The Influence of Ultrashort Laser Pulse Duration on Shock Wave Generation in Water Under Tight Focusing Conditions
Abstract
1. Introduction
2. Materials and Methods
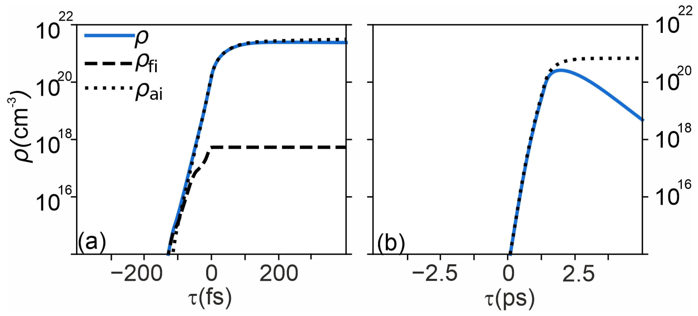
3. Results and Discussion
4. Conclusions
Supplementary Materials
Author Contributions
Funding
Data Availability Statement
Acknowledgments
Conflicts of Interest
Abbreviations
| SRE | Single Rate Equation |
| MRE | Multiple Rate Equations |
| DRE | Dynamical Rate Equations |
| IR | Infra-Red |
| FPGA | Field Programmed Gate Array |
| PC | Personal Computer |
| COM | Common |
References
- Manshina, A.A.; Tumkin, I.I.; Khairullina, E.M.; Mizoshiri, M.; Ostendorf, A.; Kulinich, S.A.; Makarov, S.; Kuchmizhak, A.A.; Gurevich, E.L. The Second Laser Revolution in Chemistry: Emerging Laser Technologies for Precise Fabrication of Multifunctional Nanomaterials and Nanostructures. Adv. Funct. Mater. 2024, 34, 2405457. [Google Scholar] [CrossRef]
- Cios, A.; Cieplak, M.; Szymański, Ł.; Lewicka, A.; Cierniak, S.; Stankiewicz, W.; Mendrycka, M.; Lewicki, S. Effect of Different Wavelengths of Laser Irradiation on the Skin Cells. Int. J. Mol. Sci. 2021, 22, 2437. [Google Scholar] [CrossRef]
- Minaev, V.P.; Minaev, N.V.; Bogachev, V.Y.; Kaperiz, K.A.; Yusupov, V.I. Endovenous Laser Coagulation: Asymmetrical Heat Transfer (Modeling in Water). Lasers Med. Sci. 2021, 36, 1599–1608. [Google Scholar] [CrossRef]
- Stuart, B.; Feit, M.; Herman, S.; Rubenchik, A.; Shore, B.; Perry, M. Nanosecond-to-Femtosecond Laser-Induced Breakdown in Dielectrics. Phys. Rev. B Condens. Matter 1996, 53, 1749–1761. [Google Scholar] [CrossRef] [PubMed]
- Chichkov, B.N.; Momma, C.; Nolte, S.; von Alvensleben, F.; Tünnermann, A. Femtosecond, Picosecond and Nanosecond Laser Ablation of Solids. Appl. Phys. A Mater. Sci. Process. 1996, 63, 109–115. [Google Scholar] [CrossRef]
- Vogel, A.; Venugopalan, V. Mechanisms of Pulsed Laser Ablation of Biological Tissues. Chem. Rev. 2003, 103, 577–644. [Google Scholar] [CrossRef]
- Schmidt, M.; Kahlert, U.; Wessolleck, J.; Maciaczyk, D.; Merkt, B.; Maciaczyk, J.; Osterholz, J.; Nikkhah, G.; Steinhauser, M.O. Characterization of a Setup to Test the Impact of High-Amplitude Pressure Waves on Living Cells. Sci. Rep. 2014, 4, 3849. [Google Scholar] [CrossRef]
- Yan, B.; Li, Y.; Cao, W.; Zeng, Z.; Liu, P.; Ke, Z.; Yang, G. Efficient and Rapid Hydrogen Extraction from Ammonia-Water via Laser Under Ambient Conditions without Catalyst. J. Am. Chem. Soc. 2024, 146, 4864–4871. [Google Scholar] [CrossRef] [PubMed]
- Windhorn, L.; Witte, T.; Yeston, J.S.; Proch, D.; Motzkus, M.; Kompa, K.L.; Fuß, W. Molecular Dissociation by Mid-IR Femtosecond Pulses. Chem. Phys. Lett. 2002, 357, 85–90. [Google Scholar] [CrossRef]
- Thomsen, C.L.; Madsen, D.; Keiding, S.R.; Tho, J.; Christiansen, O.; Thomsen, C.L.; Madsen, D.; Keiding, S.R.; Tho, J. Two-Photon Dissociation and Ionization of Liquid Water Studied by Femtosecond Transient Absorption. Spectroscopy 2014, 110, 3453–3462. [Google Scholar] [CrossRef]
