Subradiant Decay in 2D and 3D Atomic Arrays
Abstract
1. Introduction
2. Microscopic Modeling of Atomic Arrays
2.1. Coupled Dipole Model
2.2. Generalized Dicke State
2.3. Collective Decay Rate
3. Two-Dimensional Square Lattice
3.1. General Expression of the Decay Rate
3.2. Infinite Square Array
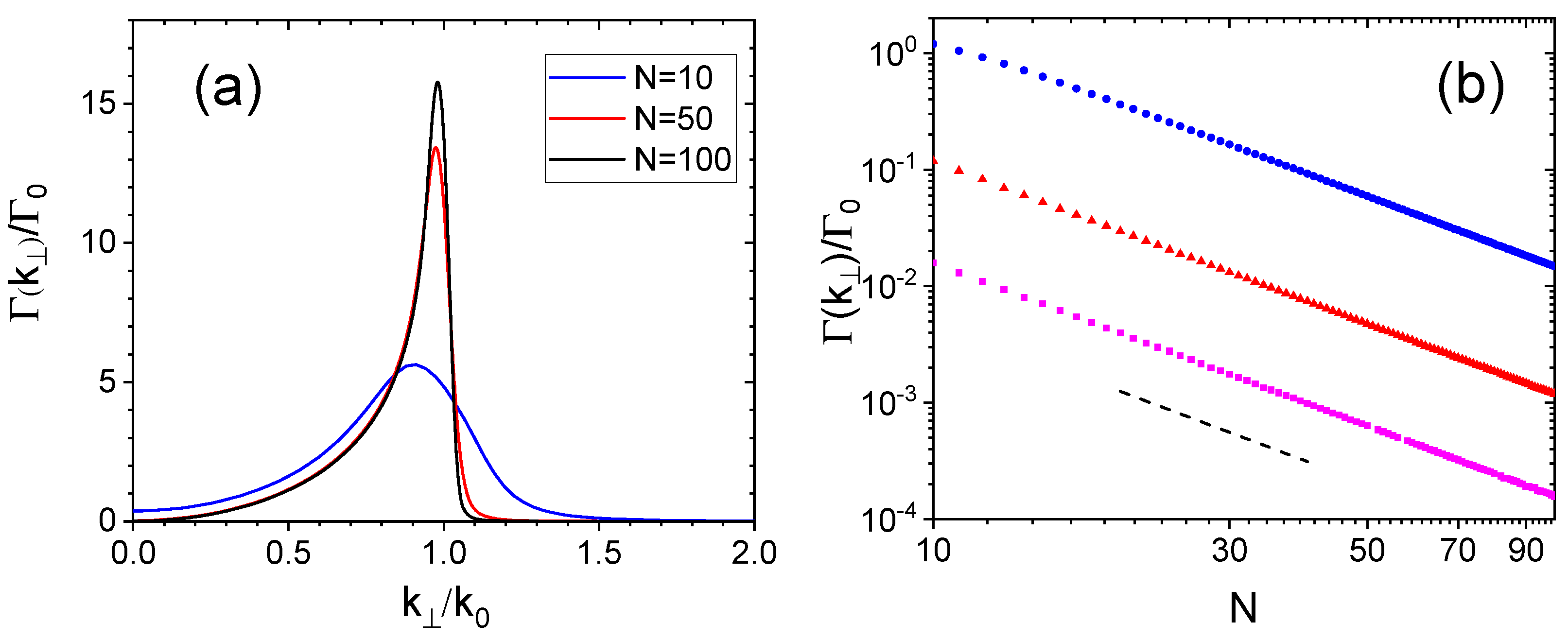
3.3. Finite Square Array
3.4. Large-N Limit for the Finite Square Array
3.5. Finite Square Array: Radial Mode Distribution
4. 3D Cubic Atom Array
4.1. Infinite 3D Array
4.2. Decay Rate for Mode Along an Axis of the Finite Cubic Array
5. Discussion
Author Contributions
Funding
Institutional Review Board Statement
Informed Consent Statement
Data Availability Statement
Conflicts of Interest
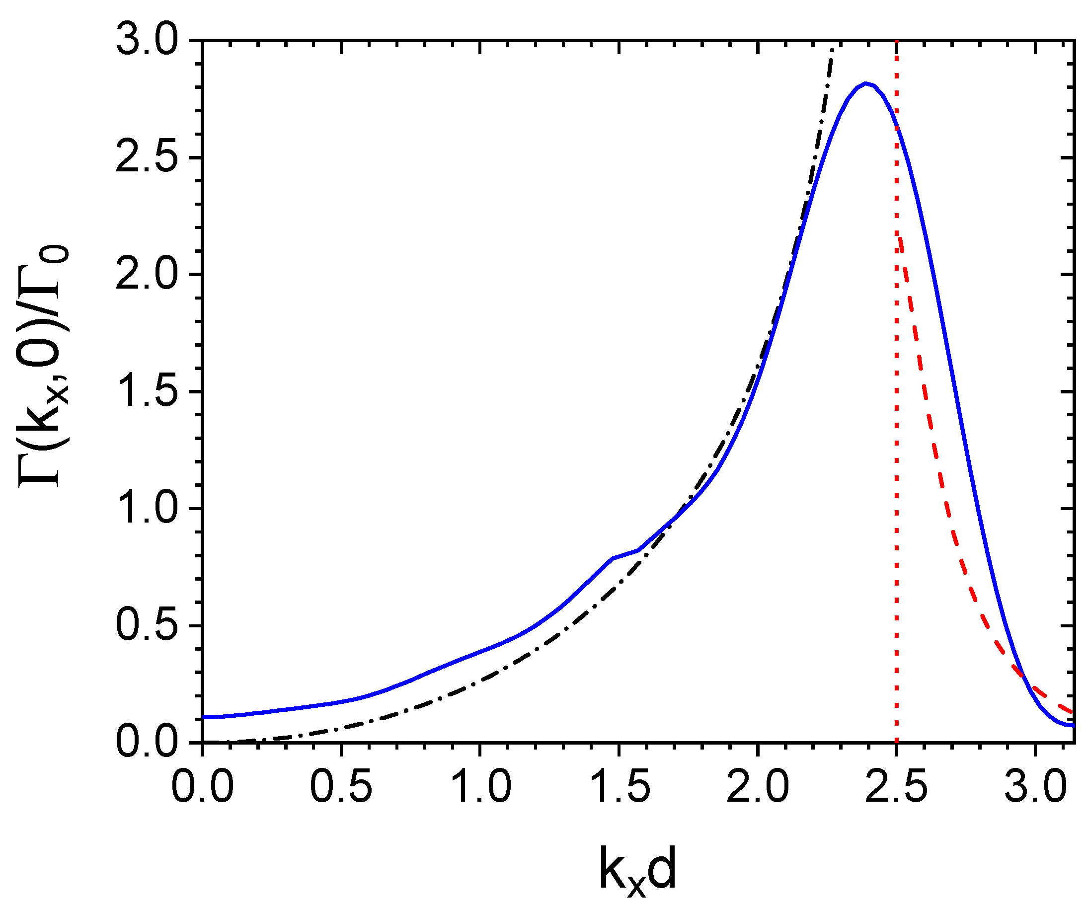
Appendix A. Approximate Solution Γ(kx,0)
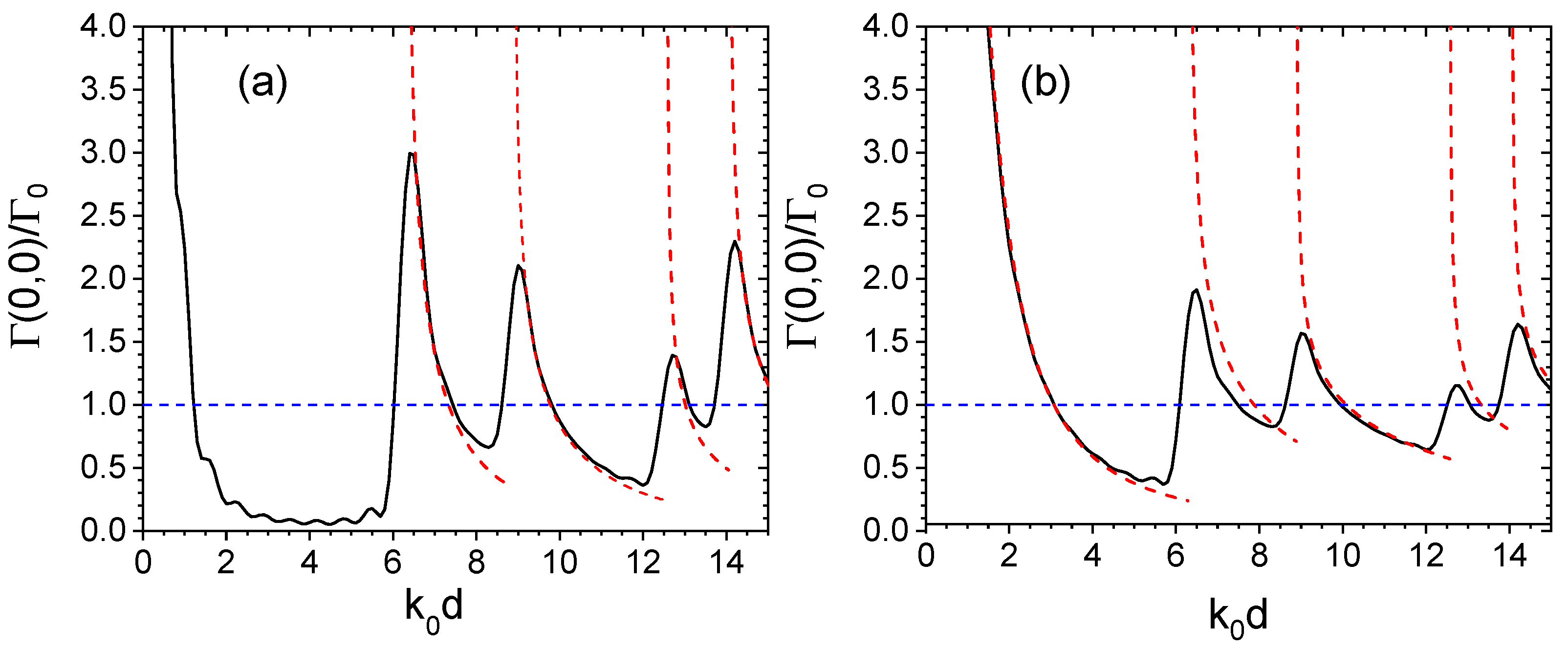
Appendix B. Approximate Solution Γ(kx, 0, 0)
References
- Dicke, R.H. Coherence in spontaneous radiation processes. Phys. Rev. 1954, 93, 99. [Google Scholar] [CrossRef]
- Gross, M.; Haroche, S. Superradiance: An Essay on the Theory of Collective Spontaneous Emission. Phys. Rep. 1982, 93, 301. [Google Scholar] [CrossRef]
- Pavolini, D.; Crubellier, A.; Pillet, P.; Cabaret, L.; Liberman, S. Experimental Evidence for Subradiance. Phys. Rev. Lett. 1985, 54, 1917. [Google Scholar] [CrossRef]
- Crubellier, A. Superradiance and subradiance. III. Small samples. J. Phys. B 1987, 20, 971. [Google Scholar] [CrossRef]
- Facchinetti, G.; Jenkins, S.D.; Ruostekoski, J. Storing light with subradiant correlations in arrays of atoms. Phys. Rev. Lett. 2016, 117, 243601. [Google Scholar] [CrossRef]
- Jen, H.H.; Chang, M.-S.; Chen, Y.-C. Cooperative single photon subradiant states. Phys. Rev. A 2016, 94, 013803. [Google Scholar] [CrossRef]
- Needham, J.A.; Lesanovsky, I.; Olmos, B. Subradiance-protected excitation transport. New J. Phys. 2019, 21, 073061. [Google Scholar] [CrossRef]
