Ω t e i Q t from the left to both sides after achieving a time average, we obtain the following:
Ω 2 π 0 2 π / Ω d t e i ( m n ) Ω t j = 1 4 m = c j m ( Q m Ω ) α l α j = Ω 2 π 0 2 π / Ω d t e i ( m n ) Ω t j = 1 4 m = c j m α l H ^ ( t ) α j .
Substituting Equation (5) into Equation (10), and using the orthonormality α l α j = δ l j and integration Ω 2 π 0 2 π / Ω d t e i ( m n ) Ω t = δ m n , Equation (10) is transformed to the following:
δ m n j = 1 4 m = c j m ( Q m Ω ) δ l j = δ m n + n j = 1 4 m = c j m α l n H ^ n α j .
Equation (11) falls into a time-independent eigenvalue problem for the quasienergy Q as follows:
H ^ F ϑ = Q ϑ ,
where ϑ = { c j m } and
H ^ F = H ^ 0 + Ω H ^ 1 H ^ 2 H ^ 1 H ^ 0 H ^ 1 H ^ 2 H ^ 1 H ^ 0 Ω ,
By using Equations (10)–(13), we can obtain the quasienergy band dispersion Q ( k ) and the right eigenstates ϑ = { c j m } . Then, according to Equation (9), the Floquet eigenstates in the electromagnetic fields are obtained.
To facilitate the analysis of couplings between different modes in different harmonics, we impose a similarity transformation to Equation (3), such that H ^ 0 is diagonalized, as shown in the following:
i t R ^ 1 ψ = i t ψ = R ^ 1 H ^ R ^ R ^ 1 ψ = H ^ ψ ,
where ψ = R ^ 1 ψ , and
H ^ = R ^ 1 H ^ R ^ = H ^ 0 + n 0 ( γ n H ^ γ + A n H ^ t ) e i n Ω t .
A convenient choice of R ^ is
R ^ = ( φ 1 , φ 2 , φ 3 , φ 4 ) ,
where φ j are the right eigenstates of H ^ 0 , corresponding to the eigenfrequency ω j . Under this similarity transformation, H ^ 0 = R ^ 1 H ^ 0 R ^ = d i a g { ω 1 , ω 2 , ω 3 , ω 4 } . According to Equation (7), ω j is complex valued when γ 0 0 .
Similarly, expanding ψ in terms of α m ( t ) and using the inner product and time-averaging, the Floquet Hamiltonian in the new basis is expressed as
H ^ F = H ^ 0 + Ω H ^ 1 H ^ 2 H ^ 1 H ^ 0 H ^ 1 H ^ 2 H ^ 1 H ^ 0 Ω ,
where
H ^ m = Ω 2 π 0 2 π / Ω H ^ ( t ) e i m Ω t d t = H ^ 0 , m = 0 A m H ^ t + γ m H ^ γ , m 0 .
Although H ^ F and H ^ F have different mathematical expressions, they produce identical quasienergy bands and their eigenstates are correlated by a transformation ψ = R ^ 1 ψ . Compared to H ^ F , H ^ F offers a clearer physical interpretation. In the static limit where H ^ m 0 is null due to A m 0 = γ m 0 = 0 , only the diagonalized blocks H ^ 0 + n Ω remain. H ^ 0 + n Ω only produces bands that shifts H ^ 0 bands by n Ω in the quasienergy space. Therefore, H ^ 0 + n Ω represents the static Hamiltonian in the nth harmonic, while H ^ m for m 0 denote the coupling blocks between static bands in different harmonics.

