1970 W 1030 nm Single-Mode All-Fiber Master Oscillator Power Amplifier with ~3.2 GHz Linewidth Based on Ultra-Low NA Active Fiber
Abstract
1. Introduction
2. Experimental Setup
3. Experimental Results
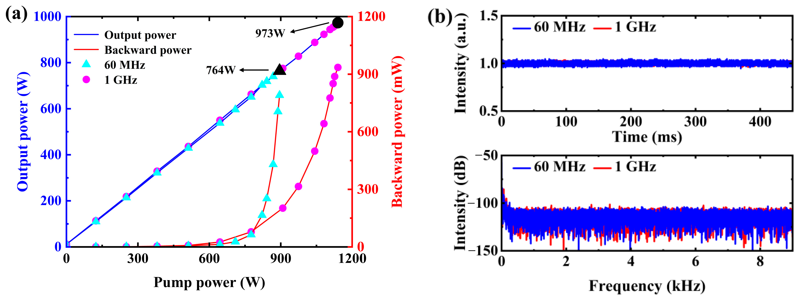
3.1. Single-Stage Sinusoidal Phase Modulation
3.2. Two-Stage Sinusoidal Phase Modulation
4. Discussion
5. Conclusions
Author Contributions
Funding
Data Availability Statement
Conflicts of Interest
References
- Zheng, Y.; Yang, Y.; Wang, J.; Hu, M.; Liu, G.; Zhao, X.; Chen, X.; Liu, K.; Zhao, C.; He, B.; et al. 10.8 kW spectral beam combination of eight all-fiber superfluorescent sources and their dispersion compensation. Opt. Express 2016, 24, 12063–12071. [Google Scholar] [CrossRef]
- Chen, F.; Ma, J.; Wei, C.; Zhu, R.; Zhou, W.; Yuan, Q.; Pan, S.; Zhang, J.; Wen, Y.; Dou, J. 10 kW-level spectral beam combination of two high power broad-linewidth fiber lasers by means of edge filters. Opt. Express 2017, 25, 32783–32791. [Google Scholar] [CrossRef]
- Diaz, R.; Chan, S.-C.; Liu, J.-M. Lidar detection using a dual-frequency source. Opt. Lett. 2006, 31, 3600–3602. [Google Scholar] [CrossRef]
- Richardson, D.J.; Nilsson, J.; Clarkson, W.A. High power fiber lasers: Current status and future perspectives [Invited]. J. Opt. Soc. Am. B 2010, 27, B63–B92. [Google Scholar] [CrossRef]
- Henderson, A.; Stafford, R. Low threshold, singly-resonant CW OPO pumped by an all-fiber pump source. Opt. Express 2006, 14, 767–772. [Google Scholar] [CrossRef] [PubMed]
- Wu, H.; Wang, P.; Song, J.; Ye, J.; Xu, J.; Li, X.; Zhou, P. High power tunable mid-infrared optical parametric oscillator enabled by random fiber laser. Opt. Express 2018, 26, 6446–6455. [Google Scholar] [CrossRef]
- Fan, T.Y. Laser beam combining for high-power, high-radiance sources. IEEE J. Sel. Top. Quantum Electron. 2005, 11, 567–577. [Google Scholar] [CrossRef]
- Pavlov, N.G.; Koptyaev, S.; Lihachev, G.V.; Voloshin, A.S.; Gorodnitskiy, A.S.; Ryabko, M.V.; Polonsky, S.V.; Gorodetsky, M.L. Narrow-linewidth lasing and soliton Kerr microcombs with ordinary laser diodes. Nat. Photonics 2018, 12, 694–698. [Google Scholar] [CrossRef]
- Ma, P.; Yao, T.; Liu, W.; Pan, Z.; Chen, Y.; Yang, H.; Chen, Z.; Wang, Z.; Zhou, P.; Chen, J. A 7-kW narrow-linewidth fiber amplifier assisted by optimizing the refractive index of the large-mode-area active fiber. High Power Laser Sci. Eng. 2024, 12, e67. [Google Scholar] [CrossRef]
- Wang, Y.; Peng, W.; Liu, H.; Yang, X.; Yu, H.; Wang, Y.; Wang, J.; Feng, Y.; Sun, Y.; Ma, Y.; et al. Linearly polarized fiber amplifier with narrow linewidth of 5 kW exhibiting a record output power and near-diffraction-limited beam quality. Opt. Lett. 2023, 48, 2909–2912. [Google Scholar] [CrossRef]
