Solitons in a One-Dimensional Rhombic Waveguide Array
Abstract
1. Introduction
2. Related Work
3. Theoretical Model
4. Linear Problems
4.1. Three Waveguides with Positive Refractive Indices
4.2. A Pair of Waveguides
4.3. Three Waveguides with Alternating Refractive Indices
5. Modulated Linear Waves
6. Solitons
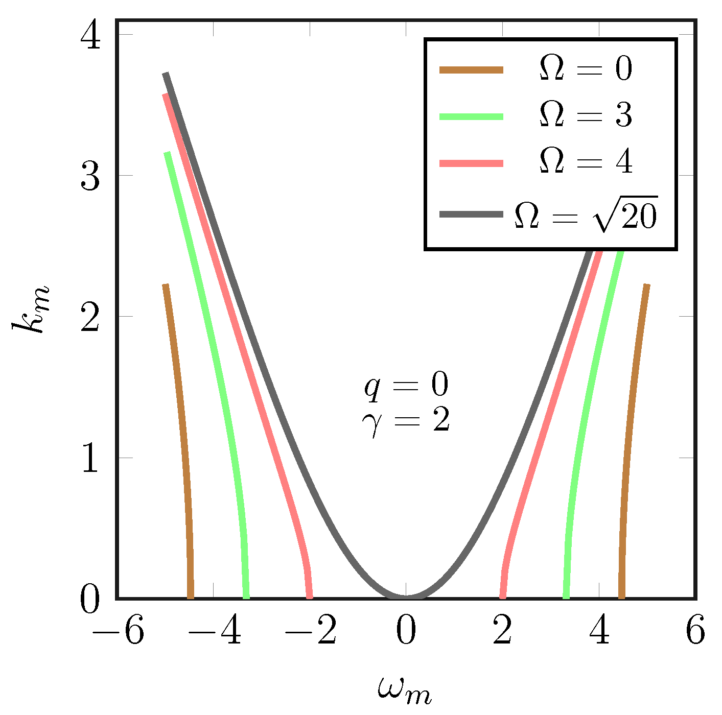
6.1. Outside the Gap ()
6.2. On the Gap and Inside the Gap ()
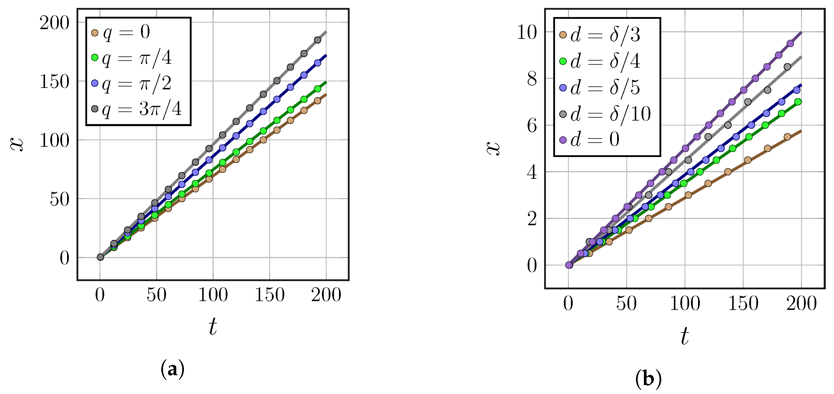
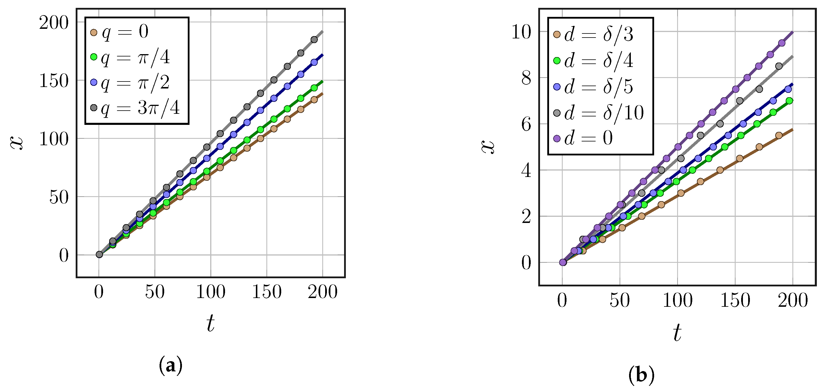
7. Formation of Solitons
7.1. Benchmark Against Bragg-Type Couplers and Standard Metrics
7.2. Formation of the Soliton Profile
7.3. Order-of-Magnitude Power Levels
- Effective dispersion near a Bragg point can reach s2/m, depending on design [69].
