Simplified 1.5 μm Distributed Feedback Semiconductor Laser (DFB-LD) Frequency Stabilization System Based on Gas Absorption Chamber
Abstract
1. Introduction
2. Experimental Principle
2.1. Frequency Identification Properties of
2.2. Generation of Error Signals
3. Experimental Setup
4. Experimental Results
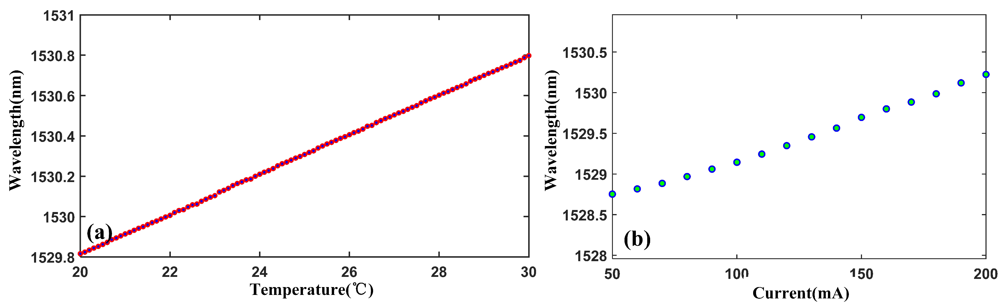
4.1. Experimental Test before Frequency Stabilization
4.2. Automatic Frequency Stabilization after Power on
4.3. Frequency Stability Estimation
5. Conclusions
Author Contributions
Funding
Institutional Review Board Statement
Informed Consent Statement
Data Availability Statement
Conflicts of Interest
References
- Takamoto, M.; Hong, F.-L.; Higashi, R.; Katori, H. An optical lattice clock. Nature 2005, 435, 321–324. [Google Scholar] [CrossRef] [PubMed]
- Predehl, K.; Grosche, G.; Raupach, S.M.; Droste, S.; Terra, O.; Alnis, J.; Legero, T.; Hänsch, T.W.; Udem, T.; Holzwarth, R.; et al. A 920-kilometer optical fiber link for frequency metrology at the 19th decimal place. Science 2012, 336, 441–444. [Google Scholar] [CrossRef] [PubMed]
- Wu, M.; Fan, X.; Liu, Q.; He, Z. Quasi-distributed fiber-optic acoustic sensing system based on pulse compression technique and phase-noise compensation. Opt. Lett. 2019, 44, 5969–5972. [Google Scholar] [CrossRef] [PubMed]
- Billault, V.; Arpison, G.; Crozatier, V.; Kemlin, V.; Morvan, L.; Dolfi, D.; de Chatellus, H.G. Coherent optical fiber sensing based on a frequency shifting loop. J. Light. Technol. 2021, 39, 4118–4123. [Google Scholar] [CrossRef]
- Saleh, K.; Millo, J.; Didier, A.; Kersalé, Y.; Lacroûte, C. Frequency stability of a wavelength meter and applications to laser frequency stabilization. Appl. Opt. 2015, 54, 9446–9449. [Google Scholar] [CrossRef]
- Bennetts, S.; McDonald, G.D.; Hardman, K.S.; Debs, J.E.; Kuhn, C.C.; Close, J.D.; Robins, N.P. External cavity diode lasers with 5 khz linewidth and 200 nm tuning range at 1.55 μm and methods for linewidth measurement. Opt. Express 2014, 22, 10642–10654. [Google Scholar] [CrossRef] [PubMed]
- Spencer, A.; Barr, B.; Bell, A.; Briggs, J.; Minty, A.; Sorazu, B.; Wright, J.; Strain, K. Frequency noise stabilisation of a 1550 nm external cavity diode laser with hybrid feedback for next generation gravitational wave interferometry. Opt. Express 2022, 30, 22687–22699. [Google Scholar] [CrossRef] [PubMed]
- Xin, L.; Cheng, X.; Li, F.; Yang, Y.; Wu, K.; Li, Y.; Xia, Y.; Gong, S. Temperature-insensitive laser frequency stabilization to molecular absorption edge using an acousto-optic modulator. Opt. Lett. 2014, 39, 4416–4419. [Google Scholar] [CrossRef]
- Li, J.; Liu, J.; de Melo, L.; Luo, L.; Lai, T.; Wang, Z. Sub-megahertz frequency stabilization of a diode laser by digital laser current modulation. Appl. Opt. 2015, 54, 3913–3917. [Google Scholar] [CrossRef]
- McFerran, J.J. Laser stabilization with a frequency-to-voltage chip for narrow-line laser cooling. Opt. Lett. 2018, 43, 1475–1478. [Google Scholar] [CrossRef]
- Zhou, P.; Sun, W.; Liang, S.; Chen, S.; Zhou, Z.; Huang, Y.; Guan, H.; Gao, K. Digital long-term laser frequency stabilization with an optical frequency comb. Appl. Opt. 2021, 60, 6097–6102. [Google Scholar] [CrossRef] [PubMed]