- Huang, Z.; Shu, Q.; Tao, R.; Chu, Q.; Luo, Y.; Yan, D.; Feng, X.; Liu, Y.; Wu, W.; Zhang, H.; et al. >5kW Record High Power Narrow Linewidth Laser From Traditional Step-Index Monolithic Fiber Amplifier. IEEE Photon. Technol. Lett. 2021, 33, 1181–1184. [Google Scholar] [CrossRef]
- Ma, P.; Pan, Z.; Yao, T.; Yang, H.; Chen, Y.; Liu, W.; Wang, X.; Wang, Z.; Zhou, P.; Chen, J. 5 kW power-level 1050 nm narrow-linewidth fiber amplifier enabled by biconical-tapered active fiber. Opt. Lett. 2024, 49, 2922–2925. [Google Scholar] [CrossRef]
- Paschotta, R.; Nilsson, J.; Tropper, A.C.; Hanna, D.C. Ytterbium-doped fiber amplifiers. IEEE J. Quantum Electron. 1997, 33, 1049–1056. [Google Scholar] [CrossRef]
- Liu, W.; Ren, S.; Ma, P.; Zhou, P. Impact of amplified spontaneous emission noise on the SRS threshold of high-power fiber amplifiers. Chin. Phys. B 2023, 32, 265–269. [Google Scholar] [CrossRef]
- Chu, Q.; Shu, Q.; Liu, Y.; Tao, R.; Yan, D.; Lin, H.; Wang, J.; Jing, F. 3 kW high OSNR 1030 nm single-mode monolithic fiber amplifier with a 180 pm linewidth. Opt. Lett. 2020, 45, 6502–6505. [Google Scholar] [CrossRef] [PubMed]
- Ren, S.; Lai, W.; Wang, G.; Li, W.; Song, J.; Chen, Y.; Ma, P.; Liu, W.; Zhou, P. Experimental study on the impact of signal bandwidth on the transverse mode instability threshold of fiber amplifiers. Opt. Express 2022, 30, 7845–7853. [Google Scholar] [CrossRef]
- Jauregui, C.; Limpert, J.; Tünnermann, A. Derivation of Raman threshold formulas for CW double-clad fiber amplifiers. Opt. Express 2009, 17, 8476–8490. [Google Scholar] [CrossRef] [PubMed]
- Naderi, N.A.; Flores, A.; Anderson, B.M.; Dajani, I. Beam combinable, kilowatt, all-fiber amplifier based on phase-modulated laser gain competition. Opt. Lett. 2016, 41, 3964–3967. [Google Scholar] [CrossRef]
- Wang, Y.; Feng, Y.; Wang, X.; Yan, H.; Peng, J.; Peng, W.; Sun, Y.; Ma, Y.; Tang, C. 6.5 GHz linearly polarized kilowatt fiber amplifier based on active polarization control. Appl. Opt. 2017, 56, 2760–2765. [Google Scholar] [CrossRef] [PubMed]
- Liu, M.; Yang, Y.; Shen, H.; Zhang, J.; Zou, X.; Wang, H.; Yuan, L.; You, Y.; Bai, G.; He, B.; et al. 1.27 kW, 2.2 GHz pseudo-random binary sequence phase modulated fiber amplifier with Brillouin gain-spectrum overlap. Sci. Rep. 2020, 10, 629. [Google Scholar] [CrossRef]
- Hawkins, T.W.; Dragic, P.D.; Yu, N.; Flores, A.; Engholm, M.; Ballato, J. Kilowatt power scaling of an intrinsically low Brillouin and thermo-optic Yb-doped silica fiber [Invited]. J. Opt. Soc. Am. B 2021, 38, 38–49. [Google Scholar] [CrossRef]
- Gu, Q.; Zhao, Q.; Yang, C.; Jiang, K.; Guan, X.; Zeng, C.; Jiang, W.; Sun, Y.; Huang, C.; Zhou, K.; et al. 2.02 kW and 4.7 GHz linewidth near-diffraction-limited all-fiber MOPA laser. Appl. Phys. Express 2022, 15, 032001. [Google Scholar] [CrossRef]