3. Numerical Results

The validity of the Floquet Hamiltonian method can be verified using the temporal transfer matrix method [30] when the PTC exhibits step-like temporal boundaries. As an example, we consider that the PTC comprises two temporal sublayers (labeled as A and B) with equal time durations in each unit cell. In this scenario,
A 0 = 1 2 ( ω p A 2 + ω p B 2 ) , A m 0 = ( ω p B 2 ω p A 2 ) sin ( m π / 2 ) m π , γ 0 = 1 2 ( γ A + γ B ) , γ m 0 = ( γ B γ A ) sin ( m π / 2 ) m π ,
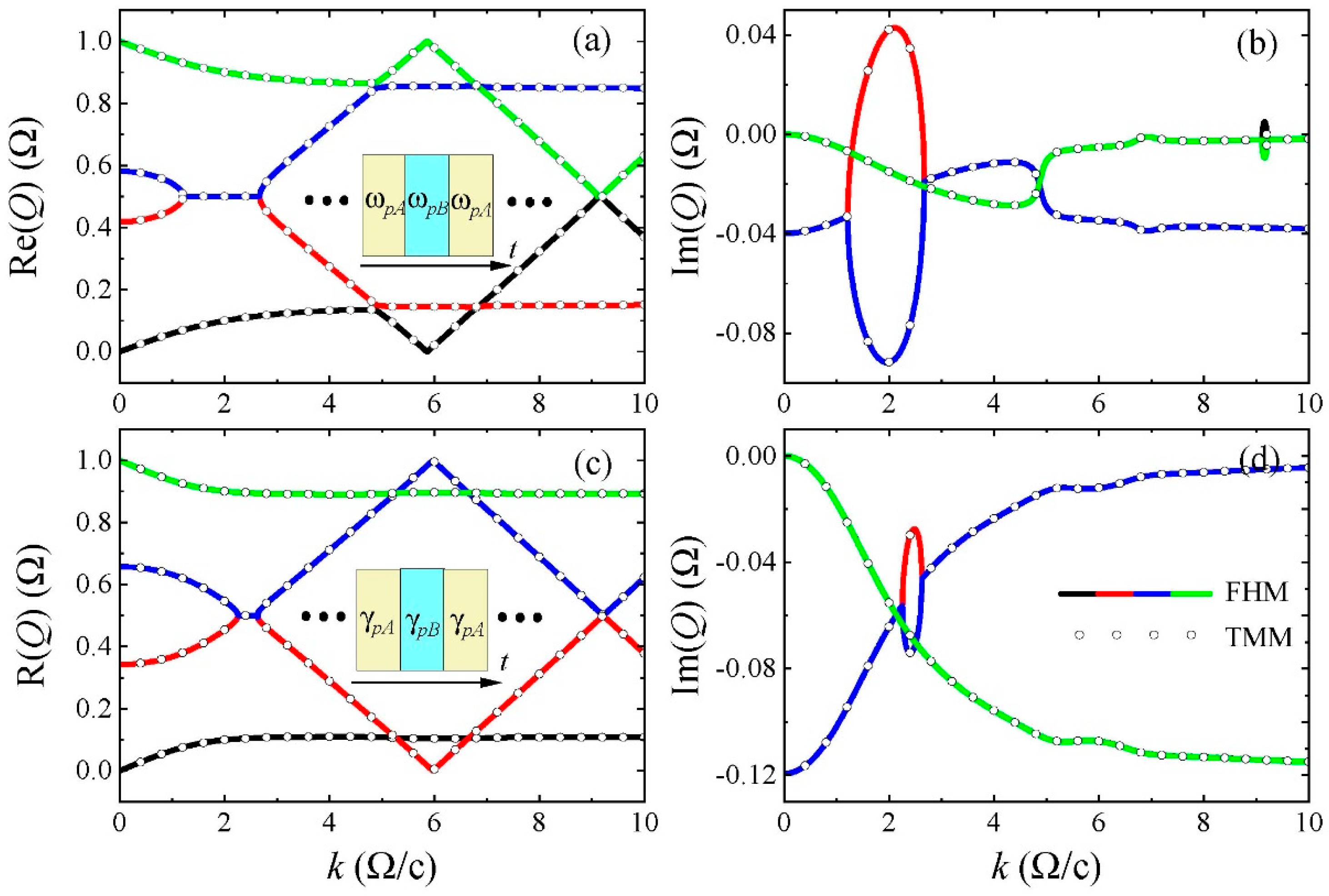
where ω p A , γ A ( ω p B , γ B ) are the plasma frequency and damping rate of layer A (B). In Figure 1a,b, the real and imaginary parts of quasienergy bands correspond to the scenario where the plasma frequencies in the two sublayers are different, while the damping rate is nonzero and time-invariant. In contrast, Figure 1c,d display the real and imaginary parts of the quasienergy bands when the damping rates in the two sublayers are different, while the plasma frequency remains static. The bands calculated by using the Floquet Hamiltonian (Equation (14) or Equation (20)) and the temporal transfer matrix method are shown in color lines and black circles, respectively. Evidently, the circles only fall on the lines, indicating the consistency between these two methods. In the calculations above and hereafter, the Floquet Hamiltonian method is truncated to a 36 × 36 matrix, with the block H ^ 0 ( H ^ 0 ) positioned at its center. This truncation ensures quasienergy band accuracy in the first Floquet zone.
Unlike the temporal transfer matrix method, which can only handle systems with step-like temporal boundaries, the proposed Floquet Hamiltonian method can also accommodate systems that evolve gradually over time. And in fact, the Floquet Hamiltonian method is valid for any time-periodic functions of ω p ( t ) , γ ( t ) and even ω 0 ( t ) . For example, we consider that ω p 2 and γ vary sinusoidally in time as ω p 2 ( t ) = A 0 + 1 2 A 1 cos ( Ω t ) , γ ( t ) = 1 2 γ 1 cos ( Ω t + δ ϕ ) , where δ ϕ represents the modulation phase difference between the damping rate and plasma frequency. Since γ 0 = 0 , the dispersive PTC exhibits a net zero damping rate in a time average. The plasma frequency and damping rate are modulated synchronously and asynchronously when δ ϕ = 0 , and δ ϕ 0 , respectively. According to Equations (6) and (16), H ^ n are null except H ^ 0 and
