New Insights Reached via Graded-Interfaces Modeling: How High-Power, High-Efficiency Mid-Infrared QCLs Work
Abstract
1. Introduction
2. Injection Mechanism
3. Photon-Induced Carrier Transport in High-Performance Mid-IR QCLs
4. STA-Type 4.6–4.7 µm Emitting QCLs with PICT Action
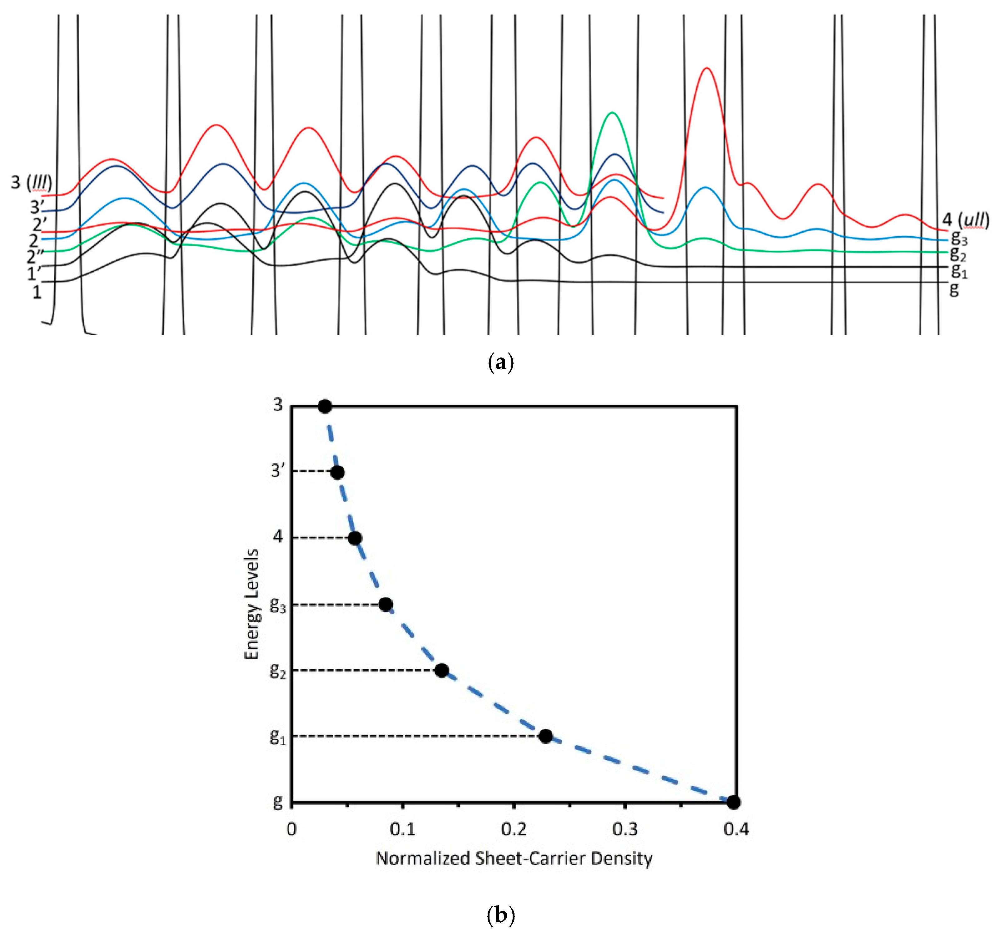
4.1. Preliminary-Design 4.6 µm Emitting STA-QCL with PICT Action
4.2. Low-Leakage 4.7 µm Emitting STA-QCLs with PICT Action
4.2.1. Considering Current MOCVD-Growth IFR Parameters
4.2.2. Considering the IFR Parameters of Optimized-MBE-Growth Interfaces
5. Conclusions
Author Contributions
Funding
Institutional Review Board Statement
Informed Consent Statement
Data Availability Statement
Acknowledgments
Conflicts of Interest
References
- Suri, S.; Knipfer, B.B.; Grange, T.; Gao, H.; Kirch, J.D.; Mawst, L.J.; Marsland, R.A.; Botez, D. Modeling with graded interfaces: Tool for understanding and designing record-high power and efficiency mid-infrared quantum cascade lasers. Nanophotonics 2024, 13, 1745–1757, Erratum in Nanophotonics 2024, 13, 4849. [Google Scholar] [CrossRef]
- Bai, Y.; Bandyopadhyay, N.; Tsao, S.; Slivken, S.; Razeghi, M. Room temperature quantum cascade lasers with 27% wall plug efficiency. Appl. Phys. Lett. 2011, 98, 181102. [Google Scholar] [CrossRef]
- Zhou, W.; Lu, Q.-Y.; Wu, D.-H.; Slivken, S.; Razeghi, M. High-power, continuous-wave, phase-locked quantum cascade laser arrays emitting at 8 μm. Opt. Express 2019, 27, 15776–15785. [Google Scholar] [CrossRef]
- Knipfer, B.; Xu, S.; Kirch, J.D.; Botez, D.; Mawst, L.J. Analysis of interface roughness in strained InGaAs/AlInAs quantum cascade laser structures (λ∼4.6 μm) by atom probe tomography. J. Cryst. Growth 2022, 583, 126531. [Google Scholar] [CrossRef]
- Boyle, C.; Oresick, K.M.; Kirch, J.D.; Flores, Y.V.; Mawst, L.J.; Botez, D. Carrier leakage via interface-roughness scattering bridges gap between theoretical and experimental internal efficiencies of quantum cascade lasers. Appl. Phys. Lett. 2020, 117, 051101, Erratum: Appl. Phys. Lett. 2020, 117, 109901. [Google Scholar] [CrossRef]
- Botez, D.; Mawst, L.J. State-of-the-Art Mid-Infrared QCLs: Elastic Scattering, High CW Power and Coherent-Power Scaling. In Mid-Infrared and Terahertz Quantum Cascade Lasers; Botez, D., Belkin, M.A., Eds.; Cambridge University Press: Cambridge, UK, 2023; pp. 41–101. [Google Scholar]
- Botez, D.; Shin, J.C.; Kirch, J.D.; Chang, C.-C.; Mawst, L.J.; Earles, T. Multidimensional conduction-band engineering for maximizing the continuous-wave (CW) wall-plug efficiencies of mid-infrared quantum cascade lasers. IEEE J. Sel. Top. Quantum Electron. 2013, 19, 1200312, Correction: IEEE J. Sel. Top. Quantum Electron. 2013, 19, 9700101. [Google Scholar] [CrossRef]