7.4. Concrete Device Sketches
- Corrugated (Bragg) rhombic cell. The A-arm is a straight waveguide (forward mode), while the B/C arms incorporate weak Bragg corrugations tuned to contra-directionally couple forward/backward Bloch modes at the operating wavelength. The lattice constant is set by the horizontal pitch of the rhombi; the grating period obeys .
- FBG-assisted coupler chain. A 1D array in which every second arm carries a shallow Bragg grating (backward mode), interleaved with unmodulated arms (forward mode). The nearest-neighbour couplings implement the rhombic connectivity; the coupling asymmetry is adjusted to set .
8. Conclusions
Author Contributions
Funding
Data Availability Statement
Acknowledgments
Conflicts of Interest
References
- Ablowitz, M.J.; Cole, J.T. Nonlinear optical waveguide lattices: Asymptotic analysis, solitons, and topological insulators. Phys. D Nonlinear Phenom. 2022, 440, 133440. [Google Scholar] [CrossRef]
- Lederer, F.; Stegeman, G.I.; Christodoulides, D.N.; Assanto, G.; Segev, M.; Silberberg, Y. Discrete solitons in optics. Phys. Rep. 2008, 463, 1–126. [Google Scholar] [CrossRef]
- Kang, J.; Wei, R.; Zhang, Q.; Dong, G. Topological Photonic States in Waveguide Arrays. Adv. Phys. Res. 2023, 2, 2200053. [Google Scholar] [CrossRef]
- Smirnova, D.; Leykam, D.; Chong, Y.; Kivshar, Y. Nonlinear topological photonics. Appl. Phys. Rev. 2020, 7, 021306. [Google Scholar] [CrossRef]
- Hofstrand, A.; Li, H.; Weinstein, M.I. Discrete Breathers of Nonlinear Dimer Lattices: Bridging the Anti-continuous and Continuous Limits. J. Nonlinear Sci. 2023, 33, 49. [Google Scholar] [CrossRef]
- Leykam, D.; Andreanov, A.; Flach, S. Artificial flat band systems: From lattice models to experiments. Adv. Phys. X 2018, 3, 1473052. [Google Scholar] [CrossRef]
- Danieli, C.; Andreanov, A.; Leykam, D.; Flach, S. Flat band fine-tuning and its photonic applications. Nanophotonics 2024, 13, 3925–3944. [Google Scholar] [CrossRef] [PubMed]
- Poblete, R.A.V. Photonic flat band dynamics. Adv. Phys. X 2021, 6, 1878057. [Google Scholar] [CrossRef]
- Tan, D.X.T.H. Topological silicon photonics. Adv. Photonics Res. 2021, 2, 2100010. [Google Scholar] [CrossRef]
- Longhi, S. Aharonov–Bohm photonic cages in waveguide and coupled resonator lattices by synthetic magnetic fields. Opt. Lett. 2014, 39, 5892–5895. [Google Scholar] [CrossRef]
- Mukherjee, S.; Thomson, R.R. Observation of localized flat-band modes in a quasi-one-dimensional photonic rhombic lattice. Opt. Lett. 2015, 40, 5443–5446. [Google Scholar] [CrossRef]
- Zegadlo, K.; Dror, N.; Viet Hung, N.; Trippenbach, M.; Malomed, B.A. Single and double linear and nonlinear flatband chains: Spectra and modes. Phys. Rev. E 2017, 96, 012204. [Google Scholar] [CrossRef] [PubMed]
- Roy, N.; Ramachandran, A.; Sharma, A. Interplay of disorder and interactions in a flat-band supporting diamond chain. Phys. Rev. Res. 2020, 2, 043395. [Google Scholar] [CrossRef]