H ^ ± 1 = A 1 H ^ t + γ 1 e ± i δ ϕ H ^ γ .
Therefore, the Floquet Hamiltonian H ^ F is block tridiagonal and the couplings are primarily between harmonics that differ by 1 in their orders. According to Equation (20), the coupling blocks H ^ ± 1 depend on δ ϕ , causing the quasienergy bands to vary with δ ϕ .
In Figure 2a,b, we plot the quasienergy bands in the first Floquet zone for δ ϕ = 0 and δ ϕ = π / 2 , respectively. The parameters are set as A 0 = A 1 = 2 ω 0 2 and γ 1 = ω 0 . The solid and dotted lines represent the real and imaginary parts, respectively, with the same color indicating the same band. When δ ϕ = 0 , the quasienergy bands are entirely complex except at some isolated k points. In contrast, when δ ϕ = π / 2 , the quasienergy bands are entirely real except those inside the k-gap, as shown in Figure 2b. Moreover, the k-gap width is narrower than δ ϕ = 0 . From Equations (A1)–(A3) in the Appendix A, we observe that the H ^ 0 , H ^ t elements are all real, while the H ^ γ elements are imaginary. Therefore, when δ ϕ = 0 , the H ^ ± 1 elements become complex, causing the Floquet Hamiltonian H ^ F to be complex as well. As a result, the eigenvalues of H ^ F , also known as the quasienegies, are generally complex. However, when δ ϕ = π / 2 , the blocks H ^ ± 1 is real, as well as H ^ F . Hence, the quasienergies are either real or in complex conjugate pairs.
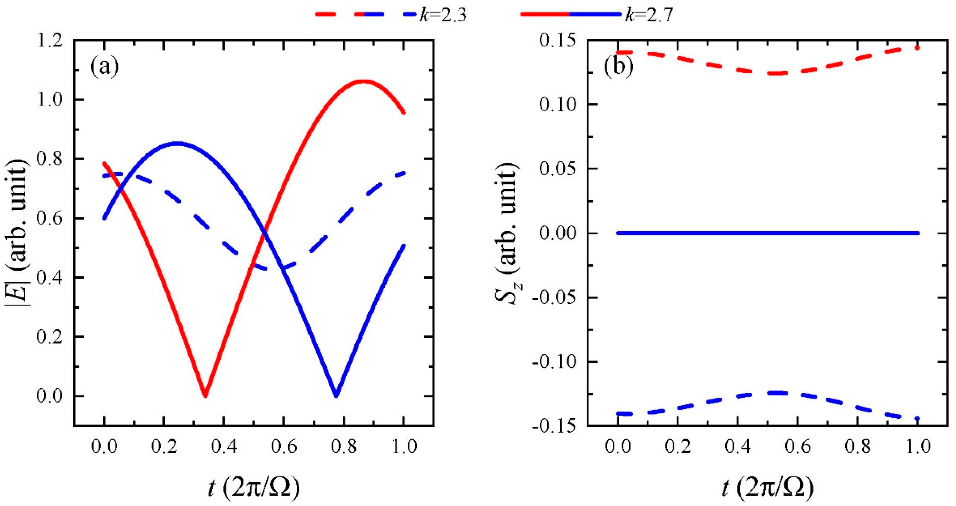
The electromagnetic fields for Floquet eigenstates are calculated according to Equation (9). We focused on the Floquet states of the second and third bands (red and blue lines in Figure 2a) at k = 2.3 Ω / c and k = 2.7 Ω / c , which are outside and within the first k-gap, respectively. The electric field amplitudes are plotted in Figure 3a. As shown with the dashed lines in Figure 3a, outside the k-gap, the electric field amplitudes increase slightly after a modulation time period, since the quasienergies possess a small positive imaginary part; see Figure 2a. In contrast, inside the k-gap, the electric amplitude for the second band is evidently enlarged, while that for the third band is reduced after a modulation time period, as shown with the solid lines in Figure 3a. This is inside the k-gap, because Im ( Q ) is positive for the second band while it is negative for the third band, as shown in Figure 2a, resulting in field-amplifying and decaying behaviors.