- Kim, D.J.; Koo, J.; Jun, S.W.; Jeong, H.; Lee, H.; Lee, J.H.; Jo, M. A 2 kW, 8 GHz-Linewidth Yb-Doped Polarization-Maintained Fiber Laser with Quasi-Flat-Top Pseudo Random Binary Sequence Phase Modulation for SBS Suppression. Nanomaterials 2023, 13, 1329. [Google Scholar] [CrossRef]
- Liu, H.; Feng, Y.; Yang, X.; Wang, Y.; Yu, H.; Wang, J.; Peng, W.; Wang, Y.; Sun, Y.; Ma, Y.; et al. 3.2-kW 9.7-GHz Polarization-maintaining Narrow-linewidth All-fiber Amplifier. Curr. Opt. Photonics 2024, 8, 65–71. [Google Scholar]
- Schmidt, O.; Rekas, M.; Wirth, C.; Rothhardt, J.; Rhein, S.; Kliner, A.; Strecker, M.; Schreiber, T.; Limpert, J.; Eberhardt, R.; et al. High power narrow-band fiber-based ASE source. Opt. Express 2011, 19, 4421–4427. [Google Scholar] [CrossRef] [PubMed]
- Naderi, N.A.; Dajani, I.; Flores, A. High-efficiency, kilowatt 1034 nm all-fiber amplifier operating at 11 pm linewidth. Opt. Lett. 2016, 41, 1018–1021. [Google Scholar] [CrossRef]
- Liu, Y.; Li, W.; Wang, C.; Cui, M.; Chen, Z.; Liu, W.; Xiao, H.; Ma, P.; Wang, Z. 1.4 kW 1030 nm all-fiber amplifier with ~3.5 GHz linewidth assisted by confined Yb-doped active fiber and cascaded phase modulation technique. Opt. Express 2025, 33, 32022–32032. [Google Scholar] [CrossRef]
- Wang, Y.; Sun, Y.; Peng, W.; Feng, Y.; Wang, J.; Ma, Y.; Gao, Q.; Zhu, R.; Tang, C. 3.25 kW all-fiberized and polarization-maintained Yb-doped amplifier with a 20 GHz linewidth and near-diffraction-limited beam quality. Appl. Opt. 2021, 60, 6331–6336. [Google Scholar] [CrossRef]
- Liao, S.; Luo, T.; Xiao, R.; Zhang, Z.; Xing, Y.; Chu, Y.; Li, H.; Peng, J.; Dai, N.; Li, J. Stimulated Brillouin scattering induced mode degradation in high-power narrow linewidth linearly polarized fiber amplifiers. Opt. Laser Technol. 2023, 162, 109286. [Google Scholar] [CrossRef]
- Achar, V.H.; Johan, N. Optimization of phase modulation with arbitrary waveform generators for optical spectral control and suppression of stimulated Brillouin scattering. Opt. Express 2015, 23, 6988–6999. [Google Scholar] [CrossRef]
- Anderson, B.M.; Hui, R.; Flores, A.; Dajani, I. SBS suppression and coherence properties of a flat top optical spectrum in a high power fiber amplifier. In Proceedings of the Fiber Lasers Xiv: Technology and Systems, San Francisco, CA, USA, 30 January–2 February 2017; Volume 10083, pp. 156–163. [Google Scholar]
- White, J.O.; Young, J.T.; Wei, C.; Hu, J.; Menyuk, C.R. Seeding fiber amplifiers with piecewise parabolic phase modulation for high SBS thresholds and compact spectra. Opt. Express 2019, 23, 2962–2974. [Google Scholar] [CrossRef] [PubMed]
- Jiang, M.; Su, R.; Wang, X.; Zhou, P. Time-domain characteristic regulation of pulse fiber amplifier based on stochastic parallel gradient algorithm. Laser Optoelectron. Prog. 2017, 54, 030604. [Google Scholar] [CrossRef]
- Li, P.; Wang, S.; Mashanovich, G.Z.; Ou, J.; Yan, J. Enhanced stimulated Brillouin scattering in the unsuspended silicon waveguide assisted with genetic algorithms. Opt. Express 2023, 31, 16162–16177. [Google Scholar] [CrossRef]