- Maimistov, A.I.; Lyashko, E.I.; Elyutin, E.O. Localized waves in the nonlinear rhombic waveguide array. J. Phys. Conf. Ser. 2020, 1628, 012010. [Google Scholar] [CrossRef]
- Veselago, V.G. The electrodynamics of substances with simultaneously negative values of ϵ and μ. Sov. Phys. Usp. 1968, 10, 509–514. [Google Scholar] [CrossRef]
- Litchinitser, N.M.; Gabitov, I.R.; Maimistov, A.I. Optical Bistability in a Nonlinear Optical Coupler with a Negative Index Channel. Phys. Rev. Lett. 2007, 99, 113902. [Google Scholar] [CrossRef]
- Bykov, N.V.; Maimistov, A.I. Diffraction of electromagnetic radiation near an interface between discrete positive and negative refractive media. Bull. Russ. Acad. Sci. Phys. 2016, 80, 770–773. [Google Scholar] [CrossRef]
- Zezyulin, D.A.; Konotop, V.V.; Abdullaev, F.K. Discrete solitons in arrays of positive and negative index waveguides. Opt. Lett. 2012, 37, 3930–3932. [Google Scholar] [CrossRef]
- Dovgiy, A.A.; Besedin, I.S. Discrete gap solitons in binary positive-negative index nonlinear waveguide arrays with strong second-order couplings. Phys. Rev. E 2015, 92, 032904. [Google Scholar] [CrossRef]
- Hill, M.T. Optical waveguide switch based on a negative-index metamaterial load. Opt. Lett. 2023, 48, 948–951. [Google Scholar] [CrossRef]
- De Corte, A.; Koufidis, S.F.; McCall, M.W.; Maes, B. Exceptional points in negatively refracting chirowaveguides due to giant chirality. Phys. Rev. A 2024, 110, 053513. [Google Scholar] [CrossRef]
- Mutter, P.; Laurell, F.; Pasiskevicius, V.; Zukauskas, A. Backward wave optical parametric oscillation in a waveguide. npj Nanophotonics 2024, 1, 38. [Google Scholar] [CrossRef]
- Braunstein, S.L.; Faizal, M.; Krauss, L.M.; Marino, F.; Shah, N.A. Analogue simulations of quantum gravity with fluids. Nat. Rev. Phys. 2023, 5, 612–622. [Google Scholar] [CrossRef]
- Nguyen, H.S.; Gerace, D.; Carusotto, I.; Sanvitto, D.; Galopin, E.; Lemaître, A.; Sagnes, I.; Bloch, J.; Amo, A. Acoustic Black Hole in a Stationary Hydrodynamic Flow of Microcavity Polaritons. Phys. Rev. Lett. 2015, 114, 036402. [Google Scholar] [CrossRef]
- Altman, E.; Brown, K.R.; Carleo, G.; Carr, L.D.; Demler, E.; Chin, C.; DeMarco, B.; Economou, S.E.; Eriksson, M.A.; Fu, K.M.C.; et al. Quantum Simulators: Architectures and Opportunities. PRX Quantum 2021, 2, 017003. [Google Scholar] [CrossRef]
- Smolyaninova, V.N.; Cartelli, J.; Augstein, B.; Spickard, S.; Devadas, M.S.; Smolyaninov, I.I. Experimental observation of effective gravity and two-time physics in ferrofluid-based hyperbolic metamaterials. Adv. Photonics 2020, 2, 056001. [Google Scholar] [CrossRef]
- Leykam, D.; Flach, S. Perspective: Photonic flatbands. APL Photonics 2018, 3, 070901. [Google Scholar] [CrossRef]
- Goblot, V.; Rauer, B.; Vicentini, F.; Le Boité, A.; Galopin, E.; Lemaître, A.; Le Gratiet, L.; Harouri, A.; Sagnes, I.; Ravets, S.; et al. Nonlinear Polariton Fluids in a Flatband Reveal Discrete Gap Solitons. Phys. Rev. Lett. 2019, 123, 113901. [Google Scholar] [CrossRef]
