Efficient Frequency-Domain Block Equalization for Mode-Division Multiplexing Systems
Abstract
1. Introduction
2. System Model
3. Frequency-Domain Block Equalization
3.1. Frequency-Domain Equalization
3.2. Frequency Domain Block Equalization
| Algorithm 1: Frequency-Domain Block Equalization |
4. Adaptive Frequency-Domain Block Equalization
4.1. LMS
4.2. RLS
4.3. ADAM
| Algorithm 2: F(∙) |
4.4. Algorithm Complexity
5. Simulation Results
5.1. Transmission System
5.2. Adaption Time
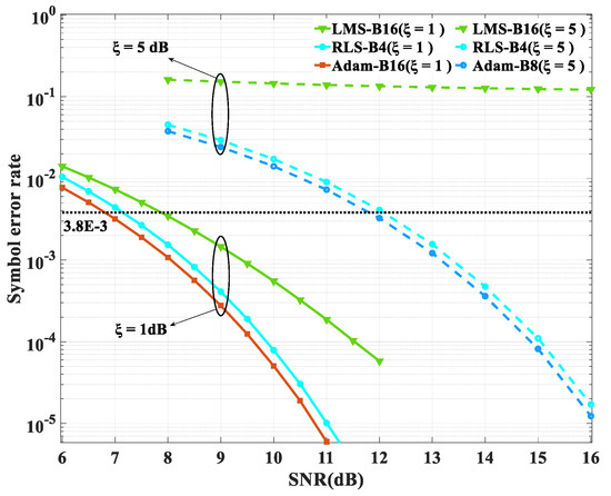
5.3. SER Performance
6. Conclusions
Author Contributions
Funding
Institutional Review Board Statement
Informed Consent Statement
Data Availability Statement
Conflicts of Interest
References
- Richardson, D.J.; Fini, J.M.; Nelson, L.E. Space-division multiplexing in optical fibres. Nat. Photonics 2013, 7, 354–362. [Google Scholar] [CrossRef]
- Winzer, P.J. Scaling Optical Fiber Networks: Challenges and Solutions. Opt. Photon News 2015, 26, 28–35. [Google Scholar] [CrossRef]
- Winzer, P.J.; Neilson, D.T.; Chraplyvy, A.R. Fiber-optic transmission and networking: The previous 20 and the next 20 years. Opt. Express 2018, 26, 24190–24239. [Google Scholar] [CrossRef]
- Jinno, M. Spatial Channel Network (SCN): Opportunities and Challenges of Introducing Spatial Bypass Toward the Massive SDM Era. J. Opt. Commun. Netw. 2019, 11, 1–14. [Google Scholar] [CrossRef]
- Torres, L.M.; Cañete, F.J.; Díez, L. BER analysis of an optimum MIMO linear receiver in optical SDM systems with mode-dependent loss. Opt. Express 2023, 31, 31671–31686. [Google Scholar] [CrossRef] [PubMed]
- Noboru, Y.; Tsuritani, T. Recent progress in space-division multiplexing optical network technology. In Proceedings of the 2020 International Conference on Optical Network Design and Modeling (ONDM), Barcelona, Spain, 18–21 May 2020; IEEE: New York, NY, USA, 2020. [Google Scholar]
- Awaji, Y. Review of Space-Division Multiplexing Technologies in Optical Communications. IEICE Trans. Commun. 2019, E102.B, 1–16. [Google Scholar] [CrossRef]
- Weng, Y.; Wang, J.; Pan, Z. Recent advances in DSP techniques for mode division multiplexing optical networks with MIMO equalization: A review. Appl. Sci. 2019, 9, 1178. [Google Scholar] [CrossRef]
- Arik, S.O.; Kahn, J.M.; Ho, K.-P. MIMO Signal Processing for Mode-Division Multiplexing: An overview of channel models and signal processing architectures. IEEE Signal Process. Mag. 2014, 31, 25–34. [Google Scholar] [CrossRef]
- Arik, S.O.; Ho, K.-P.; Kahn, J.M. Group delay statistics and management in mode-division multiplexing. In Proceedings of the 2015 49th Asilomar Conference on Signals, Systems and Computers, Pacific Grove, CA, USA, 8–11 November 2015; pp. 991–998. [Google Scholar]
- Choutagunta, K.; Arik, S.O.; Ho, K.-P.; Kahn, J.M. Characterizing Mode-Dependent Loss and Gain in Multimode Components. J. Light. Technol. 2018, 36, 3815–3823. [Google Scholar] [CrossRef]