- Zhang, Z.; Lin, X.; Zhang, X.; Luo, Y.; Liao, S.; Wang, X.; Chen, G.; Xing, Y.; Li, H.; Peng, J.; et al. Low-numerical aperture confined-doped long-tapered Yb-doped silica fiber for a single-mode high-power fiber amplifier. Opt. Express 2022, 30, 32333–32346. [Google Scholar] [CrossRef] [PubMed]
- An, Y.; Li, F.; Yang, H.; Chen, X.; Huang, L.; Yan, Z.; Jiang, M.; Yang, B.; Wang, P.; Pan, Z.; et al. Single trench fiber-enabled high-power fiber laser. Photonics 2024, 11, 615. [Google Scholar] [CrossRef]
- Li, W.; Liu, W.; Deng, Y.; Chen, Y.; Yang, H.; Chen, Q.; Zheng, J.; Xiao, H.; Chen, Z.; Pan, Z.; et al. Functional Yb-doped fiber with a bat-type refractive index distribution for beyond kilowatt all-fiber single-frequency laser amplification. Light Sci. Appl. 2025, 14, 271. [Google Scholar] [CrossRef]







Disclaimer/Publisher’s Note: The statements, opinions and data contained in all publications are solely those of the individual author(s) and contributor(s) and not of MDPI and/or the editor(s). MDPI and/or the editor(s) disclaim responsibility for any injury to people or property resulting from any ideas, methods, instructions or products referred to in the content. |
© 2025 by the authors. Licensee MDPI, Basel, Switzerland. This article is an open access article distributed under the terms and conditions of the Creative Commons Attribution (CC BY) license (https://creativecommons.org/licenses/by/4.0/).
Share and Cite
Liu, Y.; Xu, X.; Cui, M.; Li, W.; Wang, C.; Peng, Y.; Zheng, J.; Chen, Z.; Chen, Y.; Liu, W.; et al. 1970 W 1030 nm Single-Mode All-Fiber Master Oscillator Power Amplifier with ~3.2 GHz Linewidth Based on Ultra-Low NA Active Fiber. Photonics 2025, 12, 1017. https://doi.org/10.3390/photonics12101017
Liu Y, Xu X, Cui M, Li W, Wang C, Peng Y, Zheng J, Chen Z, Chen Y, Liu W, et al. 1970 W 1030 nm Single-Mode All-Fiber Master Oscillator Power Amplifier with ~3.2 GHz Linewidth Based on Ultra-Low NA Active Fiber. Photonics. 2025; 12(10):1017. https://doi.org/10.3390/photonics12101017
Chicago/Turabian StyleLiu, Yang, Xiaoyong Xu, Mengfan Cui, Wei Li, Chongwei Wang, Yan Peng, Junjie Zheng, Zilun Chen, Yisha Chen, Wei Liu, and et al. 2025. "1970 W 1030 nm Single-Mode All-Fiber Master Oscillator Power Amplifier with ~3.2 GHz Linewidth Based on Ultra-Low NA Active Fiber" Photonics 12, no. 10: 1017. https://doi.org/10.3390/photonics12101017
APA StyleLiu, Y., Xu, X., Cui, M., Li, W., Wang, C., Peng, Y., Zheng, J., Chen, Z., Chen, Y., Liu, W., Xiao, H., Wang, Z., & Ma, P. (2025). 1970 W 1030 nm Single-Mode All-Fiber Master Oscillator Power Amplifier with ~3.2 GHz Linewidth Based on Ultra-Low NA Active Fiber. Photonics, 12(10), 1017. https://doi.org/10.3390/photonics12101017