- Tang, L.; Song, D.; Xia, S.; Xia, S.; Ma, J.; Yan, W.; Hu, Y.; Xu, J.; Leykam, D.; Chen, Z. Photonic flat-band lattices and unconventional light localization. Nanophotonics 2020, 9, 1161–1176. [Google Scholar] [CrossRef]
- Xia, S.; Danieli, C.; Zhang, Y.; Zhao, X.; Lu, H.; Tang, L.; Li, D.; Song, D.; Chen, Z. Higher-order exceptional point and Landau–Zener Bloch oscillations in driven non-Hermitian photonic Lieb lattices. APL Photonics 2021, 6, 126106. [Google Scholar] [CrossRef]
- Ota, Y.; Takata, K.; Ozawa, T.; Amo, A.; Iwamoto, S.; Arakawa, Y. Active topological photonics. Nanophotonics 2020, 9, 547–567. [Google Scholar] [CrossRef]
- Wang, S.; Wang, B.; Liu, C.; Qin, C.; Zhao, L.; Liu, W.; Longhi, S.; Lu, P. Nonlinear Non-Hermitian Skin Effect and Skin Solitons in Temporal Photonic Feedforward Lattices. Phys. Rev. Lett. 2025, 134, 243805. [Google Scholar] [CrossRef] [PubMed]
- Hao, L. One-dimensional flat bands and Dirac cones in narrow zigzag dice lattice ribbons. Mater. Sci. Eng. B 2023, 293, 116486. [Google Scholar] [CrossRef]
- Maimaiti, W.; Andreanov, A.; Park, H.C.; Gendelman, O.; Flach, S. Compact localized states and flat-band generators in one dimension. Phys. Rev. B 2017, 95, 115135. [Google Scholar] [CrossRef]
- Ji, K.; Qi, X.; Li, S.; Han, K.; Wen, Z.; Zhang, G.; Bai, J. Nonlinearity-dependent asymmetric transmission in a sawtooth photonic lattice with defects. Laser Phys. 2018, 28, 045404. [Google Scholar] [CrossRef]
- Shen, S.Q. Topological Insulators: Dirac Equation in Condensed Matter, 2nd ed.; Springer: Singapore, 2017. [Google Scholar] [CrossRef]
- Ozawa, T.; Price, H.M.; Amo, A.; Goldman, N.; Hafezi, M.; Lu, L.; Rechtsman, M.C.; Schuster, D.; Simon, J.; Zilberberg, O.; et al. Topological photonics. Rev. Mod. Phys. 2019, 91, 015006. [Google Scholar] [CrossRef]
- Szameit, A.; Rechtsman, M.C. Discrete nonlinear topological photonics. Nat. Phys. 2024, 20, 905–915. [Google Scholar] [CrossRef]
- Yang, J.; Li, Y.; Yang, Y.; Xie, X.; Zhang, Z.; Yuan, J.; Cai, H.; Wang, D.W.; Gao, F. Realization of all-band-flat photonic lattices. Nat. Commun. 2024, 15, 1484. [Google Scholar] [CrossRef]
- Tetarwal, A.; Sharma, S.; Mukherjee, S. Nonlinearity-induced band gap transmission in dispersive and flat-band photonic lattices. Opt. Lett. 2025, 50, 4626–4629. [Google Scholar] [CrossRef]
- Lara, A.P.; Roy, S. A comprehensive study on beam dynamics inside symmetrically chirped waveguide array mimicking the graded index media. arXiv 2025, arXiv:2506.00901. [Google Scholar] [CrossRef]
- Guo, M.; Xia, S.; Wang, N.; Song, D.; Chen, Z.; Yang, J. Weakly nonlinear topological gap solitons in Su–Schrieffer–Heeger photonic lattices. Opt. Lett. 2020, 45, 6466–6469. [Google Scholar] [CrossRef]
- Sabour, K.; Kartashov, Y.V. Topological solitons in coupled Su–Schrieffer–Heeger waveguide arrays. Opt. Lett. 2024, 49, 3580–3583. [Google Scholar] [CrossRef]
- Song, W.; Sun, W.; Chen, C.; Li, X.; Li, Z. Robust and Broadband Optical Coupling by Topological Waveguide Arrays. Laser Photonics Rev. 2020, 14, 1900193. [Google Scholar] [CrossRef]