- Cech, M.; Lesanovsky, I.; Olmos, B. Dispersionless subradiant photon storage in one-dimensional emitter chains. Phys. Rev. A 2023, 108, L051702. [Google Scholar] [CrossRef]
- Bettles, R.J.; Minàř, J.; Adams, C.S.; Lesanovsky, I.; Olmos, B. Topological properties of a dense atomic lattice gas. Phys. Rev. A 2017, 96, 041603. [Google Scholar] [CrossRef]
- Guerin, W.; Araùjo, M.O.; Kaiser, R. Subradiance in a large cloud of cold atoms. Phys. Rev. Lett. 2016, 116, 083601. [Google Scholar] [CrossRef]
- Porras, D.; Cirac, J.I. Collective generation of quantum states of light by entangled atoms. Phys. Rev. A 2008, 78, 053816. [Google Scholar] [CrossRef]
- Jenkins, S.D.; Ruostekoski, J. Controlled manipulation of light by cooperative response of atoms in an optical lattice. Phys. Rev. A 2012, 86, 031602. [Google Scholar] [CrossRef]
- Bettles, R.J.; Gardiner, S.A.; Adams, C.S. Enhanced optical cross section via collective coupling of atomic dipoles in 2D array. Phys. Rev. Lett. 2016, 116, 103602. [Google Scholar] [CrossRef]
- Shahmoon, E.; Wild, D.S.; Lukin, M.D.; Yelin, S.F. Cooperative resonances in light scattering from two-dimensional atomic arrays. Phys. Rev. Lett. 2017, 118, 113601. [Google Scholar] [CrossRef] [PubMed]
- Asenjo-Garcia, A.; Moreno-Cardoner, M.; Albrecht, A.; Kimble, H.J.; Chang, D.E. Exponential improvement in photon storage fidelities using subradiance and “selective radiance” in atomic arrays. Phys. Rev. X 2017, 7, 031024. [Google Scholar] [CrossRef]
- Jenkins, S.D.; Ruostekoski, J.; Papasimakis, N.; Savo, S.; Zheludev, N.I. Many-Body Subradiant Excitations in Metamaterial Arrays: Experiment and Theory. Phys. Rev. Lett. 2017, 119, 05390. [Google Scholar] [CrossRef]