We also calculate the energy fluxes of the Floquet states, expressed as S z = 1 2 Re ( E H * ) , and plot them as functions of time in Figure 3b. For k = 2.3 Ω / c , the energy flux for the second band (red dashed line) is positive while that for the third band (blue dashed line) is negative at all times, indicating that the corresponding Floquet states are propagating forward and backward, respectively. This aligns with the sign of the group velocity, v g = ( Re ( Q ) ) / k , which is positive for the second band and negative for the third band, as shown in Figure 2a. On the other hand, the energy fluxes for the two bands inside the k-gap ( k = 2.7 Ω / c ) are both vanishing at all times, as shown with the solid lines in Figure 3b, indicating that the Floquet states are not propagative. This is also expected, since the real parts of quasienergy bands are flat inside the k-gap, as shown in Figure 2a, rendering zero group velocities.
Additionally, the Floquet Hamiltonian method can also be used for directly calculating the left eigenstates ϑ L , according to the following [32]
ϑ L H ^ F = Q ϑ L ,
which is unachievable for the temporal transfer matrix method. For the temporal transfer matrix method, an alternative method is to construct an adjoint system first, and then obtain the right eigenstates of the adjoint system as the left eigenstate of the original system [33]. The left eigenstates are necessary for calculating the phase rigidities [6] and topological invariants of bands [33], and the Green’s functions of the system [1,34].
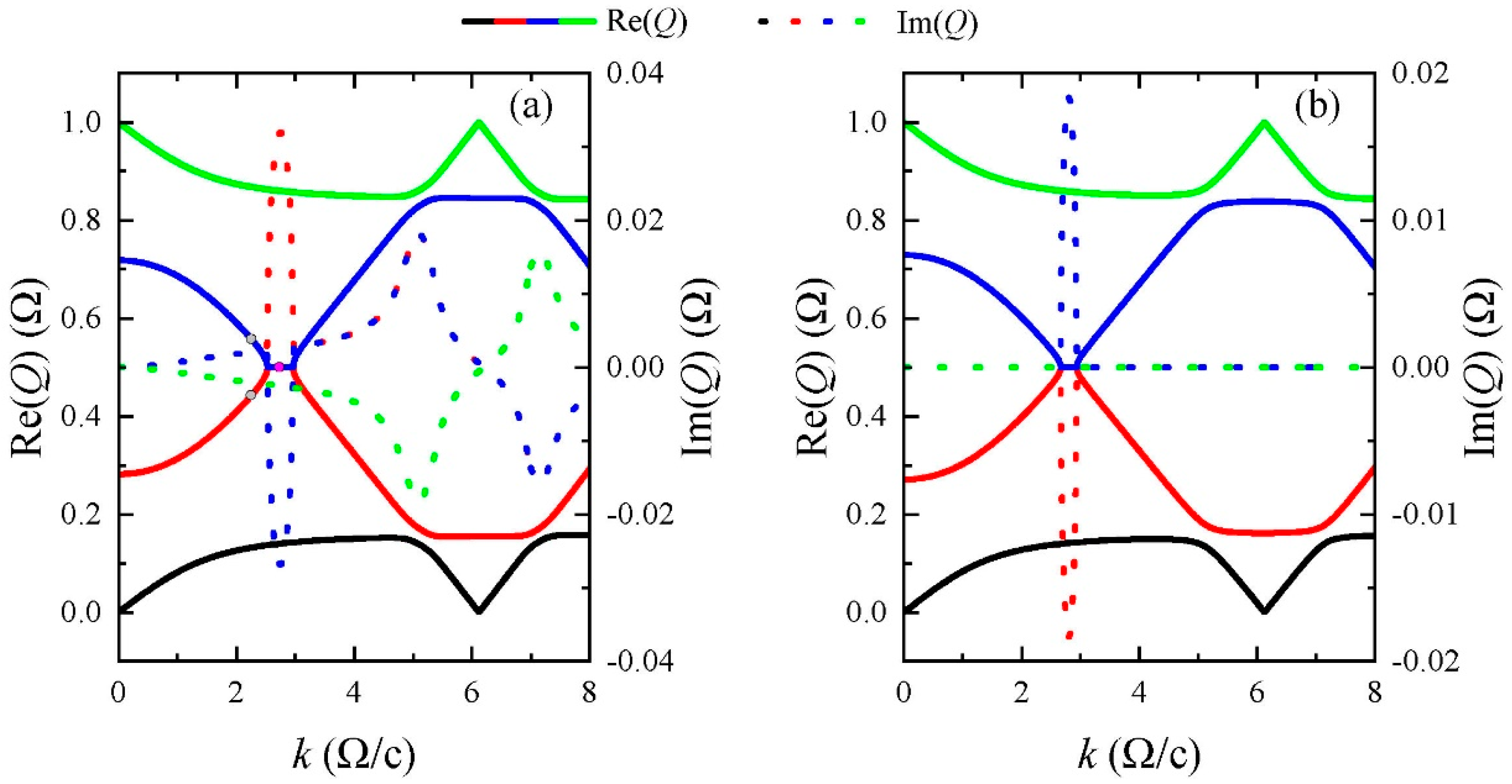
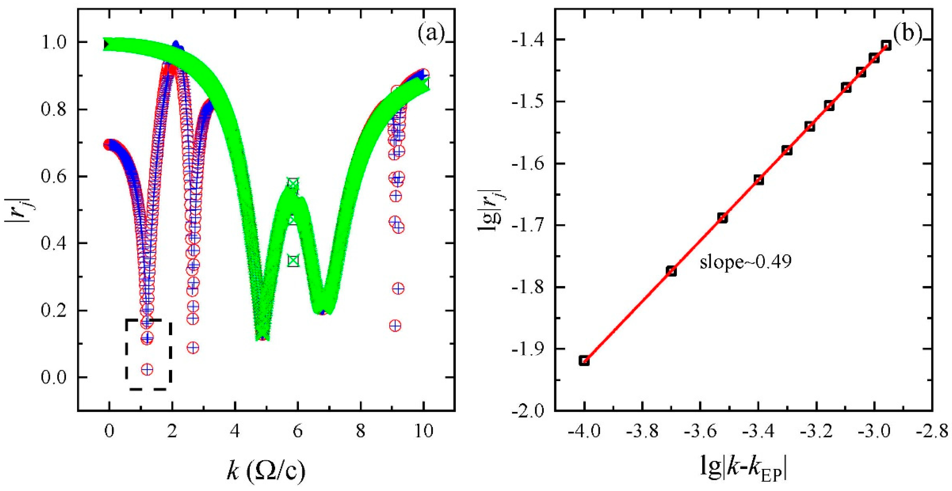
Figure 4a depicts the phase rigidities of the four bands in Figure 1a. The phase rigidity of the jth band is calculated as follows [32]
r j = ϑ j L ϑ j ϑ j ϑ j ϑ j L ϑ j L .
The phase rigidities vanish at the first k-gap edges, indicating that the two k-gap edges correspond to a pair of exceptional points. Moreover, the order of the exceptional points can be justified according to the scaling exponent of the phase rigidities. Figure 4b shows a log_log plot of the phase rigidities against the wavenumber deviation from the left k-gap edge. The plot exhibits excellent linearity, with a slope approximating 0.5, indicating that the exceptional point is of the second order.