- Wang, C.A.; Schwarz, B.; Siriani, D.F.; Missaggia, L.J.; Connors, M.K.; Mansuripur, T.S.; Calawa, D.R.; McNulty, D.; Nickerson, M.; Donnelly, J.P.; et al. MOVPE growth of LWIR AlInAs/GaInAs/InP quantum cascade lasers: Impact of growth and material quality on laser performance. IEEE J. Sel. Top. Quantum Electron. 2017, 23, 1200413. [Google Scholar] [CrossRef]
- Bugajski, M.; Kolek, A.; Hałdas, G.; Strupinski, W.; Pasternak, I.; Kołkowski, W.; Pierscinski, K. MOCVD grown InGaAs/InAlAs quantum cascade lasers emitting at 7.7 μm. Photonics 2024, 11, 1195. [Google Scholar] [CrossRef]
- Fei, T.; Zhai, S.; Zhang, J.; Lu, Q.; Zhuo, N.; Liu, J.; Wang, L.; Liu, S.; Jia, Z.; Li, K.; et al. 3 W continuous-wave room temperature quantum cascade laser grown by metal-organic chemical vapor deposition. Photonics 2023, 10, 47. [Google Scholar] [CrossRef]
- Wang, C.; Schwarz, B.; Siriani, D.; Connors, M.; Missaggia, L.; Calawa, D.; McNulty, D.; Akey, A.; Zheng, M.; Donnelly, J.; et al. Sensitivity of heterointerfaces on emission wavelength of quantum cascade lasers. J. Cryst. Growth 2017, 464, 215–220. [Google Scholar] [CrossRef]
- Grange, T.; Mukherjee, S.; Capellini, G.; Montanar, M.; Persichetti, L.; Di Gaspare, L.; Birner, S.; Attiaoui, A.; Moutanabbir, O.; Virgilio, M.; et al. Atomic-scale insights into semiconductor heterostructures: From experimental three-dimensional analysis of the interface to a generalized theory of interfacial roughness scattering. Phys. Rev. Appl. 2020, 13, 044062. [Google Scholar] [CrossRef]
- Schwarz, B.; Wang, C.A.; Missaggia, L.J.; Mansuripur, T.S.; Chevalier, P.; Connors, M.K.; McNulty, D.; Cederberg, J.; Strasser, G.; Capasso, F. Watt-level continuous-wave emission from a bifunctional quantum cascade laser/detector. ACS Photonics 2017, 4, 1225–1231. [Google Scholar] [CrossRef]
- Blaser, S.; Diehl, L.; Beck, M.; Faist, J.; Oesterle, U.; Xu, J.; Barbieri, S.; Beltram, F. Characterization and modeling of quantum cascade lasers based on a photon-assisted tunneling transition. IEEE J. Quantum Electron. 2001, 37, 448–455. [Google Scholar] [CrossRef]
- Choi, H.; Diehl, L.; Wu, Z.-K.; Giovannini, M.; Faist, J.; Capasso, F.; Norris, T.B. Time-resolved investigations of electronic transport dynamics in quantum cascade lasers based on diagonal lasing transition. IEEE J. Quantum Electron. 2009, 45, 307–319. [Google Scholar] [CrossRef]