- Bettles, R.J.; Gardiner, S.A.; Adams, C.S. Cooperative eigenmodes and scattering in one-dimensional atomic arrays. Phys. Rev. A 2016, 94, 043844. [Google Scholar] [CrossRef]
- Das, D.; Lemberger, B.; Yavuz, D.D. Subradiance and Superradiance-to-Subradiance Transition in Dilute Atomic Clouds. Phys. Rev. A 2020, 102, 043708. [Google Scholar] [CrossRef]
- Ferioli, G.; Glicenstein, A.; Henriet, L.; Ferrier-Barbut, I.; Browaeys, A. Storage and release of subradiant excitations in a dense atomic cloud. Phys. Rev. X 2021, 11, 021031. [Google Scholar] [CrossRef]
- Zoubi, H.; Ritsch, H. Metastability and Directional Emission Characteristics of Excitons in 1D Optical Lattices. Europhys. Lett. 2010, 90, 23001. [Google Scholar] [CrossRef]
- Bettles, R.J.; Gardiner, S.A.; Adams, C.S. Cooperative Ordering in Lattices of Interacting Two-Level Dipoles. Phys. Rev. A 2015, 92, 063822. [Google Scholar] [CrossRef]
- Rui, J.; Wei, D.; Rubio-Abadal, A.; Hollerith, S.; Zeiher, J.; Stamper-Kurn, D.M.; Gross, C.; Bloch, I. A subradiant optical mirror formed by a single structured atomic layer. Nature 2020, 583, 369. [Google Scholar] [CrossRef] [PubMed]
- Brechtelsbauer, K.; Malz, D. Quantum simulation with fully coherent dipole-dipole interactions mediated by three-dimensional subwavelength atomic arrays. Phys. Rev. A 2021, 104, 013701. [Google Scholar] [CrossRef]
- Sierra, E.; Masson, S.J.; Asenjo-Garcia, A. Dicke Superradiance in Ordered Lattices: Dimensionality Matters. Phys. Rev. Res. 2022, 4, 023207. [Google Scholar] [CrossRef]
- Ruks, L.; Ballantine, K.E.; Ruostekoski, J. Negative refraction of light in an atomic medium. Nat. Commun. 2025, 16, 1433. [Google Scholar] [CrossRef]
- Van Coevorden, D.V.; Sprik, R.; Tip, A.; Lagendijk, A. Photonic Band Structure of Atomic Lattices. Phys. Rev. Lett. 1996, 77, 2412. [Google Scholar] [CrossRef]
- Antezza, M.; Castin, Y. Fano-Hopfield model and photonic band gaps for an arbitrary atomic lattice. Phys. Rev. A 2009, 80, 013816. [Google Scholar] [CrossRef]
