Performance Analysis of Buffer-Aided FSO Relaying with an Energy Harvesting Relay
Abstract
1. Introduction
- -
- Combining the BA and EH techniques in the context of a single-relay cooperative FSO network. The relay is equipped with a finite-size data buffer for storing the incoming packets from the source. It is also equipped with an infinite-size energy buffer to accumulate the energy harvested from the source through SLIPT. In the considered system model, the harvested energy is not dispensed on a slot-by-slot basis, but it is rather stored for future usage through the HSU methodology.
- -
- We carry out a theoretical evaluation of the considered FSO BA HSU system through a Markov chain analysis. This analysis revolves around discretizing the continuous-value energy buffer and deriving the state transition probabilities with the objective of evaluating the steady-state probability distributions of the data and energy buffers’ occupancies. These distributions are then used to derive the outage probability (OP) of the three-node FSO DF cooperative network.
- -
- The paper examines the effects of path loss, gamma–gamma atmospheric turbulence and pointing errors on the OP performance of the system. The presented numerical analysis validates the theoretical analysis highlighting the impacts of the target data rate, data buffer size, relay transmit level and relay position on the network OP. Results demonstrated significant performance improvements compared to the case of direct communications. Results also highlighted that the transmit level of the relay has a predominant effect on the achievable performance. In particular, this level impacts the number of packets stored in the data buffer. In fact, setting the transmit level to large values results in congesting the data buffer, thus compromising the availability of the source–relay link since the packets transmitted from the source cannot be accommodated in the relay’s data buffer. On the other hand, the size of the data buffer has a marginal impact on the performance levels. Finally, unlike the case of self-powered relays, it is better to place the EH relay as close as possible to the source in order to boost the amounts of harvested energy.
2. System Model
2.1. Basic Parameters
2.2. FSO Links
2.3. Information Transmission
2.4. Energy Harvesting
2.5. Relaying Protocol
- -
- S simultaneously transmits an information packet to both D and R. In this step, S consumes a power of to transmit the packet to D along the S-D link (transceiver 1 to transceiver 5 in Figure 1) and the same amount of average power to transmit the same packet to R along the S-R link (transceiver 2 to transceiver 3 in Figure 1).
- -
- Nodes D and R proceed as follows after the transmissions from S:
- -
- D attempts to decode the received packet and replies to S by an acknowledgement signal (ACK) if the attempt was successful and by a no-acknowledgement signal (NACK) otherwise.
- -
- R harvests energy from the DC component of the optical signal received from S and stores this energy in the energy buffer. Case 1: If D replied by an ACK, then S informs R not to decode the information packet since this packet has been successfully delivered to D. Case 2: If D replied by a NACK, then S notifies R to decode the information packet and store the reconstructed packet in its data buffer in case this buffer is not full. As such, R’s role is limited to EH in case 1 and to EH and information decoding in case 2.
- -
- Independently from the above steps, and following from the full-duplexity at R and the absence of interference in the system, R will always attempt to transmit an information packet (extracted from the data buffer) to D along the R-D link (transceiver 4–transceiver 6 in Figure 1).
- -
- S-D link. (i) The channel should not be in outage with probability .
- -
- S-R link. (i) The S-D channel should be in outage. (ii) The S-R channel should not be in outage (with probability ). (iii) The data buffer at R should not be full so that the incoming packet can be accommodated.
- -
- R-D link. (i) The R-D channel should not be in outage (with probability ). (ii) The data buffer at R should not be empty so that an information packet can be extracted and sent to D. (iii) The amount of energy stored in the energy buffer should exceed the value of . (The time unit is normalized to unity. As such, the terms energy and power will be used interchangeably in the sequel.)