- Kraus, P.M.; Zürch, M.; Cushing, S.K.; Neumark, D.M.; Leone, S.R. The Ultrafast X-Ray Spectroscopic Revolution in Chemical Dynamics. Nat. Rev. Chem. 2018, 2, 82–94. [Google Scholar] [CrossRef]
- Lauterborn, W.; Vogel, A. Bubble Dynamics and Shock Waves; Delale, C.F., Ed.; Springer: Berlin/Heidelberg, Germany, 2013; ISBN 978-3-642-34296-7. [Google Scholar]
- Ohl, C.-D.; Kurz, T.; Geisler, R.; Lindau, O.; Lauterborn, W. Bubble Dynamics, Shock Waves and Sonoluminescence. Philos. Trans. R. Soc. A Math. Phys. Eng. Sci. 1999, 357, 269–294. [Google Scholar] [CrossRef]
- Tsibidis, G.D.; Stratakis, E. Ionization Dynamics and Damage Conditions for Transparent Materials Irradiated with Mid-Infrared Femtosecond Pulses. arXiv 2022, arXiv:2210.07790. [Google Scholar]
- Mao, S.S.; Quere, F.; Guizard, S.; Mao, X.; Russo, R.E.; Petite, G.; Martin, P. Dynamics of Femtosecond Laser Interactions with Dielectrics. Appl. Phys. A 2004, 79, 1695–1709. [Google Scholar] [CrossRef]
- Linz, N.; Freidank, S.; Liang, X.-X.; Vogel, A. Wavelength Dependence of Femtosecond Laser-Induced Breakdown in Water and Implications for Laser Surgery. Phys. Rev. B—Condens. Matter Mater. Phys. 2016, 94, 024113. [Google Scholar] [CrossRef]
- Déziel, J.L.; Dubé, L.J.; Varin, C. Dynamical Rate Equation Model for Femtosecond Laser-Induced Breakdown in Dielectrics. Phys. Rev. B 2021, 104, 045201. [Google Scholar] [CrossRef]
- Mareev, E.I.; Rumiantsev, B.V.; Migal, E.; Bychkov, A.S.; Karabutov, A.A.; Cherepetskaya, E.B.; Makarov, V.A.; Potemkin, F.V. A Comprehensive Approach for Characterisation of the Deposited Energy Density during Laser-Matter Interaction in Liquids and Solids. Meas. Sci. Technol. 2020, 31, 085204. [Google Scholar] [CrossRef]
- Mareev, E.I.; Asharchuk, N.M.; Rovenko, V.V.; Yusupov, V.I. Dynamics of Water Transition to the Supercritical State under Ultrafast Heating with Ultrashort Laser Pulses. Russ. J. Phys. Chem. B 2024, 18, 1905–1915. [Google Scholar] [CrossRef]
- Chen, X.; Munjiza, A.; Zhang, K.; Wen, D. Molecular Dynamics Simulation of Heat Transfer from a Gold Nanoparticle to a Water Pool. J. Phys. Chem. C 2014, 118, 1285–1293. [Google Scholar] [CrossRef]
- Ding, W.; Shen, Z.; Lu, J.; Ni, X. Study on the Oscillation Property of Laser-Produced Cavitation Bubbles in Water. Chin. Opt. Lett. 2005, 3, S369–S371. [Google Scholar]
- Abraham, E.; Minoshima, K.; Matsumoto, H. Femtosecond Laser-Induced Breakdown in Water: Time-Resolved Shadow Imaging and Two-Color Interferometric Imaging. Opt. Spectrosc. 2000, 176, 441–452. [Google Scholar]
- Liang, X.X.; Linz, N.; Freidank, S.; Paltauf, G.; Vogel, A. Comprehensive Analysis of Spherical Bubble Oscillations and Shock Wave Emission in Laser-Induced Cavitation. J. Fluid Mech. 2022, 940, A5. [Google Scholar] [CrossRef]
- Faccio, D.; Tamošauskas, G.; Rubino, E.; Darginavičius, J.; Papazoglou, D.G.; Tzortzakis, S.; Couairon, A.; Dubietis, A. Cavitation Dynamics and Directional Microbubble Ejection Induced by Intense Femtosecond Laser Pulses in Liquids. Phys. Rev. E 2012, 86, 036304. [Google Scholar] [CrossRef]