- Efremidis, N.K.; Christodoulides, D.N. Discrete solitons in nonlinear zigzag optical waveguide arrays with tailored diffraction properties. Phys. Rev. E 2002, 65, 056607. [Google Scholar] [CrossRef]
- Conforti, M.; De Angelis, C.; Akylas, T.R. Energy localization and transport in binary waveguide arrays. Phys. Rev. A 2011, 83, 043822. [Google Scholar] [CrossRef]
- Su, W.P.; Schrieffer, J.R.; Heeger, A.J. Solitons in Polyacetylene. Phys. Rev. Lett. 1979, 42, 1698–1701. [Google Scholar] [CrossRef]
- Parto, M.; Lopez-Aviles, H.; Khajavikhan, M.; Amezcua-Correa, R.; Christodoulides, D.N. Topological Aharonov-Bohm suppression of optical tunneling in twisted nonlinear multicore fibers. Phys. Rev. A 2017, 96, 043816. [Google Scholar] [CrossRef]
- Betancourt, A.V.; González, G.M.; Pavón, L.C.G.; Ramos, A.L.; Panameño, E.A.M. Influence of geometry of waveguide arrays to get discrete solitons. In Proceedings of the Volume 8011, 22nd Congress of the International Commission for Optics: Light for the Development of the World, Puebla, Mexico, 15–19 August 2011; SPIE: Bellingham, WA, USA, 2011; Volume 8011, pp. 1492–1499. [Google Scholar] [CrossRef]
- Beder, I.; Brandão, P.A. Quantum state transfer in a ring geometry of optical waveguides having nonuniform couplings. Phys. Lett. A 2024, 525, 129926. [Google Scholar] [CrossRef]
- Mukherjee, S.; Di Liberto, M.; Öhberg, P.; Thomson, R.R.; Goldman, N. Experimental Observation of Aharonov-Bohm Cages in Photonic Lattices. Phys. Rev. Lett. 2018, 121, 075502. [Google Scholar] [CrossRef]
- Longhi, S. Inverse Anderson transition in photonic cages. Opt. Lett. 2021, 46, 2872–2875. [Google Scholar] [CrossRef]
- Akimoto, O.; Ikeda, K. Steady propagation of a coherent light pulse in a dielectric medium. I. J. Phys. A Math. Gen. 1977, 10, 425. [Google Scholar] [CrossRef]
- Darmanyan, S.A.; Kamchatnov, A.M.; Nevière, M. Polariton effect in nonlinear pulse propagation. J. Exp. Theor. Phys. 2003, 96, 876–884. [Google Scholar] [CrossRef][Green Version]
- Yariv, A. Coupled-mode theory for guided-wave optics. IEEE J. Quantum Electron. 1973, 9, 919–933. [Google Scholar] [CrossRef]
- Kivshar, Y.S.; Agrawal, G.P. Optical Solitons: From Fibers to Photonic Crystals; Academic Press: New York, NY, USA, 2003. [Google Scholar]
- Agrawal, G.P. Nonlinear Fiber Optics, 6th ed.; Academic Press: New York, NY, USA, 2019. [Google Scholar]
- De Sterke, C.M.; Sipe, J. Coupled modes and the nonlinear Schrödinger equation. Phys. Rev. A 1990, 42, 550. [Google Scholar] [CrossRef]
- Maimistov, A.I.; Patrikeev, V.A. Electromagnetic field distribution in a quasi-1D rhombic waveguide array. J. Phys. Conf. Ser. 2016, 737, 012008. [Google Scholar] [CrossRef]
- Leykam, D.; Flach, S.; Bahat-Treidel, O.; Desyatnikov, A.S. Flat band states: Disorder and nonlinearity. Phys. Rev. B 2013, 88, 224203. [Google Scholar] [CrossRef]
- Yulin, A.; Konotop, V. Conservative and PT-symmetric compactons in waveguide networks. Optics Lett. 2013, 38, 4880–4883. [Google Scholar] [CrossRef] [PubMed]