3. Performance Analysis
3.1. Preliminaries
3.2. Transition Probabilities
3.2.1. Case I:
3.2.2. Case II:
3.3. State Transition Matrix
3.3.1. Matrices and
3.3.2. Matrices and
3.3.3. Matrices , and for
3.4. Steady-State Distribution and Outage Probability
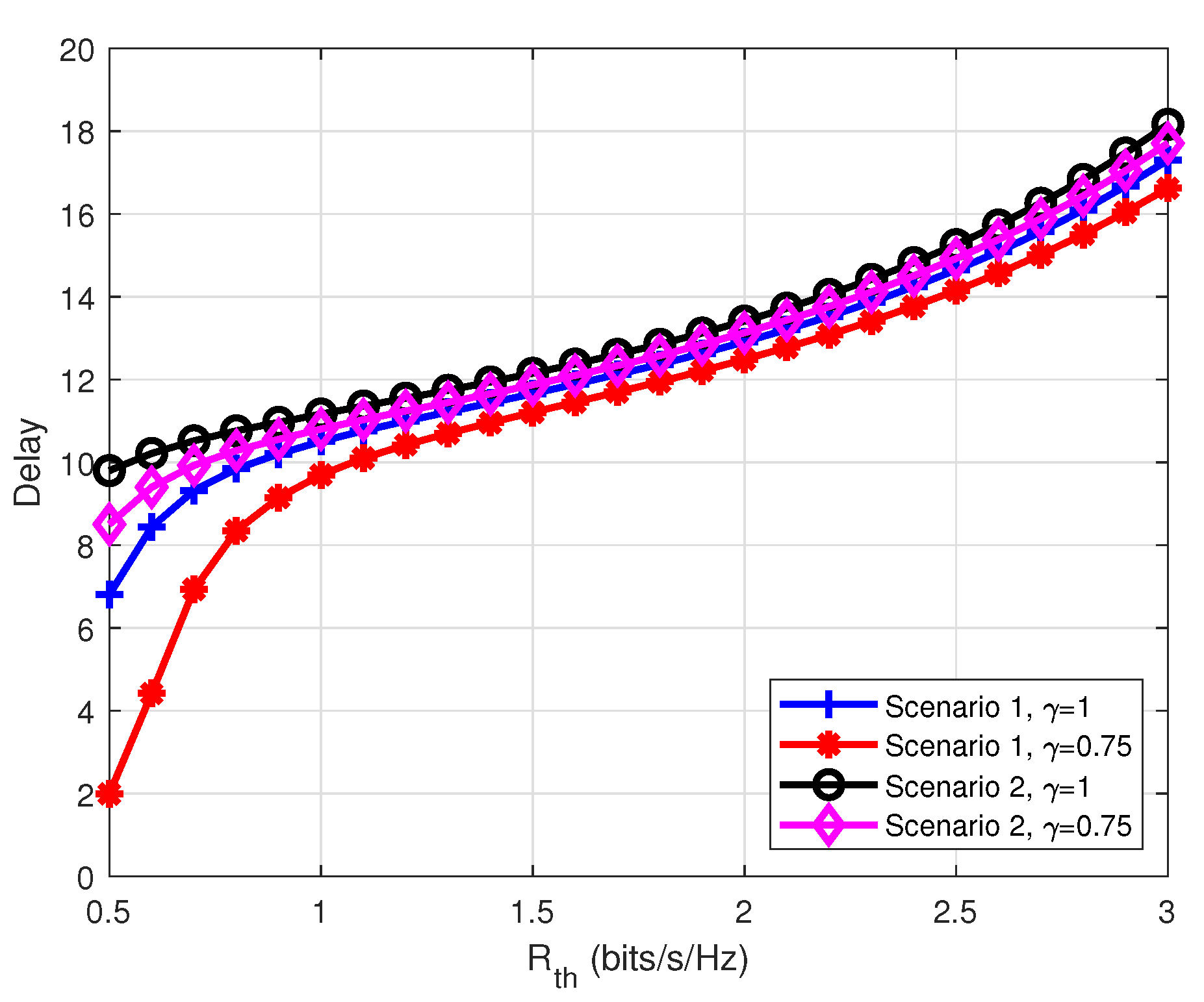
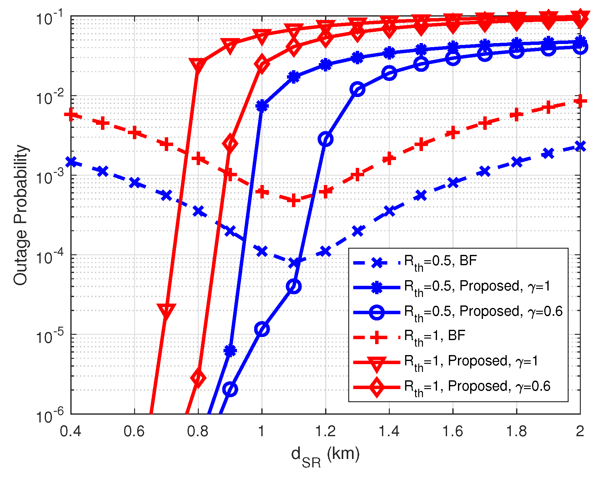
4. Numerical Results
5. Conclusions
Funding
Institutional Review Board Statement
Informed Consent Statement
Data Availability Statement
Conflicts of Interest
Appendix A
Appendix B
References
- Agiwal, M.; Roy, A.; Saxena, N. Next generation 5G wireless networks: A comprehensive survey. IEEE Commun. Surv. Tutor. 2016, 18, 1617–1655. [Google Scholar] [CrossRef]
- Zhu, B.; Cheng, J.; Alouini, M.; Wu, L. Relay placement for FSO multi-hop DF systems with link obstacles and infeasible regions. IEEE Trans. Wirel. Commun. 2015, 14, 5240–5250. [Google Scholar] [CrossRef]
- Li, P.; Wei, X.; Tang, X.; Deng, J.; Xu, J. UAV-assisted free space optical communication system with decode-and-forward relaying. IEEE Trans. Veh. Technol. 2024. accepted for publication. [Google Scholar] [CrossRef]
- Xie, S.; Han, Y. Joint relay selection and power allocation in free-space optical communication with reinforcement learning. In Proceedings of the 5th IEEE International Academic Exchange Conference on Science and Technology Innovation (IAECST), Guangzhou, China, 8–10 December 2023; pp. 313–317. [Google Scholar]
- Sun, Q.; Hu, Q.; Wu, Y.; Chen, X.; Zhang, J.; López-Benítez, M. Performance analysis of mixed FSO/RF system for satellite-terrestrial relay network. IEEE Trans. Veh. Technol. 2024, 73, 11378–11393. [Google Scholar] [CrossRef]
- Krikidis, I.; Charalambous, T.; Thompson, J.S. Buffer-aided relay selection for cooperative diversity systems without delay constraints. IEEE Trans. Wirel. Commun. 2012, 11, 1957–1967. [Google Scholar] [CrossRef]
- El-Zahr, S.; Abou-Rjeily, C. Threshold based relay selection for buffer-aided cooperative relaying systems. IEEE Trans. Wirel. Commun. 2021, 2, 6210–6223. [Google Scholar] [CrossRef]
- Xu, P.; Quan, J.; Chen, G.; Yang, Z.; Li, Y.; Krikidis, I. A novel link selection in coordinated direct and buffer-aided relay transmission. IEEE Trans. Wirel. Commun. 2023, 22, 3296–3309. [Google Scholar] [CrossRef]
- Abou-Rjeily, C.; Fawaz, W. Buffer-aided relaying protocols for cooperative FSO communications. IEEE Trans. Wirel. Commun. 2017, 16, 8205–8219. [Google Scholar] [CrossRef]
