Study on the Influence of Atmospheric Light Intensity Scintillation Effect on Optical Fiber Coupling Efficiency
Abstract
1. Introduction
2. Analysis of the Influence of Atmospheric Light Intensity Scintillation on Optical Fiber Coupling Efficiency
3. Real-Time Measurement Scheme for Light Intensity Flicker and Fiber Coupling Efficiency
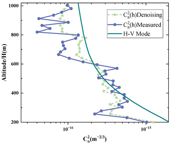
Experiments Based on Real-Time Measurement of Blimp Light Intensity Scintillation and Fiber Coupling Efficiency
4. Conclusions
Author Contributions
Funding
Institutional Review Board Statement
Informed Consent Statement
Data Availability Statement
Conflicts of Interest
References
- Saad, W.; Bennis, M.; Chen, M. A vision of 6G wireless systems: Applications, trends, technologies, and open research problems. IEEE Netw. 2019, 34, 134–142. [Google Scholar] [CrossRef]
- Gui, G.; Liu, M.; Tang, F.; Kato, N.; Adachi, F. 6G: Opening new horizons for integration of comfort, security, and intelligence. IEEE WirelCommun. 2020, 27, 126–132. [Google Scholar] [CrossRef]
- You, X.; Wang, C.X.; Huang, J.; Gao, X.; Zhang, Z.; Wang, M.; Liang, Y.C. Towards 6G wireless communication networks: Vision, enabling technologies, and new paradigm shifts. Sci. China Inf. Sci. 2021, 64, 110301. [Google Scholar] [CrossRef]
- Jahid, A.; Alsharif, M.H.; Hall, T.J. A contemporary survey on free space optical communication: Potentials, technical challenges, recent advances and research direction. J. Netw. Comput. Appl. 2022, 200, 103311. [Google Scholar] [CrossRef]
- Magidi, S.; Jabeena, A. Free space optics, channel models and hybrid modulation schemes: A review. Wirel. Pers. Commun. 2021, 119, 2951–2974. [Google Scholar] [CrossRef]
- Wang, G.; Shao, L.Y.; Xiao, D.; Bandyopadhyay, S.; Jiang, J.; Liu, S.; Li, W.; Wang, C.; Yan, Z. Stable and highly efficient free-space optical wireless communication system based on polarization modulation and in-fiber diffraction. J. Light. Technol. 2021, 39, 83–90. [Google Scholar] [CrossRef]
- Luo, H.; Wang, J.; Bu, F.; Ruby, R.; Wu, K.; Guo, Z. Recent progress of air/water cross-boundary communications for underwater sensor networks: A review. IEEE. Sens. J. 2022, 22, 8360–8382. [Google Scholar] [CrossRef]
- Andrews, L.C.; Phillips, R.L.; Young, C.Y. Scintillation model for a satellite communication link at large zenith angles. Opt. Eng. 2000, 39, 3272–3280. [Google Scholar]
- Andrews, L.C.; Phillips, R.L. I–K distribution as a universal propagation model of laser beams in atmospheric turbulence. J. Opt. Soc. Am. A 1985, 2, 160–163. [Google Scholar] [CrossRef]
- Davis, C.A.; Walters, D.L. Atmospheric inner-scale effects on normalized irradiance variance. Appl. Optics. 1994, 33, 8406–8411. [Google Scholar] [CrossRef]
- Al-Habash, M.A.; Andrews, L.C.; Phillips, R.L. Mathematical model for the irradiance probability density function of a laser beam propagating through turbulent media. Opt. Eng. 2001, 40, 1554–1562. [Google Scholar] [CrossRef]
- Osborn, J.; Townson, M.J.; Farley, O.J.; Reeves, A.; Calvo, R.M. Adaptive Optics pre-compensated laser uplink to LEO and GEO. Opt. Express. 2021, 29, 6113–6132. [Google Scholar] [CrossRef] [PubMed]
- Tunick, A. Optical turbulence parameters characterized via optical measurements over a 2.33 km free-space laser path. Opt. Express. 2008, 16, 14645–14654. [Google Scholar] [CrossRef] [PubMed]
- Anguita, J.A.; Neifeld, M.A.; Vasic, B.V. Spatial correlation and irradiance statistics in a multiple-beam terrestrial free-space optical communication link. Appl. Optics. 2007, 46, 6561–6571. [Google Scholar] [CrossRef] [PubMed]
- Bayaki, E.; Schober, R.; Mallik, R.K. Performance analysis of MIMO free-space optical systems in gamma-gamma fading. IEEE Trans. Commun. 2009, 57, 3415–3424. [Google Scholar] [CrossRef]
- Takenaka, H.; Toyoshima, M. Study on the fiber coupling efficiency for ground-to-satellite laser communication links. In Proceedings of the SPIE LASE, San Francisco, CA, USA, 26 February 2010. [Google Scholar]