- Gligorić, G.; Maluckov, A.; Hadžievski, L.; Flach, S.; Malomed, B.A. Nonlinear localized flat-band modes with spin-orbit coupling. Phys. Rev. B 2016, 94, 144302. [Google Scholar] [CrossRef]
- Kamchatnov, A.M. Nonlinear Periodic Waves and Their Modulations: An Introductory Course; World Scientific: Singapore, 2000. [Google Scholar]
- El, G.; Hoefer, M. Dispersive shock waves and modulation theory. Phys. D Nonlinear Phenom. 2016, 333, 11–65. [Google Scholar] [CrossRef]
- Kamchatnov, A.; Kraenkel, R.; Umarov, B. Asymptotic soliton train solutions of the defocusing nonlinear Schrödinger equation. Phys. Rev. E 2002, 66, 036609. [Google Scholar] [CrossRef]
- Kamchatnov, A. Asymptotic theory of not completely integrable soliton equations. Chaos Interdiscip. J. Nonlinear Sci. 2023, 33, 093105. [Google Scholar] [CrossRef] [PubMed]
- Moss, D.J.; Morandotti, R.; Gaeta, A.L.; Lipson, M. New CMOS-compatible platforms based on silicon nitride and Hydex for nonlinear optics. Nat. Photonics 2013, 7, 597–607. [Google Scholar] [CrossRef]
- Kippenberg, T.J.; Gaeta, A.L.; Lipson, M.; Gorodetsky, M.L. Dissipative Kerr solitons in optical microresonators. Science 2018, 361, eaan8083. [Google Scholar] [CrossRef]
- Blanco-Redondo, A.; Husko, C.; Eades, D.; Zhang, W.; Grillet, C.; Eggleton, B. Pure-quartic solitons. Nat. Commun. 2016, 7, 10427. [Google Scholar] [CrossRef]
- Xue, H.; Yang, Y.; Gao, F.; Chong, Y.D.; Zhang, B. Acoustic higher-order topological insulator on a kagome lattice. Nat. Mater. 2019, 18, 108–112. [Google Scholar] [CrossRef]
- Guo, P.Y.; Wang, L.W.; Li, W.; Hu, J.; Jiang, J.H.; Wang, H.X. Multiband topology in acoustic coupled Su–Schrieffer–Heeger chains. Phys. Rev. Appl. 2024, 22, 054079. [Google Scholar] [CrossRef]







Disclaimer/Publisher’s Note: The statements, opinions and data contained in all publications are solely those of the individual author(s) and contributor(s) and not of MDPI and/or the editor(s). MDPI and/or the editor(s) disclaim responsibility for any injury to people or property resulting from any ideas, methods, instructions or products referred to in the content. |
© 2025 by the authors. Licensee MDPI, Basel, Switzerland. This article is an open access article distributed under the terms and conditions of the Creative Commons Attribution (CC BY) license (https://creativecommons.org/licenses/by/4.0/).
Share and Cite
Shaykin, D.V.; Bykov, N.V. Solitons in a One-Dimensional Rhombic Waveguide Array. Photonics 2025, 12, 1054. https://doi.org/10.3390/photonics12111054
Shaykin DV, Bykov NV. Solitons in a One-Dimensional Rhombic Waveguide Array. Photonics. 2025; 12(11):1054. https://doi.org/10.3390/photonics12111054
Chicago/Turabian StyleShaykin, Dmitry V., and Nikita V. Bykov. 2025. "Solitons in a One-Dimensional Rhombic Waveguide Array" Photonics 12, no. 11: 1054. https://doi.org/10.3390/photonics12111054
APA StyleShaykin, D. V., & Bykov, N. V. (2025). Solitons in a One-Dimensional Rhombic Waveguide Array. Photonics, 12(11), 1054. https://doi.org/10.3390/photonics12111054