- Perczel, J.; Borregaard, J.; Chang, D.E.; Pichler, H.; Yelin, S.F.; Zoller, P.; Lukin, M.D. Photonic band structure of two-dimensional atomic lattices. Phys. Rev. A 2017, 96, 063801. [Google Scholar] [CrossRef]
- Piovella, N. Cooperative Decay of an Ensemble of Atoms in a One-Dimensional Chain with a Single Excitation. Atoms 2024, 12, 43. [Google Scholar] [CrossRef]
- Zhang, Y.X.; Mölmer, K. Subradiant Emission from Regular Atomic Arrays: Universal Scaling of Decay Rates from the Generalized Bloch Theorem. Phys. Rev. Lett. 2020, 125, 253601. [Google Scholar] [CrossRef]
- Akkermans, E.; Gero, A.; Kaiser, R. Photon localization and Dicke superradiance in atomic gases. Phys. Rev. Lett. 2008, 101, 103602. [Google Scholar] [CrossRef]
- Rouabah, M.T.; Samoylova, M.; Bachelard, R.; Courteille, P.W.; Kasier, R.; Piovella, N. Coherence effects in scattering order expansion of light by atomic clouds. J. Opt. Soc. Am. A 2014, 31, 1031. [Google Scholar] [CrossRef]
- Scully, M.O.; Fry, E.; Ooi, C.H.R.; Wodkiewicz, K. Directed Spontaneous Emission from an Extended Ensemble of N Atoms: Timing Is Everything. Phys. Rev. Lett. 2006, 96, 010501. [Google Scholar] [CrossRef] [PubMed]
- Scully, M.O. Single photon subradiance: Quantum control of spontaneous emission and ultrafast readout. Phys. Rev. Lett. 2015, 115, 243602. [Google Scholar] [CrossRef] [PubMed]
- Stehle, C.; Zimmermann, C.; Slama, S. Cooperative coupling of ultracold atoms and surface plasmons. Nat. Phys. 2014, 10, 937. [Google Scholar] [CrossRef]
- Araújo, M.O.; de Aquino Carvalho, J.C.; Courteille, P.W.; Laliotis, A. Cooperative atomic emission from a line of atoms interacting with a resonant plane surface. Phys. Rev. A 2024, 110, 032813. [Google Scholar] [CrossRef]