- Khurgin, J.B.; Dikmelik, Y.; Liu, P.Q.; Hoffman, A.J.; Escarra, M.D.; Franz, K.J.; Gmachl, C.F. Role of interface roughness in the transport and lasing characteristics of quantum cascade lasers. Appl. Phys. Lett. 2009, 94, 091101. [Google Scholar] [CrossRef]
- Sirtori, C.; Capasso, F.; Faist, J.; Hutchinson, A.L.; Sivco, D.L.; Cho, A.Y. Resonant tunneling in quantum cascade lasers. IEEE J. Quantum Electron. 1998, 34, 1722–1729. [Google Scholar] [CrossRef]
- Faist, J. Quantum Cascade Lasers; Oxford University Press: Oxford, UK, 2013. [Google Scholar]
- Soleimanikahnoj, S.; King, M.L.; Knezevic, I. Density-matrix model for photon-driven transport in quantum cascade lasers. Phys. Rev. Appl. 2021, 15, 034045. [Google Scholar] [CrossRef]
- Matyas, A.; Lugli, P.; Jirauschek, C. Photon-induced carrier transport in high-efficiency mid-infrared quantum cascade lasers. J. Appl. Phys. 2011, 110, 013108. [Google Scholar] [CrossRef]
- Lindskog, M.; Wolf, J.M.; Trinite, V.; Liverini, V.; Faist, J.; Maisons, G.; Carras, M.; Aidam, R.; Ostendorf, R.; Wacker, A. Comparative analysis of quantum cascade laser modeling based on density matrices and non-equilibrium Green’s functions. Appl. Phys. Lett. 2014, 105, 103106. [Google Scholar] [CrossRef]
- Bismuto, A.; Terazzi, R.; Beck, M.; Faist, J. Electrically tunable, high-performance quantum cascade laser. Appl. Phys. Lett. 2010, 96, 141105. [Google Scholar] [CrossRef]
- Bai, Y.; Slivken, S.; Kuboya, S.; Darvish, S.R.; Razeghi, M. Quantum cascade lasers that emit more light than heat. Nat. Photonics 2010, 4, 99–102. [Google Scholar]
- Faist, J.; Hofstetter, D.; Beck, M.; Aellen, T.; Rochat, M.; Blaser, S. Bound-to-continuum and two-phonon resonance quantum-cascade lasers for high duty cycle, high-temperature operation. IEEE J. Quantum Electron. 2002, 38, 533–546. [Google Scholar]
- Botez, D.; Chang, C.-C.; Mawst, L.J. Temperature sensitivity of the electro-optical characteristics for mid-infrared (λ = 3–16 μm)-emitting quantum cascade lasers. J. Phys. D: Appl. Phys. 2016, 49, 043001. [Google Scholar] [CrossRef]
- Lyakh, A.; Maulini, R.; Tsekoun, A.; Go, R.; Pflugl, C.; Diehl, L.; Wang, Q.J.; Capasso, F.; Patel, C.K.N. 3 W continuous wave room-temperature single-facet emission from quantum cascade lasers based on nonresonant extraction design approach. Appl. Phys. Lett. 2009, 95, 141113. [Google Scholar]
- Botez, D.; Kirch, J.D.; Boyle, C.; Oresick, K.M.; Sigler, C.; Kim, H.; Knipfer, B.B.; Ryu, J.H.; Lindberg III, D.; Earles, T.; et al. High-efficiency, high-power mid-infrared quantum cascade lasers [Invited]. Opt. Mater. Express 2018, 8, 1378–1398, Erratum in Opt. Mater. Express 2021, 11, 1970. [Google Scholar] [CrossRef]