- Shukla, A.K.; Bhatnagar, M.R. Buffer-aided max-link relaying for free space optical communication with delay constraints. IEEE Photonics J. 2022, 14, 1–13. [Google Scholar] [CrossRef]
- Jamali, V.; Michalopoulos, D.S.; Uysal, M.; Schober, R. Link allocation for multiuser systems with hybrid RF/FSO backhaul: Delay-limited and delay-tolerant designs. IEEE Trans. Wirel. Commun. 2016, 15, 3281–3295. [Google Scholar] [CrossRef]
- Al-Eryani, Y.F.; Salhab, A.M.; Zummo, S.A.; Alouini, M.-S. Protocol design and performance analysis of multiuser mixed RF and hybrid FSO/RF relaying with buffers. OSA J. Opt. Commun. Netw. 2018, 10, 309–321. [Google Scholar] [CrossRef]
- Abou-Rjeily, C. Packet unloading strategies for buffer-aided multiuser mixed RF/FSO relaying. IEEE Wirel. Commun. Lett. 2020, 9, 1051–1055. [Google Scholar] [CrossRef]
- Bi, S.; Zeng, Y.; Zhang, R. Wireless powered communication networks: An overview. IEEE Wirel. Commun. 2016, 23, 10–18. [Google Scholar] [CrossRef]
- Raja, J.; Anitha, R.; Moorthi, K. Buffer aided relaying system with energy harvesting nodes. Int. J. Eng. Sci. Res. Technol. 2015. [Google Scholar]
- Zhou, X.; Zhang, R.; Ho, C.K. Wireless information and power transfer: Architecture design and rate-energy tradeoff. IEEE Trans. Commun. 2013, 61, 4754–4767. [Google Scholar] [CrossRef]
- Diamantoulakis, P.D.; Karagiannidis, G.K.; Ding, Z. Simultaneous lightwave information and power transfer (SLIPT). Trans. Green Commun. Netw. 2018, 2, 764–773. [Google Scholar] [CrossRef]
- Pan, G.; Diamantoulakis, P.D.; Ma, Z.; Ding, Z.; Karagiannidis, G.K. Simultaneous lightwave information and power transfer: Policies, techniques, and future directions. IEEE Access 2019, 7, 28250–28257. [Google Scholar] [CrossRef]
- Abou-Rjeily, C.; Kaddoum, G.; Karagiannidis, G.K. Ground-to-air FSO communications: When high data rate communication meets efficient energy harvesting with simple designs. OSA Opt. Express 2019, 27, 34079–34092. [Google Scholar] [CrossRef]
- Ghasvarianjahromi, S.; Karbalayghareh, M.; Diamantoulakis, P.D.; Karagiannidis, G.K.; Uysal, M. Simultaneous lightwave information and power transfer in underwater visible light communications. In Proceedings of the IEEE 30th Annual International Symposium on Personal, Indoor and Mobile Radio Communications (PIMRC), Istanbul, Turkey, 8–11 September 2019. [Google Scholar]
- Papanikolaou, V.K.; Tegos, S.A.; Palitharathna, K.W.; Diamantoulakis, P.D.; Suraweera, H.A.; Khalighi, M.A.; Karagiannidis, G.K. Simultaneous lightwave information and power transfer in 6G networks. IEEE Commun. Mag. 2024, 62, 16–22. [Google Scholar] [CrossRef]