4. Discussion

The emergence of EPs and k-gaps can be understood through the reduced Hamiltonian method [5], which only accounts for the coupling between two coalesced bands when they are well separated from other bands in the quasienergy space. This condition applies to the bands within the first k-gaps in Figure 1 and Figure 2. According to Equation (17), the reduced Hamiltonian in this case is given as follows:
H ^ r e d = ω 3 + Ω H 1 , 34 H 1 , 43 ω 4 ,
where H 1 , 34 is the element of the coupling matrix H ^ 1 in the third row and fourth column, while H 1 , 43 is the element of H ^ 1 in the fourth row and third column, and ω 3 , ω 4 are eigenfrequencies of H ^ 0 satisfying R e ( ω 3 + Ω ) R e ( ω 4 ) . When the damping rate is zero in the static case ( γ 0 = 0 ), using Equation (A3), we obtain the following:
H 1,34 = A 1 ω 4 2 K 0 + i γ 1 K 3 4 K 0 ,   H 1,43 = A 1 ω 4 2 K 0 + i γ 1 K 3 4 K 0 .  
It is worth noting that the plasma frequency ω p and damping rate γ are all purely real, which imposes the conditions A m = A m * , γ m = γ m * . It is evident that for either a nonzero A 1 (modulated plasma frequency) or a nonzero γ 1 (modulated damping rate), the coupling between the two band is non-Hermitian as ( H 1 , 34 ) * H 1 , 43 . This non-Hermitian coupling leads to the emergence of EPs. Additionally, when the two bands cross, the relation ω 4 = ω 3 Ω / 2 holds. Therefore, combining Equations (23), (24) and (A1), the quasienergies predicted by the reduced Hamiltonian are expressed as follows:
Q 3,4 Ω 2 ± τ ,
where
τ = γ 1 2 K 3 2 A 1 2 Ω 2 2 I m A 1 γ 1 K 3 Ω .
Since K 3 is real, τ is also real and generally negative, resulting in the quasienergies Q 3,4 forming a complex conjugate pair. The real parts of the k-gap are flat and positioned at the center of the first Floquet zone, consistent with the results shown in Figure 1 and Figure 2.
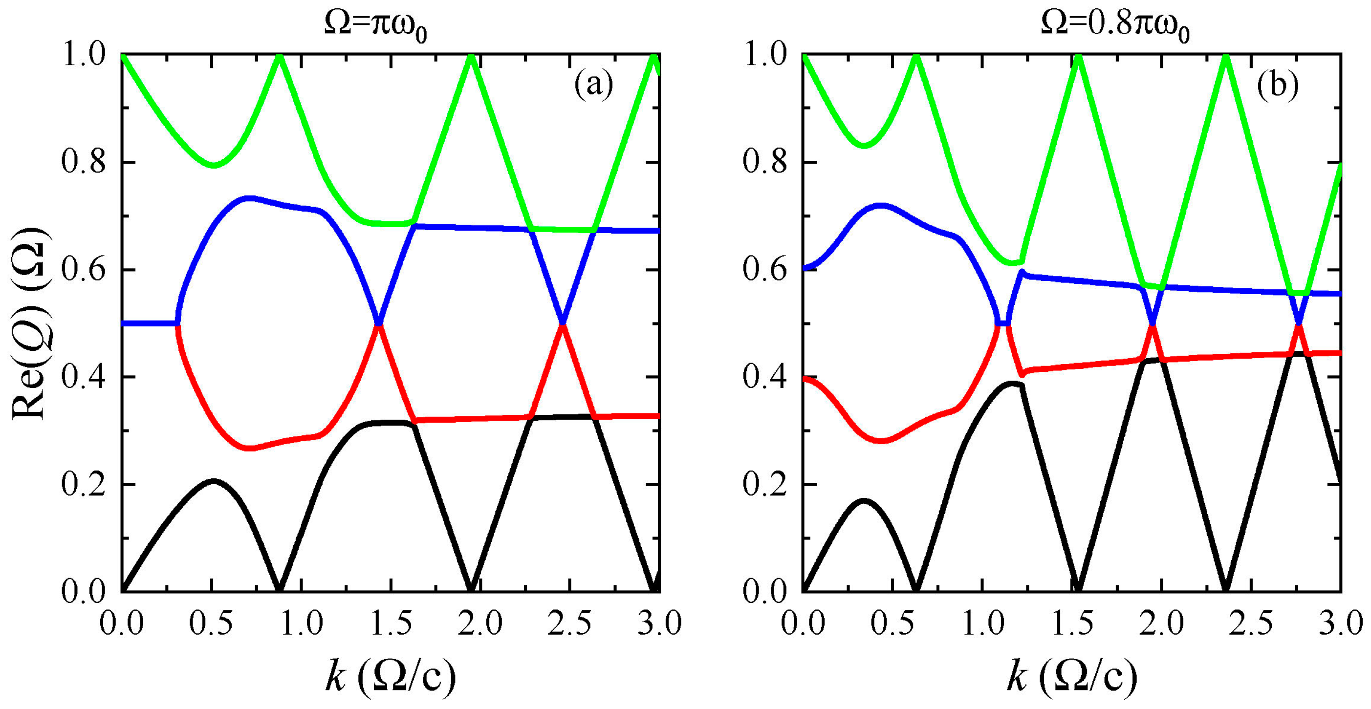
The Floquet Hamiltonian method is rigorous regardless of the modulation frequency amplitude, in contrast to the effective Hamiltonian method derived from the perturbation theory which is only applicable to high modulation frequencies [35]. However, as Ω decreases, the bands of different harmonics move closer together, resulting in more complex interactions. In this scenario, the Floquet Hamiltonian matrix must be truncated to a larger size to preserve accuracy, as interactions from higher harmonic bands can no longer be ignored. Furthermore, the quasienergy bands undergo significant changes. As illustrated in Figure 5a, when the modulation frequency decreases from 2 π ω 0 to π ω 0 , the first k-gap in Figure 2a shifts toward the small wavenumber region and merges with the k-gap at k < 0 , forming a wide k-gap. However, as the modulation frequency continues to decrease, this wide k-gap disappears, as shown in Figure 5b, and a large quasienergy band gap opens at k = 0. These findings demonstrate that both k-gaps and quasienergy gaps can be effectively controlled by tuning the modulation frequency.
The Floquet Hamiltonian method can also handle scenarios involving multiple time modulation periods, such as when the plasma frequency and damping rate modulate at different frequencies. However, this requires that all these modulation periods be contained within a larger, overarching period, as this method is only applicable to time-periodic systems.
Although the proposed Floquet Hamiltonian method is effective for analyzing quasienergy bands and Floquet modes, its efficiency decreases when dealing with time-varying media that involve temporal or spatial boundaries. The TTMM is more efficient for a medium with finite temporal layers [24]. However, in addition to the Floquet Hamiltonian analysis, a kick operator must be included to account for the scattering effects at the temporal boundaries [35]. Moreover, both the Floquet Hamiltonian method and TTMM are ineffective when the medium encounters a spatial boundary. In such cases, the FDTD method is nearly irreplaceable.

5. Conclusions

In summary, we developed a generalized Floquet Hamiltonian method for dispersive PTCs that can accommodate any type of photonic time interface. Using this method, we obtained the quasienergy bands, electromagnetic field profiles from the right eigenstates, and phase rigidities from the left eigenstates. This approach also provides a theoretical framework for analyzing Floquet eigenstates and band structures. Notably, while our work focuses on isotropic Lorentz or Drude types, this method can be directly extended to anisotropic scenarios by increasing the spatial dimension. In principle, the Floquet Hamiltonian can also be derived for other dispersion types once the polarization equation is established.

Author Contributions

Conceptualization, G.L. and N.W.; methodology, G.L. and N.W.; software, N.W.; validation, N.W.; formal analysis, N.W.; investigation, G.L.; resources, N.W.; data curation, G.L. and N.W.; writing—original draft preparation, N.W.; writing—review and editing, N.W.; visualization, N.W.; supervision, N.W.; project administration, N.W.; funding acquisition, N.W. All authors have read and agreed to the published version of the manuscript.

Funding

The authors acknowledge the support of the National Science Foundation of China through Grants No. 12174263.

Institutional Review Board Statement

Not applicable.

Informed Consent Statement

Not applicable.

Data Availability Statement

Data are contained with the article.