- Huang, Y.; Ji, F.; Wei, Z.; Wen, M.; Chen, X.; Tang, Y.; Guo, W. Frequency Domain Analysis and Equalization for Molecular Communication. IEEE Trans. Signal Process. 2021, 69, 1952–1967. [Google Scholar] [CrossRef]
- Shibahara, K.; Kobayashi, T.; Miyamoto, Y. Out-of-band exclusive frequency-domain MIMO equalization with the reduced-overlap-and-save method for scalable mode multiplexed signal transmission. Opt. Express 2023, 31, 2302–2315. [Google Scholar] [CrossRef]
- Ghauri, S.A.; Sohail, M.F. System identification using LMS, NLMS and RLS. In Proceedings of the 2013 IEEE Student Conference on Research and Development, Putrajaya, Malaysia, 16–17 December 2013; IEEE: New York, NY, USA, 2013; pp. 65–69. [Google Scholar]
- Shibahara, K.; Hoshi, M.; Hasegawa, T.; Hayashi, T.; Miyamoto, Y. Recursive Least Squares Based Low-Complexity Frequency-Domain MIMO Equalization for MDL-Tolerant Long-Haul Space Division Multiplexing Transmission. J. Light. Technol. 2024, 42, 4324–4337. [Google Scholar] [CrossRef]
- Arik, S.Ö.; Askarov, D.; Kahn, J.M. Effect of Mode Coupling on Signal Processing Complexity in Mode-Division Multiplexing. J. Light. Technol. 2012, 31, 423–431. [Google Scholar] [CrossRef]
- Bai, N.; Li, G. Adaptive Frequency-Domain Equalization for Mode-Division Multiplexed Transmission. IEEE Photon Technol. Lett. 2012, 24, 1918–1921. [Google Scholar] [CrossRef]
- Iqbal, N.; Al-Dhahir, N.; Zerguine, A.; Zidouri, A. Adaptive Frequency-Domain RLS DFE for Uplink MIMO SC-FDMA. IEEE Trans. Veh. Technol. 2014, 64, 2819–2833. [Google Scholar]
- Rottenberg, F.; Mestre, X.; Horlin, F.; Louveaux, J. Efficient Equalization of Time-Varying Channels in MIMO OFDM Systems. IEEE Trans. Signal Process. 2019, 67, 5583–5595. [Google Scholar] [CrossRef]
- Sercan, Ö.A.; Askarov, D.; Kahn, J.M. Adaptive frequency-domain equalization in mode-division multi-plexing systems. J. Light. Technol. 2014, 32, 1841–1852. [Google Scholar]
- Ho, K.-P.; Kahn, J.M. Linear Propagation Effects in Mode-Division Multiplexing Systems. J. Light. Technol. 2013, 32, 614–628. [Google Scholar] [CrossRef]
- Mi, S.; Zhang, J. A low complexity large-scale MIMO detection algorithm for MDL-impaired fiber mode division multiplexing transmission. In Proceedings of the 13th International Conference on Information Optics and Photonics (CIOP 2022), Xi’an, China, 7–10 August 2022; pp. 119–126. [Google Scholar]
- Ho, K.-P.; Kahn, J.M.; Kaminow, I.P.; Li, T.; Willner, A. EMode coupling and its impact on spatially multiplexed systems. Opt. Fiber Telecommun. VI 2013, 17, 1386–1392. [Google Scholar]
- Shibahara, K.; Hoshi, M.; Miyamoto, Y. 10-Spatial-Mode 1300-Km Transmission Over 6-LP Graded Index Few-Mode Fiber with 36-Ns Modal Dispersion. J. Light. Technol. 2023, 42, 1257–1264. [Google Scholar] [CrossRef]
- Yi, W.; Sillekens, E.; Lavery, D.; Dzieciol, H.; Zhou, S.; Law, K.; Chen, J.; Bayvel, P.; Killey, R.I. Performance of momentum-based frequency-domain MIMO equalizer in the presence of feedback delay. Opt. Express 2020, 28, 19133–19143. [Google Scholar] [CrossRef]