- Linz, N.; Freidank, S.; Liang, X.; Vogel, A. Laser-Induced Plasma Formation and Cavitation in Water: From Nanoeffects to Extreme States of Matter. arXiv 2025, arXiv:2501.11029. [Google Scholar] [CrossRef] [PubMed]
- Vogel, A.; Noack, J. Shock Wave Energy and Acoustic Energy Dissipation after Laser-Induced Breakdown. Proc. SPIE 1998, 3254, 180–189. [Google Scholar]
- Vogel, A.; Nahen, K.; Theisen, D.; Birngruber, R.; Thomas, R.J.; Rockwell, B.A. Influence of Optical Aberrations on Laser-Induced Plasma Formation in Water and Their Consequences for Intraocular Photodisruption. Appl. Opt. 1999, 38, 3636–3643. [Google Scholar] [CrossRef]
- Zhou, C. Chirped Pulse Amplification: Review and Prospective from Diffractive Optics. Chin. Opt. Lett. 2020, 18, 110502. [Google Scholar] [CrossRef]
- Liang, X.-X.; Zhang, Z.; Vogel, A. Multi-Rate-Equation Modeling of the Energy Spectrum of Laser-Induced Conduction Band Electrons in Water. Opt. Express 2019, 27, 4672. [Google Scholar] [CrossRef] [PubMed]
- Li, X.; Guan, Y. Theoretical Fundamentals of Short Pulse Laser-Metal Interaction: A Review. Nanotechnol. Precis. Eng. 2020, 3, 105–125. [Google Scholar] [CrossRef]
- Jia, X.; Zhao, X. Numerical Investigation of Ultrashort Laser Interaction with Dielectric Materials Based on a Plasma-Temperature Combined Model. J. Manuf. Process. 2017, 28, 508–514. [Google Scholar] [CrossRef]
- Rethfeld, B.; Brenk, O.; Medvedev, N.; Krutsch, H.; Hoffmann, D.H.H. Interaction of Dielectrics with Femtosecond Laser Pulses: Application of Kinetic Approach and Multiple Rate Equation. Appl. Phys. A Mater. Sci. Process. 2010, 101, 19–25. [Google Scholar] [CrossRef]
- Vogel, A.; Noack, J. Numerical Simulation of Optical Breakdown for Cellular Surgery at Nanosecond to Femtosecond Time Scales. Proc. SPIE 2001, 4260, 83–93. [Google Scholar] [CrossRef]
- Zhi, Y.; Chong, Z.; Hongchao, Z.; Jian, L. Transient Electron Temperature and Density Changes in Water Breakdown Induced by Femtosecond Laser Pulses. Opt. Commun. 2023, 546, 129803. [Google Scholar] [CrossRef]
- Marcinkevičius, A.; Mizeikis, V.; Juodkazis, S.; Matsuo, S.; Misawa, H. Effect of Refractive Index-Mismatch on Laser Microfabrication in Silica Glass. Appl. Phys. A Mater. Sci. Process. 2003, 76, 257–260. [Google Scholar] [CrossRef]
- Marchenkov, N.; Mareev, E.; Potemkin, F.; Kulikov, A.; Pilyak, F.; Ibragimov, E.; Scholar, G. Hybrid Approach for Multiscale and Multimodal Time-Resolved Diagnosis of Ultrafast Processes in Materials via Tailored Sychronization of Laser and X-Ray Sources at MHz Repetition Rates. Optics 2023, 5, 1–10. [Google Scholar] [CrossRef]
- Potemkin, F.V.; Mareev, E.I.; Podshivalov, A.A.; Gordienko, V.M. Laser Control of Filament-Induced Shock Wave in Water. Laser Phys. Lett. 2014, 11, 106001. [Google Scholar] [CrossRef]
- Lamoureux, G.; MacKerell, A.D.; Roux, B. A Simple Polarizable Model of Water Based on Classical Drude Oscillators. J. Chem. Phys. 2003, 119, 5185–5197. [Google Scholar] [CrossRef]
- Delibasic, H.; Petrovic, V.; Petrovic, I. Laser Breakdown in Water Induced by λ = 532 Nm Nanosecond Pulses: Analytical Calculation of the Number Density of Free Electrons. J. Phys. Soc. Japan 2020, 89, 114501. [Google Scholar] [CrossRef]