Conflicts of Interest

The authors declare no conflicts of interest.

Appendix A

In the case of the lossless limit, when γ 0 = 0 , the eigenfrequencies of H ^ 0 are
ω 1,2 , 3,4 = K 1 K 0 2 , K 1 + K 0 2 ,
where K 1 = k 2 + A 0 + ω 0 2 , K 0 = K 1 2 4 k 2 ω 0 2 . Since K 1 , K 0 are both positive and real for real k, and K 1 > K 0 , the eigenfrequencies ω 1,2 , 3,4 are all real. We also obtain the right eigenstates of H ^ 0 to construct the rotation matrix as follows:
R ^ = 1 K 2 K 3 2 i K 3 ω 1 2 i K 3 ω 2 i 2 K 2 ω 3 i 2 K 2 ω 4 2 i k K 3 2 i k K 3 2 i k K 2 2 i k K 2 i K 4 K 3 ω 1 i K 4 K 3 ω 2 i K 5 K 2 ω 3 i K 5 K 2 ω 4 K 2 K 3 K 2 K 3 K 2 K 3 K 2 K 3 ,
where K 2 = k 2 A 0 ω 0 2 + K 0 , K 3 = k 2 A 0 ω 0 2 K 0 , K 4 = k 2 A 0 + ω 0 2 + K 0 and K 5 = k 2 A 0 + ω 0 2 K 0 . Then, imposing the similarity transformation we obtain
H ^ γ = i 4 K 0 K 2 K 2 K 2 K 2 K 2 K 2 K 2 K 2 K 3 K 3 K 3 K 3 K 3 K 3 K 3 K 3 , H ^ t = 1 2 K 0 K 2 K 3 K 2 K 3 ω 2 K 2 K 3 ω 2 K 2 2 ω 4 K 2 2 ω 4 K 2 K 3 ω 2 K 2 K 3 ω 2 K 2 2 ω 4 K 2 2 ω 4 K 3 2 ω 2 K 3 2 ω 2 K 2 K 3 ω 4 K 2 K 3 ω 4 K 3 2 ω 2 K 3 2 ω 2 K 2 K 3 ω 4 K 2 K 3 ω 4 .