- Piovella, N. Subradiance Generation in a Chain of Two-Level Atoms with a Single Excitation. Atoms 2025, 13, 62. [Google Scholar] [CrossRef]
- Walther, V.; Zhang, L.; Yelin, S.F.; Pohl, T. Nonclassical light from finite-range interactions in a two-dimensional quantum mirror. Phys. Rev. B 2022, 105, 075307. [Google Scholar] [CrossRef]
- Zhang, L.; Walther, V.; Mölmer, K.; Pohl, T. Photon-photon interactions in Rydberg-atom arrays. Quantum 2022, 6, 674. [Google Scholar] [CrossRef]
- Pedersen, S.P.; Zhang, L.; Pohl, T. Quantum nonlinear metasurfaces from dual arrays of ultracold atoms. Phys. Rev. Res. 2022, 5, L012047. [Google Scholar] [CrossRef]




Disclaimer/Publisher’s Note: The statements, opinions and data contained in all publications are solely those of the individual author(s) and contributor(s) and not of MDPI and/or the editor(s). MDPI and/or the editor(s) disclaim responsibility for any injury to people or property resulting from any ideas, methods, instructions or products referred to in the content. |
© 2025 by the authors. Licensee MDPI, Basel, Switzerland. This article is an open access article distributed under the terms and conditions of the Creative Commons Attribution (CC BY) license (https://creativecommons.org/licenses/by/4.0/).
Share and Cite
Piovella, N.; Bachelard, R. Subradiant Decay in 2D and 3D Atomic Arrays. Photonics 2025, 12, 1214. https://doi.org/10.3390/photonics12121214
Piovella N, Bachelard R. Subradiant Decay in 2D and 3D Atomic Arrays. Photonics. 2025; 12(12):1214. https://doi.org/10.3390/photonics12121214
Chicago/Turabian StylePiovella, Nicola, and Romain Bachelard. 2025. "Subradiant Decay in 2D and 3D Atomic Arrays" Photonics 12, no. 12: 1214. https://doi.org/10.3390/photonics12121214
APA StylePiovella, N., & Bachelard, R. (2025). Subradiant Decay in 2D and 3D Atomic Arrays. Photonics, 12(12), 1214. https://doi.org/10.3390/photonics12121214