- Shanin, N.; Ajam, H.; Papanikolaou, V.K.; Cottatellucci, L.; Schober, R. Accurate EH modelling and achievable information rate for SLIPT systems with multi-junction photovoltaic receivers. IEEE Trans. Commun. 2019, 72, 7866–7881. [Google Scholar] [CrossRef]
- Peng, H.; Li, Q.; Pandharipande, A.; Ge, X.; Zhang, J. End-to-end performance optimization of a dual-hop hybrid VLC/RF IoT system based on SLIPT. IEEE Internet Things J. 2021, 8, 17356–17371. [Google Scholar] [CrossRef]
- Huang, S.; Chuai, G.; Gao, W.; Zhang, K. Agency selling format-based incentive scheme in cooperative hybrid VLC/RF IoT system with SLIPT. IEEE Internet Things J. 2022, 10, 7366–7379. [Google Scholar] [CrossRef]
- AlQahtani, D.; Chen, Y.; Feng, W. Practical non-linear responsivity model and outage analysis for SLIPT/RF networks. IEEE Trans. Veh. Technol. 2021, 70, 6778–6787. [Google Scholar] [CrossRef]
- Girdher, A.; Bansal, A.; Dubey, A. Analyzing SLIPT for DF based mixed FSO-RF communication system. In Proceedings of the 28th IEEE International Conference on Telecommunications (ICT), London, UK, 1–3 June 2021; pp. 1–7. [Google Scholar]
- Xiao, Y.; Diamantoulakis, P.D.; Fang, Z.; Hao, L.; Ma, Z.; Karagiannidis, G.K. Cooperative hybrid VLC/RF systems with SLIPT. IEEE Trans. Commun. 2021, 69, 2532–2545. [Google Scholar] [CrossRef]
- Álvarez-Roa, C.; Álvarez-Roa, M.; Martín-Vega, F.J.; Castillo-Vázquez, M.; Raddo, T.; Jurado-Navas, A. Performance analysis of a vertical FSO link with energy harvesting strategy. Sensors 2022, 22, 5684. [Google Scholar] [CrossRef]
- Abou-Rjeily, C.; Kaddoum, G. Free space optical cooperative communications via an energy harvesting harvest-store-use relay. IEEE Trans. Wirel. Commun. 2020, 19, 6564–6577. [Google Scholar] [CrossRef]
- Bapatla, D.; Prakriya, S. Performance of energy-buffer aided incremental relaying in cooperative networks. IEEE Trans. Wirel. Commun. 2019, 18, 3583–3598. [Google Scholar] [CrossRef]
- Bapatla, D.; Prakriya, S. Performance of a cooperative network with an energy buffer-aided relay. IEEE Trans. Green Commun. Networ. 2019, 3, 774–788. [Google Scholar] [CrossRef]
- Zhu, B.; Cheng, J.; Wu, L. A distance-dependent free-space optical cooperative communication system. IEEE Commun. Lett. 2015, 19, 969–972. [Google Scholar] [CrossRef]
- Sandalidis, H.; Tsiftsis, T.; Karagiannidis, G. Optical wireless communications with heterodyne detection over turbulence channels with pointing errors. IEEE/OSA J. Light. Technol. 2009, 27, 4440–4445. [Google Scholar] [CrossRef]