- Wang, K.; Tian, H.; Meng, F.; Lin, B.; Cao, S.; Pi, Y.; Han, Y.; Fang, Z.; Song, Y.; Hu, M. Fiber-delay-line-referenced optical frequency combs: Three stabilization schemes. Chin. Opt. Lett. 2022, 20, 021204. [Google Scholar] [CrossRef]
- Wang, J.; Gao, J.; Yang, B. Comparison of frequency locking of 780 nm diode laser via rubidium saturated absorption and polarization spectroscopies. Chin. Opt. 2011, 4, 305–312. [Google Scholar]
- Aldous, M.; Woods, J.; Dragomir, A.; Roy, R.; Himsworth, M. Carrier frequency modulation of an acousto-optic modulator for laser stabilization. Opt. Express 2017, 25, 12830–12838. [Google Scholar] [CrossRef] [PubMed]
- Yasui, S.; Hiraishi, M.; Ishizawa, A.; Omi, H.; Kaji, R.; Adachi, S.; Tawara, T. Precise spectroscopy of 167ER: Y2SIO5 based on laser frequency stabilization using a fiber laser comb. Opt. Express 2021, 29, 27137–27148. [Google Scholar] [CrossRef] [PubMed]
- Bösel, A.; Salewski, K.D. Fast mode-hop-free acousto-optically tuned laser: Theoretical and experimental investigations. Appl. Opt. 2009, 48, 818–826. [Google Scholar] [CrossRef] [PubMed]
- Fu, S.; Shi, W.; Feng, Y.; Zhang, L.; Yang, Z.; Xu, S.; Zhu, X.; Norwood, R.A.; Peyghambarian, N. Review of recent progress on single-frequency fiber lasers. JOSA B 2017, 34, A49–A62. [Google Scholar] [CrossRef]
- Lu, D.; Yang, Q.L.; Wang, H.; He, Y.M.; Qi, H.F.; Wang, H.; Zhao, L.J.; Wang, W. Review of semiconductor distributed feedback lasers in the optical communication band. Chin. J. Lasers 2020, 47, 11–29. [Google Scholar]
- Numata, K.; Chen, J.R.; Wu, S.T.; Abshire, J.B.; Krainak, M.A. Frequency stabilization of distributed-feedback laser diodes at 1572 nm for lidar measurements of atmospheric carbon dioxide. Appl. Opt. 2011, 50, 1047–1056. [Google Scholar] [CrossRef]
- Sun, Y.; Wei, F.; Dong, Z.; Chen, D.; Cai, H.; Qu, R. All-optical frequency stabilization and linewidth reduction of distributed feedback diode lasers by polarization rotated optical feedback. Opt. Express 2014, 22, 15757–15762. [Google Scholar] [CrossRef]
- Du, J.; Sun, Y.; Chen, D.; Mu, Y.; Huang, M.; Yang, Z.; Liu, J.; Bi, D.; Hou, X.; Chen, W. Frequency-stabilized laser system at 1572 nm for space-borne CO2 detection lidar. Chin. Opt. Lett. 2017, 15, 031401. [Google Scholar]
- Guo, J.-J.; Liu, J.; Zhu, N.; Deng, Y.; Chen, W.; Tang, J.; Wang, Q. Frequency stabilization of a semiconductor laser based on gas absorption cell. In Proceedings of the 2016 25th Wireless and Optical Communication Conference (WOCC), Chengdu, China, 21–23 May 2016. [Google Scholar]
- Mei, J.X.; Wang, L.; Tan, T.; Liu, K.; Wang, G.S.; Gao, X.M. Research on new method of frequency stabilization of dfb laser based on second harmonic characteristics. Spectrosc. Spectr. Anal. 2019, 39, 2989–2992. [Google Scholar]
- Swann, W.C.; Gilbert, S.L. Pressure-induced shift and broadening of 1510–1540-nm acetylene wavelength calibration lines. JOSA B 2000, 17, 1263–1270. [Google Scholar] [CrossRef]
- Rothman, L.S.; Gordon, I.E.; Babikov, Y.; Barbe, A.; Benner, D.C.; Bernath, P.F.; Birk, M.; Bizzocchi, L.; Boudon, V.; Brown, L.R.; et al. The hitran2012 molecular spectroscopic database. J. Quant. Spectrosc. Radiat. Transf. 2013, 130, 4–50. [Google Scholar] [CrossRef]