References

  1. Lyubarov, M.; Lumer, Y.; Dikopoltsev, A.; Lustig, E.; Sharabi, Y.; Segev, M. Amplified emission and lasing in photonic time crystals. Science 2022, 377, 425–428. [Google Scholar] [CrossRef] [PubMed]
  2. Wang, X.; Mirmoosa, M.S.; Asadchy, V.S.; Rockstuhl, C.; Fan, S.; Tretyakov, S.A. Metasurface-based realization of photonic time crystals. Sci. Adv. 2023, 9, eadg7541. [Google Scholar] [CrossRef] [PubMed]
  3. Saha, S.; Segal, O.; Fruhling, C.; Lustig, E.; Segev, M.; Boltasseva, A.; Shalaev, V.M. Photonic time crystals: A materials perspective. Opt. Express 2023, 31, 8267–8273. [Google Scholar] [CrossRef] [PubMed]
  4. Boltasseva, A.; Shalaev, V.M.; Segev, M. Photonic time crystals: From fundamental insights to novel applications: Opinion. Opt. Mater. Express 2024, 14, 592–597. [Google Scholar] [CrossRef]
  5. Wang, N.; Zhang, Z.Q.; Chan, C.T. Photonic Floquet media with a complex time-periodic permittivity. Phys. Rev. B 2018, 98, 085142. [Google Scholar] [CrossRef]
  6. Wang, N.; Hong, B.; Wang, G.P. Higher-order exceptional points and enhanced polarization sensitivity in anisotropic photonic time-Floquet crystals. Opt. Express 2024, 32, 40092–40107. [Google Scholar] [CrossRef]
  7. Park, J.; Cho, H.; Lee, S.; Lee, K.; Park, H.C.; Min, B. Revealing non-Hermitian band structure of photonic Floquet media. Sci. Adv. 2022, 8, eabo6220. [Google Scholar] [CrossRef]
  8. Li, H.; Yin, S.; Galiffi, E.; Alù, A. Temporal parity-time symmetry for extreme energy transformations. Phys. Rev. Lett. 2021, 127, 153903. [Google Scholar] [CrossRef]
  9. Koutserimpas, T.T.; Fleury, R. Nonreciprocal gain in non-Hermitian time-Floquet systems. Phys. Rev. Lett. 2018, 120, 087401. [Google Scholar] [CrossRef]
  10. Lustig, E.; Sharabi, Y.; Segev, M. Topological aspects of photonic time crystals. Optica 2018, 5, 1390–1395. [Google Scholar] [CrossRef]
  11. He, L.; Addison, Z.; Jin, J.; Mele, E.J.; Johnson, S.G.; Zhen, B. Floquet Chern insulators of light. Nat. Commun. 2019, 10, 4194. [Google Scholar] [CrossRef] [PubMed]
  12. Ren, Y.; Ye, K.; Chen, Q.; Chen, F.; Zhang, L.; Pan, Y.; Yang, Y. Observation of momentum-gap topology of light at temporal interfaces in a time-synthetic lattice. Nat. Commun. 2025, 16, 707. [Google Scholar] [CrossRef] [PubMed]
  13. Wang, B.; Quan, J.; Han, J.; Shen, X.; Wu, H.; Pan, Y. Observation of photonic topological Floquet time crystals. Laser Photonics Rev. 2022, 16, 2100469. [Google Scholar] [CrossRef]
  14. Lee, K.; Son, J.; Park, J.; Kang, B.; Jeon, W.; Rotermund, F.; Min, B. Linear frequency conversion via sudden merging of meta-atoms in time-variant metasurfaces. Nat. Photonics 2018, 12, 765–773. [Google Scholar] [CrossRef]
  15. Miyamaru, F.; Mizuo, C.; Nakanishi, T.; Nakata, Y.; Hasebe, K.; Nagase, S.; Dani, K.M. Ultrafast frequency-shift dynamics at temporal boundary induced by structural-dispersion switching of waveguides. Phys. Rev. Lett. 2021, 127, 053902. [Google Scholar] [CrossRef]
  16. Yablonovitch, E. Self-phase modulation of light in a laser-breakdown plasma. Phys. Rev. Lett. 1974, 32, 1101. [Google Scholar] [CrossRef]
  17. Lopes, N.C.; Figueira, G.; Dias, J.M.; O Silva, L.; Mendonça, J.T.; Balcou, P.; Rey, G.; Stenz, C. Laser pulse frequency up-shifts by relativistic ionization fronts. EPL 2004, 66, 371. [Google Scholar] [CrossRef]
  18. Dekker, R.; Driessen, A.; Wahlbrink, T.; Moormann, C.; Niehusmann, J.; Först, M. Ultrafast Kerr-induced all-optical wavelength conversion in silicon waveguides using 1.55 μm femtosecond pulses. Opt. Express 2006, 14, 8336–8346. [Google Scholar] [CrossRef]
  19. Mirmoosa, M.S.; Koutserimpas, T.T.; Ptitcyn, G.A.; A Tretyakov, S.; Fleury, R. Dipole polarizability of time-varying particles. New J. Phys. 2022, 24, 063004. [Google Scholar] [CrossRef]
  20. Solís, D.M.; Engheta, N. Functional analysis of the polarization response in linear time-varying media: A generalization of the Kramers-Kronig relations. Phys. Rev. B 2021, 103, 144303. [Google Scholar] [CrossRef]
  21. Hayran, Z.; Chen, A.; Monticone, F. Spectral causality and the scattering of waves. Optica 2021, 8, 1040–1049. [Google Scholar] [CrossRef]
  22. Solís, D.M.; Kastner, R.; Engheta, N. Time-varying materials in the presence of dispersion: Plane-wave propagation in a Lorentzian medium with temporal discontinuity. Photonics Res. 2021, 9, 1842–1853. [Google Scholar] [CrossRef]
  23. Bakunov, M.I.; Shirokova, A.V.; Kurnikov, M.A.; Maslov, A.V. Light scattering at a temporal boundary in a Lorentz medium. Opt. Lett. 2021, 46, 4988–4991. [Google Scholar] [CrossRef] [PubMed]
  24. Feng, F.; Wang, N.; Wang, G.P. Lorentzian dispersive antireflection temporal coatings with multiple time durations. Opt. Lett. 2023, 48, 4328–4331. [Google Scholar] [CrossRef]
  25. Rasekh, P.; Saliminabi, M.; Yildirim, M.; Boyd, R.W.; Ménard, J.-M.; Dolgaleva, K. Propagation of broadband THz pulses: Effects of dispersion, diffraction and time-varying nonlinear refraction. Opt. Express 2020, 28, 3237–3248. [Google Scholar] [CrossRef]
  26. Rizza, C.; Vincenti, M.A.; Castaldi, G.; Contestabile, A.; Galdi, V.; Scalora, M. Harnessing the natural resonances of time-varying dispersive interfaces. Phys. Rev. Lett. 2024, 133, 186902. [Google Scholar] [CrossRef]
  27. Ramaccia, D.; Alù, A.; Toscano, A.; Bilotti, F. Temporal multilayer structures for designing higher-order transfer functions using time-varying metamaterials. Appl. Phys. Lett. 2021, 118, 101901. [Google Scholar] [CrossRef]
  28. Xu, J.; Mai, W.; Werner, D.H. Generalized temporal transfer matrix method: A systematic approach to solving electromagnetic wave scattering in temporally stratified structures. Nanophotonics 2022, 11, 1309–1320. [Google Scholar] [CrossRef]
  29. Yang, D.; Xu, J.; Werner, D.H. A generalized temporal transfer matrix method and its application to modeling electromagnetic waves in time-varying chiral media. Appl. Phys. Lett. 2023, 122, 251102. [Google Scholar] [CrossRef]
  30. Feng, F.; Wang, N.; Wang, G.P. Temporal transfer matrix method for Lorentzian dispersive time-varying media. Appl. Phys. Lett. 2024, 124, 101701. [Google Scholar] [CrossRef]
  31. Eckardt, A.; Anisimovas, E. High-frequency approximation for periodically driven quantum systems from a Floquet-space perspective. New J. Phys. 2015, 17, 093039. [Google Scholar] [CrossRef]