- Lapidoth, A.; Moser, S.M.; Wigger, M.A. On the capacity of free-space optical intensity channels. IEEE Trans. Inform. Theory 2009, 55, 4449–4461. [Google Scholar] [CrossRef]
- Luo, S.; Teh, K.C. Buffer state based relay selection for buffer-aided cooperative relaying systems. IEEE Trans. Wirel. Commun. 2015, 14, 5430–5439. [Google Scholar] [CrossRef]
- Tian, Z.; Gong, Y.; Chen, G.; Chambers, J. Buffer-aided relay selection with reduced packet delay in cooperative networks. IEEE Trans. Veh. Technol. 2017, 66, 2567–2575. [Google Scholar] [CrossRef]








| Operating Wavelength () | 1550 nm |
| Receiver Responsivity () | 0.5 A/W |
| Peak Transmitted Power () | 50 mW |
| Noise Standard Deviation () | A |
| Receiving Area () | 0.05 |
| Beam Angle () | 10 mrad |
| Attenuation Coefficient () | 0.43 dB/km |
| RI Structure Parameter () | |
| Normalized Pointing Error | |
| Displacement Standard Deviation () | 3 |
| Normalized Beam Waist () | 25 |
| Fill Factor (f) | 0.75 |
| Dark Saturation Current () | A |
| Thermal Voltage () | 25 mV |
Disclaimer/Publisher’s Note: The statements, opinions and data contained in all publications are solely those of the individual author(s) and contributor(s) and not of MDPI and/or the editor(s). MDPI and/or the editor(s) disclaim responsibility for any injury to people or property resulting from any ideas, methods, instructions or products referred to in the content. |
© 2025 by the author. Licensee MDPI, Basel, Switzerland. This article is an open access article distributed under the terms and conditions of the Creative Commons Attribution (CC BY) license (https://creativecommons.org/licenses/by/4.0/).
Share and Cite
Abou-Rjeily, C. Performance Analysis of Buffer-Aided FSO Relaying with an Energy Harvesting Relay. Photonics 2025, 12, 55. https://doi.org/10.3390/photonics12010055
Abou-Rjeily C. Performance Analysis of Buffer-Aided FSO Relaying with an Energy Harvesting Relay. Photonics. 2025; 12(1):55. https://doi.org/10.3390/photonics12010055
Chicago/Turabian StyleAbou-Rjeily, Chadi. 2025. "Performance Analysis of Buffer-Aided FSO Relaying with an Energy Harvesting Relay" Photonics 12, no. 1: 55. https://doi.org/10.3390/photonics12010055
APA StyleAbou-Rjeily, C. (2025). Performance Analysis of Buffer-Aided FSO Relaying with an Energy Harvesting Relay. Photonics, 12(1), 55. https://doi.org/10.3390/photonics12010055