- Khurgin, J.B. Basic Physics of Intersubband Radiative and Nonradiative Processes. In Mid-Infrared and Terahertz Quantum Cascade Lasers; Botez, D., Belkin, M.A., Eds.; Cambridge University Press: Cambridge, UK, 2023; pp. 5–40. [Google Scholar]
- Oresick, K.M. Highly Efficient Long-Wavelength Infrared, Step-Taper Active-Region Quantum Cascade Lasers. Ph.D. Thesis, University of Wisconsin-Madison, Madison, WI, USA, April 2021. [Google Scholar]
- Khalatpour, A.; Tam, M.C.; Addamane, S.J.; Reno, J.; Wasilewski, Z.; Hu, Q. Enhanced operating temperature in terahertz quantum cascade lasers based on direct phonon depopulation. Appl. Phys. Lett. 2023, 122, 161101. [Google Scholar]
- Gower, N.L.; Levy, S.; Piperno, S.; Addamane, S.J.; Albo, A. Exploring the effects of molecular beam epitaxy growth characteristics on the temperature performance of state-of-the-art terahertz quantum cascade lasers. Sci. Rep. 2024, 14, 17411. [Google Scholar] [CrossRef] [PubMed]














Disclaimer/Publisher’s Note: The statements, opinions and data contained in all publications are solely those of the individual author(s) and contributor(s) and not of MDPI and/or the editor(s). MDPI and/or the editor(s) disclaim responsibility for any injury to people or property resulting from any ideas, methods, instructions or products referred to in the content. |
© 2025 by the authors. Licensee MDPI, Basel, Switzerland. This article is an open access article distributed under the terms and conditions of the Creative Commons Attribution (CC BY) license (https://creativecommons.org/licenses/by/4.0/).
Share and Cite
Botez, D.; Suri, S.; Gao, H.; Grange, T.; Kirch, J.D.; Mawst, L.J.; Marsland, R.A. New Insights Reached via Graded-Interfaces Modeling: How High-Power, High-Efficiency Mid-Infrared QCLs Work. Photonics 2025, 12, 93. https://doi.org/10.3390/photonics12020093
Botez D, Suri S, Gao H, Grange T, Kirch JD, Mawst LJ, Marsland RA. New Insights Reached via Graded-Interfaces Modeling: How High-Power, High-Efficiency Mid-Infrared QCLs Work. Photonics. 2025; 12(2):93. https://doi.org/10.3390/photonics12020093
Chicago/Turabian StyleBotez, Dan, Suraj Suri, Huilong Gao, Thomas Grange, Jeremy D. Kirch, Luke J. Mawst, and Robert A. Marsland. 2025. "New Insights Reached via Graded-Interfaces Modeling: How High-Power, High-Efficiency Mid-Infrared QCLs Work" Photonics 12, no. 2: 93. https://doi.org/10.3390/photonics12020093
APA StyleBotez, D., Suri, S., Gao, H., Grange, T., Kirch, J. D., Mawst, L. J., & Marsland, R. A. (2025). New Insights Reached via Graded-Interfaces Modeling: How High-Power, High-Efficiency Mid-Infrared QCLs Work. Photonics, 12(2), 93. https://doi.org/10.3390/photonics12020093