  32. Rotter, I. A non-Hermitian Hamilton operator and the physics of open quantum systems. J. Phys. A Math. Theor. 2009, 42, 153001. [Google Scholar] [CrossRef]
  33. Gao, X.; Zhao, X.; Wang, J.; Ma, X.; Dong, T. Topological invariant of non-Hermitian space-time modulated photonic crystals. arXiv 2024, arXiv:2412.20636. [Google Scholar] [CrossRef]
  34. Park, J.; Lee, K.; Zhang, R.Y.; Park, H.C.; Ryu, J.W.; Cho, G.Y.; Min, B. Spontaneous emission decay and excitation in photonic temporal crystals. arXiv 2024, arXiv:2404.13287. [Google Scholar]
  35. Goldman, N.; Dalibard, J. Periodically driven quantum systems: Effective Hamiltonians and engineered gauge fields. Phys. Rev. X 2014, 4, 031027. [Google Scholar] [CrossRef]
Figure 1. Quasienergy band dispersions in the first Floquet zone 0 Re ( Q ) Ω calculated using the Floquet Hamiltonian method (FHM) and the temporal transfer matrix method (TMM). (a) The real parts of the quasienergy bands for an AB lattice with alternating plasma frequencies. γ A = 0.5 ω 0 , ω p A = ω 0 , Ω = 2 π ω 0 ; (b) The imaginary parts of the quasienergy bands for an AB lattice with alternating plasma frequencies. γ B = 0.5 ω 0 , ω p B = 3 ω 0 , Ω = 2 π ω 0 ; (c) The real parts of the quasienergy bands for an AB lattice with damping rates. γ A = 0.5 ω 0 , ω p A = 2 ω 0 , Ω = 2 π ω 0 ; (d) The imaginary parts of the quasienergy bands for an AB lattice with damping rates. γ B = 2.5 ω 0 , ω p B = 2 ω 0 , Ω = 2 π ω 0 .
Figure 1. Quasienergy band dispersions in the first Floquet zone 0 Re ( Q ) Ω calculated using the Floquet Hamiltonian method (FHM) and the temporal transfer matrix method (TMM). (a) The real parts of the quasienergy bands for an AB lattice with alternating plasma frequencies. γ A = 0.5 ω 0 , ω p A = ω 0 , Ω = 2 π ω 0 ; (b) The imaginary parts of the quasienergy bands for an AB lattice with alternating plasma frequencies. γ B = 0.5 ω 0 , ω p B = 3 ω 0 , Ω = 2 π ω 0 ; (c) The real parts of the quasienergy bands for an AB lattice with damping rates. γ A = 0.5 ω 0 , ω p A = 2 ω 0 , Ω = 2 π ω 0 ; (d) The imaginary parts of the quasienergy bands for an AB lattice with damping rates. γ B = 2.5 ω 0 , ω p B = 2 ω 0 , Ω = 2 π ω 0 .
Photonics 12 00264 g001
Figure 2. Quasienergy bands for PTCs with sinusoidal modulated plasma frequency and damping rate. The parameters used are ω p 2 ( t ) = 2 ω 0 2 + ω 0 2 cos ( Ω t ) , γ ( t ) = 0.5 ω 0 cos ( Ω t + δ ϕ ) . The modulation frequency is Ω = 2 π ω 0 . (a) δ ϕ = 0 ; (b) δ ϕ = π / 2 .
Figure 2. Quasienergy bands for PTCs with sinusoidal modulated plasma frequency and damping rate. The parameters used are ω p 2 ( t ) = 2 ω 0 2 + ω 0 2 cos ( Ω t ) , γ ( t ) = 0.5 ω 0 cos ( Ω t + δ ϕ ) . The modulation frequency is Ω = 2 π ω 0 . (a) δ ϕ = 0 ; (b) δ ϕ = π / 2 .
Photonics 12 00264 g002
Figure 3. Electric fields and energy fluxes of the eigenstates inside and outside the k-gap. (a) Electric field amplitudes for the eigenstates at k = 2.3 Ω / c (dashed lines) and k = 2.7 Ω / c (solid lines), corresponding to the gray and purple dots in Figure 2a, respectively; (b) Poynting vectors along the propagating direction for the same eigenstates.
Figure 3. Electric fields and energy fluxes of the eigenstates inside and outside the k-gap. (a) Electric field amplitudes for the eigenstates at k = 2.3 Ω / c (dashed lines) and k = 2.7 Ω / c (solid lines), corresponding to the gray and purple dots in Figure 2a, respectively; (b) Poynting vectors along the propagating direction for the same eigenstates.
Photonics 12 00264 g003
Figure 4. Phase rigidities and their exponents. The parameters used are the same as those in Figure 1a. (a) The phase rigidities of the four bands in the first Floquet zone. The results are corresponding to the bands in Figure 1a, with a one-to-one mapping based on the colors. (b) The log-log plot of the phase rigidities versus the wavenumber deviation, corresponding to the region marked by the black dashed rectangle in (a). The red line is the linear fitting curve with the slope indicated.
Figure 4. Phase rigidities and their exponents. The parameters used are the same as those in Figure 1a. (a) The phase rigidities of the four bands in the first Floquet zone. The results are corresponding to the bands in Figure 1a, with a one-to-one mapping based on the colors. (b) The log-log plot of the phase rigidities versus the wavenumber deviation, corresponding to the region marked by the black dashed rectangle in (a). The red line is the linear fitting curve with the slope indicated.
Photonics 12 00264 g004
Figure 5. The real parts of the quasienergy bands for smaller modulation frequencies. The parameters used are the same as those in Figure 2a, except for the modulation frequency Ω . (a) Ω = π ω 0 ; (b) Ω = 0.8 π ω 0 .
Figure 5. The real parts of the quasienergy bands for smaller modulation frequencies. The parameters used are the same as those in Figure 2a, except for the modulation frequency Ω . (a) Ω = π ω 0 ; (b) Ω = 0.8 π ω 0 .
Photonics 12 00264 g005
Disclaimer/Publisher’s Note: The statements, opinions and data contained in all publications are solely those of the individual author(s) and contributor(s) and not of MDPI and/or the editor(s). MDPI and/or the editor(s) disclaim responsibility for any injury to people or property resulting from any ideas, methods, instructions or products referred to in the content.

Share and Cite

MDPI and ACS Style

Lu, G.; Wang, N. A Generalized Floquet Hamiltonian Method for Dispersive Photonic Time Crystals. Photonics 2025, 12, 264. https://doi.org/10.3390/photonics12030264

AMA Style

Lu G, Wang N. A Generalized Floquet Hamiltonian Method for Dispersive Photonic Time Crystals. Photonics. 2025; 12(3):264. https://doi.org/10.3390/photonics12030264

Chicago/Turabian Style

Lu, Guangquan, and Neng Wang. 2025. "A Generalized Floquet Hamiltonian Method for Dispersive Photonic Time Crystals" Photonics 12, no. 3: 264. https://doi.org/10.3390/photonics12030264

APA Style

Lu, G., & Wang, N. (2025). A Generalized Floquet Hamiltonian Method for Dispersive Photonic Time Crystals. Photonics, 12(3), 264. https://doi.org/10.3390/photonics12030264

Note that from the first issue of 2016, this journal uses article numbers instead of page numbers. See further details here.

Article Metrics

Back to TopTop