- Zektzer, R.; Hummon, M.T.; Stern, L.; Sebbag, Y.; Barash, Y.; Mazurski, N.; Kitching, J.; Levy, U. A chip-scale optical frequency reference for the telecommunication band based on acetylene. Laser Photonics Rev. 2020, 14, 1900414. [Google Scholar] [CrossRef] [PubMed]
- Wang, X.B.; Ma, W.G.; Wang, J.J.; Xiao, L.T.; Jia, S.T. Single photon wavelength modulation absorption spectrum of acetylene for 1.5 μm laser wavelength stabilization. Opt. Express 2012, 61, 104205. [Google Scholar]
- Santiago, R.; Bedia, J.; Moreno, D.; Moya, C.; Riva, J.D.; Larriba, M.; Palomar, J. Acetylene absorption by ionic liquids: A multiscale analysis based on molecular and process simulation. Sep. Purif. Technol. 2018, 204, 38–48. [Google Scholar] [CrossRef]
- Park, J.; Seok, J.; Hong, J. Autoencoder-based signal modulation and demodulation methods for sonobuoy signal transmission and reception. Sensors 2022, 22, 6510. [Google Scholar] [CrossRef] [PubMed]
- Wang, Q.; Lai, S.; Qi, X.; Wang, Z.; Chen, X. Design of laser frequency stabilization experiment system based on saturated absorption spectroscopy. Exp. Technol. Manag. 2021, 38, 23–28. [Google Scholar]
- Zhou, K.; Zhao, H.; Yu, T.; Xue, L.; Ma, X. Frequency stabilization of 1.53 μm FBG ECLD based on C2H2 absorption lines. Chin. J. Quantum Electron. 2005, 22, 603–606. [Google Scholar]
- Yao, Y.; Zou, C.; Yu, H.; Guo, J.; Li, Y.; Liu, J. The developing condition analysis of semiconductor laser frequency stabilization technology. J. Semicond. 2018, 39, 114004. [Google Scholar] [CrossRef]











Disclaimer/Publisher’s Note: The statements, opinions and data contained in all publications are solely those of the individual author(s) and contributor(s) and not of MDPI and/or the editor(s). MDPI and/or the editor(s) disclaim responsibility for any injury to people or property resulting from any ideas, methods, instructions or products referred to in the content. |
© 2024 by the authors. Licensee MDPI, Basel, Switzerland. This article is an open access article distributed under the terms and conditions of the Creative Commons Attribution (CC BY) license (https://creativecommons.org/licenses/by/4.0/).
Share and Cite
Wang, J.; Gao, Y.; Yu, J.; Cai, Z.; Luo, H.; Ma, C. Simplified 1.5 μm Distributed Feedback Semiconductor Laser (DFB-LD) Frequency Stabilization System Based on Gas Absorption Chamber. Photonics 2024, 11, 621. https://doi.org/10.3390/photonics11070621
Wang J, Gao Y, Yu J, Cai Z, Luo H, Ma C. Simplified 1.5 μm Distributed Feedback Semiconductor Laser (DFB-LD) Frequency Stabilization System Based on Gas Absorption Chamber. Photonics. 2024; 11(7):621. https://doi.org/10.3390/photonics11070621
Chicago/Turabian StyleWang, Ju, Ye Gao, Jinlong Yu, Ziheng Cai, Hao Luo, and Chuang Ma. 2024. "Simplified 1.5 μm Distributed Feedback Semiconductor Laser (DFB-LD) Frequency Stabilization System Based on Gas Absorption Chamber" Photonics 11, no. 7: 621. https://doi.org/10.3390/photonics11070621
APA StyleWang, J., Gao, Y., Yu, J., Cai, Z., Luo, H., & Ma, C. (2024). Simplified 1.5 μm Distributed Feedback Semiconductor Laser (DFB-LD) Frequency Stabilization System Based on Gas Absorption Chamber. Photonics, 11(7), 621. https://doi.org/10.3390/photonics11070621