- Liu, W.; Kosareva, O.; Golubtsov, I.S.; Iwasaki, A.; Becker, A.; Kandidov, V.P.; Chin, S.L. Femtosecond Laser Pulse Filamentation versus Optical Breakdown in H2O. Appl. Phys. B Lasers Opt. 2003, 76, 215–229. [Google Scholar] [CrossRef]
- Gauduel, Y.; Pommeret, S.; Migus, A.; Antonetti, A. Some Evidence of Ultrafast H2O+-Water Molecule Reaction in Femtosecond Photoionization of Pure Liquid Water: Influence on Geminate Pair Recombination Dynamics. Chem. Phys. 1990, 149, 1–10. [Google Scholar] [CrossRef]
- Vogel, A.; Noack, J.; Nahen, K.; Theisen, D.; Busch, S.; Parlitz, U.; Hammer, D.X.; Noojin, G.D.; Rockwell, B.A. Energy Balance of Optical Breakdown in Water at Nanosecond to Femtosecond Time Scales. Appl. Phys. B 1999, 68, 271–280. [Google Scholar] [CrossRef]
- Potemkin, F.V.; Mareev, E.I.; Podshivalov, A.A.; Gordienko, V.M. Highly Extended High Density Filaments in Tight Focusing Geometry in Water: From Femtoseconds to Microseconds. New J. Phys. 2015, 17, 053010. [Google Scholar] [CrossRef]






| Parameter | Value | Reference | Change in Fth Due to 10% Change in Parameter |
|---|---|---|---|
| Damping rate | 12 × 1014 s−1 | [38] | −0.2% |
| mc | 0.5 × me | [39] | 14.1% |
| Bandgap | 9.5 eV | [29] | −15.9% |
| Cross-section | 1.5 × 10−19m−2 | [40] | −0.39% |
| Recombination rate | 1/1.2 ps−1 | [41] | 1.11% |
| Free-electron seed | 1012 cm−3 | [40] | 0.53% |
Disclaimer/Publisher’s Note: The statements, opinions and data contained in all publications are solely those of the individual author(s) and contributor(s) and not of MDPI and/or the editor(s). MDPI and/or the editor(s) disclaim responsibility for any injury to people or property resulting from any ideas, methods, instructions or products referred to in the content. |
© 2025 by the authors. Licensee MDPI, Basel, Switzerland. This article is an open access article distributed under the terms and conditions of the Creative Commons Attribution (CC BY) license (https://creativecommons.org/licenses/by/4.0/).
Share and Cite
Rishkov, N.; Asharchuk, N.; Yusupov, V.; Mareev, E. The Influence of Ultrashort Laser Pulse Duration on Shock Wave Generation in Water Under Tight Focusing Conditions. Photonics 2025, 12, 1067. https://doi.org/10.3390/photonics12111067
Rishkov N, Asharchuk N, Yusupov V, Mareev E. The Influence of Ultrashort Laser Pulse Duration on Shock Wave Generation in Water Under Tight Focusing Conditions. Photonics. 2025; 12(11):1067. https://doi.org/10.3390/photonics12111067
Chicago/Turabian StyleRishkov, Nikita, Nika Asharchuk, Vladimir Yusupov, and Evgenii Mareev. 2025. "The Influence of Ultrashort Laser Pulse Duration on Shock Wave Generation in Water Under Tight Focusing Conditions" Photonics 12, no. 11: 1067. https://doi.org/10.3390/photonics12111067
APA StyleRishkov, N., Asharchuk, N., Yusupov, V., & Mareev, E. (2025). The Influence of Ultrashort Laser Pulse Duration on Shock Wave Generation in Water Under Tight Focusing Conditions. Photonics, 12(11), 1067. https://doi.org/10.3390/photonics12111067