- Tan, L.; Li, M.; Wu, J.; Ma, J.; Yang, Q. Fiber-coupling efficiency simulation of Gaussian Schell model laser in space-to-ground optical communication link. Opt. Commun. 2015, 349, 112–119. [Google Scholar] [CrossRef]
- Ma, J.; Lu, G.; Yu, S.; Tan, L.; Fu, Y.; Li, F. Fiber coupling efficiency for satellite and space to ground downlinks with pointing errors. Optik 2020, 202, 163558. [Google Scholar] [CrossRef]
- Zhai, C. Turbulence spectrum model and fiber-coupling efficiency in the anisotropic non-Kolmogorov satellite-to-ground downlink. Results Phys. 2021, 29, 104685. [Google Scholar] [CrossRef]
- Andrews, L.C.; Phillips, R.L.; Hopen, C.Y. Aperture averaging of optical scintillations: Power fluctuations and the temporal spectrum. Wave. Random Media. 2000, 10, 53. [Google Scholar] [CrossRef]
- Wang, T.; Zhao, X.; Song, Y.; Wang, J.; Luan, Y.; Li, Y.; Chang, S. Near-surface atmospheric turbulence profile measuring technology based on an airship-mounted laser communication system. Appl. Optics. 2022, 61, 439–445. [Google Scholar] [CrossRef]
- Shikhovtsev, A.Y.; Kovadlo, P.G.; Lezhenin, A.A.; Gradov, V.S.; Zaiko, P.O.; Khitrykau, M.A.; Kirichenko, K.E.; Driga, M.B.; Kiselev, A.V.; Russkikh, I.V.; et al. Simulating atmospheric characteristics and daytime astronomical seeing using Weather Research and Forecasting Model. Appl. Sci. 2023, 13, 6354. [Google Scholar] [CrossRef]
- Frehlich, R.; Sharman, R.; Vandenberghe, F.; Yu, W.; Liu, Y.; Knievel, J.; Jumper, G. Estimates of Cn2 from numerical weather prediction model output and comparison with thermosonde data. J. Appl. Meteorol. Clim. 2010, 49, 1742–1755. [Google Scholar] [CrossRef]






| Parameters | Indicators | |
|---|---|---|
| Laser wavelength | Beacon | 790/850 nm |
| Communication | 1550/1530 nm | |
| Divergence angle | Beacon | 100 μrad |
| Communication | 2 mrad | |
| Optical aperture | 100 mm | |
| Communication rate | 1.25/2.5 Gbps | |
| Tracking accuracy | 5 μrad | |
| Receiving field of view | 50 mrad | |
| Focal length | 300 mm | |
| Link Distance | Blimp Altitude | Link | Scintillation Index | Coupling Efficiency |
|---|---|---|---|---|
| 3000 m | 1000 m | Air-Ground | 0.09 | 0.53 |
| 12,000 m | 1000 m | Air-Ground | 0.44 | 0.14 |
| 12,000 m | 800 m | Air-Ground | 0.50 | 0.09 |
| 12,000 m | 600 m | Air-Ground | 0.63 | 0.05 |
Disclaimer/Publisher’s Note: The statements, opinions and data contained in all publications are solely those of the individual author(s) and contributor(s) and not of MDPI and/or the editor(s). MDPI and/or the editor(s) disclaim responsibility for any injury to people or property resulting from any ideas, methods, instructions or products referred to in the content. |
© 2024 by the authors. Licensee MDPI, Basel, Switzerland. This article is an open access article distributed under the terms and conditions of the Creative Commons Attribution (CC BY) license (https://creativecommons.org/licenses/by/4.0/).
Share and Cite
Ding, X.; Zhao, X. Study on the Influence of Atmospheric Light Intensity Scintillation Effect on Optical Fiber Coupling Efficiency. Photonics 2024, 11, 884. https://doi.org/10.3390/photonics11090884
Ding X, Zhao X. Study on the Influence of Atmospheric Light Intensity Scintillation Effect on Optical Fiber Coupling Efficiency. Photonics. 2024; 11(9):884. https://doi.org/10.3390/photonics11090884
Chicago/Turabian StyleDing, Xiaoying, and Xin Zhao. 2024. "Study on the Influence of Atmospheric Light Intensity Scintillation Effect on Optical Fiber Coupling Efficiency" Photonics 11, no. 9: 884. https://doi.org/10.3390/photonics11090884
APA StyleDing, X., & Zhao, X. (2024). Study on the Influence of Atmospheric Light Intensity Scintillation Effect on Optical Fiber Coupling Efficiency. Photonics, 11(9), 884. https://doi.org/10.3390/photonics11090884