- Yang, Z.; Yu, W.; Peng, G.; Liu, Y.; Zhang, L. Recent Progress on Novel DSP Techniques for Mode Division Multiplexing Systems: A Review. Appl. Sci. 2021, 11, 1363. [Google Scholar] [CrossRef]
- Mello, D.A.A.; Srinivas, H.; Choutagunta, K.; Kahn, J.M. Impact of Polarization- and Mode-Dependent Gain on the Capacity of Ultra-Long-Haul Systems. J. Light. Technol. 2019, 38, 303–318. [Google Scholar] [CrossRef]
- Benesty, J.; Paleologu, C.; Gänsler, T.; Ciochină, S. A Perspective on Stereophonic Acoustic Echo Cancellation; Springer Nature: Dordrecht, The Netherlands, 2011. [Google Scholar]
- Paulo, D.S.R.; Diniz, P.S.R. The least-mean-square (LMS) algorithm. In Adaptive Filtering: Algorithms and Practical Implementation; Springer: Berlin/Heidelberg, Germany, 2020; pp. 61–102. [Google Scholar]
- Diederik, K.; Jimmy, P.; Adam, B. A method for stochastic optimization. arXiv 2014, arXiv:1412.6980. [Google Scholar]
- Ip, E.; Kahn, J.M. Digital Equalization of Chromatic Dispersion and Polarization Mode Dispersion. J. Light. Technol. 2007, 25, 2033–2043. [Google Scholar] [CrossRef]




| Operation | Number of Real Multiplications | Number of Real Additions |
|---|---|---|
| Adaption with LMS (10) | ||
| Adaption with RLS (11) Adaption with Adam |
|
|
| Adaptive Algorithm | |||
|---|---|---|---|
| = 1 dB, SER = 3.8 × 10−3 | = 5 dB, SER = 3.8 × 10−3 | ||
| LMS | 1 | 24,700 | - |
| 4 | 25,600 | - | |
| 8 | 27,200 | - | |
| 16 | 29,800 | - | |
| RLS | 1 | ||
| 4 | 4950 | ||
| 8 | |||
| 16 | |||
| Adam | 1 | ||
| 4 | |||
| 8 | |||
| 16 | |||
Disclaimer/Publisher’s Note: The statements, opinions and data contained in all publications are solely those of the individual author(s) and contributor(s) and not of MDPI and/or the editor(s). MDPI and/or the editor(s) disclaim responsibility for any injury to people or property resulting from any ideas, methods, instructions or products referred to in the content. |
© 2025 by the authors. Licensee MDPI, Basel, Switzerland. This article is an open access article distributed under the terms and conditions of the Creative Commons Attribution (CC BY) license (https://creativecommons.org/licenses/by/4.0/).
Share and Cite
Shen, Y.; Zhang, J.; Mi, S.; Fan, G.; Wang, M. Efficient Frequency-Domain Block Equalization for Mode-Division Multiplexing Systems. Photonics 2025, 12, 161. https://doi.org/10.3390/photonics12020161
Shen Y, Zhang J, Mi S, Fan G, Wang M. Efficient Frequency-Domain Block Equalization for Mode-Division Multiplexing Systems. Photonics. 2025; 12(2):161. https://doi.org/10.3390/photonics12020161
Chicago/Turabian StyleShen, Yifan, Jianyong Zhang, Shuchao Mi, Guofang Fan, and Muguang Wang. 2025. "Efficient Frequency-Domain Block Equalization for Mode-Division Multiplexing Systems" Photonics 12, no. 2: 161. https://doi.org/10.3390/photonics12020161
APA StyleShen, Y., Zhang, J., Mi, S., Fan, G., & Wang, M. (2025). Efficient Frequency-Domain Block Equalization for Mode-Division Multiplexing Systems. Photonics, 12(2), 161. https://doi.org/10.3390/photonics12020161

