Next Article in Journal
Optimal Scanning Pattern for Initial Free-Space Optical-Link Alignment
Next Article in Special Issue
Polymer-Based Optical Guided-Wave Biomedical Sensing: From Principles to Applications
Previous Article in Journal
Analysis of Long-Distance Geometric Error Measurement and Uncertainty Based on PSD Laser Collimation Principle
Previous Article in Special Issue
Humidity Sensing Using a Multimode Fiber Ring Laser with Thermal Compensation
 
 
Font Type:
Arial Georgia Verdana
Font Size:
Aa Aa Aa
Line Spacing:
Column Width:
Background:
Article

Influence of Pump Light on LP01 and LP11 Modes in Few-Mode Fiber Brillouin Optical Time Domain Reflectometry

School of Electronics and Information, Zhengzhou University of Light Industry, Zhengzhou 450001, China
*
Authors to whom correspondence should be addressed.
Photonics 2024, 11(6), 539; https://doi.org/10.3390/photonics11060539
Submission received: 14 May 2024 / Revised: 31 May 2024 / Accepted: 2 June 2024 / Published: 5 June 2024
(This article belongs to the Special Issue Emerging Trends in Optical Fiber Sensors and Sensing Techniques)

Abstract

The quality of pump pulse in few-mode-fiber Brillouin optical time domain reflectometry (FMF-BOTDR) is vital for the spontaneous Brillouin scattering of modes LP01 and LP11 because it is the comprehensive effect of the main laser linewidth and pulse width, which is firstly discussed as we know. Numerical and experimental analysis are made for the amplitude and linewidth distribution, corresponding to the signal–noise ratio (SNR) and frequency resolution in BOTDR, respectively. Simulation shows the linewidths and peak values of Brillouin scattering have the same tendency for the LP01 mode and LP11 mode when the laser linewidth is less than 1 MHz but decreases slowly until they are the same when the laser linewidth is wider than 1 MHz. With the pulse width widening, the Brillouin linewidths for LP01 and LP11 modes both decrease sharply, almost to the natural linewidth of fiber 41 MHz and 35 MHz. Experimental results show that the amplitude distribution for the LP01 mode is always larger than for the LP11 mode if the main laser has the same linewidth and the frequency fluctuation is at least 2 MHz with the fiber laser and LP11 mode. The above results could provide improved sensing resolution for FMF-BOTDR sensing system.

1. Introduction

Brillouin optical time domain reflectometry (BOTDR)-based spontaneous Brillouin scattering has been focused on as a powerful tool for distributed fiber sensing since 1989 [1,2,3]. Different kinds of system configurations and data algorithms have been reported to improve the system performance and develop the practical applications [3,4,5]. Single-mode fiber (SMF)-based BOTDR has been well known and studied in detail in the conventional research. With the development of optical fiber technology, the few-mode fiber (FMF) has been invented. Recently, it has attracted much attention, because it offers the potential to break the capacity limit of standard SMF. It has been applied in the space-division multiplexing of optical fiber communication systems successfully [6]. Very recently, researchers around the world have turned their attention to the distributed fiber sensor-based FMF [7,8,9,10,11,12].
Compared with SMF-BOTDR sensing, the characteristic sensing spectra in FMF are multiple because every mode has its own inner-mode spontaneous Brillouin scattering, while inter-mode Brillouin scattering is weak enough to be neglected in the BOTDR field. For N-modes FMF (2 ≤ N ≤ 10), BOTDR could measure N parameters simultaneously. As temperature and strain are the two mainly concerned parameters, we performed an analysis of the two lowest order (LP01, LP11) modes in two-mode fiber (TMF). Similar with SMF-BOTDR, the peak values and frequency shifts of spontaneous Brillouin scattering in the sensing fiber for the LP01 mode and LP11 mode are linear to the temperature and strain variations. It has been reported that the temperature and strain coefficient was 1.29 MHz/°C, 58.5 KHz/με for the LP01 mode and 1.25 MHz/°C, 57.6 KHz/με for the LP11 mode [9]. In reference [12], the five-mode fiber BOTDR obtained 1.01690 MHz/°C and 59.24 KHz/με for the LP01 mode, 0.99099 MHz/°C and 48.72 KHz/με for the LP11 mode. All setups of FMF-BOTDR are similar to SMF-BOTDR, only with a mode converter inserting in front of the sensing fiber and behind the Brillouin scattering light [13,14].
According to the optical fiber theory [15], the optical field distribution (OFD) of the LP01 mode and LP11 mode are different. The OFD of LP01 is circular, while the LP11 is two halves. When prorogating in the TMF, the acoustic field distribution originating from optical field is similar to OFD. So, the spontaneous Brillouin scattering lights for the two modes are lightly different, because the overlapped area between the optical/acoustic field distributions is not the same. Ideally, the acoustic field distributions of the LP01 mode and LP11 mode in TMF are standard Lorentzian functions, and researchers made Lorentzian fitting in the published papers because it is the natural shape of spontaneous Brillouin scattering. In addition, pulse sequence with different pulse width and repetition frequency is used to position accurately the temperature/strain occurrences in the sensing range in BOTDR. The power spectrum of the single pulse is of some width in the frequency domain through fast Fourier transforming (FFT). Every frequency in the pulse power spectrum has its own Brillouin scattering spectrum. So, the total and detected spontaneous Brillouin scattering is the superposition of all the Brillouin scattering components in the whole pulse power spectrum, expressed as Formula (8) in reference [16]. When the pump pulse width increases in the time domain, its power spectrum will be narrower in the frequency domain. Scientists usually change the pulse width to obtain different spatial resolution, without analyzing its influence on Brillouin scattering. All the launched pulse is regarded as having an ideal single wavelength and zero linewidth in previous work, but, as we know, the optical pulse is modulated from the continuous light of the main laser in the BOTDR system. Narrow linewidth lasers have a ~KHz or ~MHz linewidth, which is not as ideal as zero linewidth. Under an equal optical power condition, the peak values decrease with the widening of the laser linewidth. By totally combining the narrow linewidth of the laser output with the pulse power spectrum of pulse FFT, the broadening of the pump light launched into sensing fiber will be obtained in the frequency domain, which is wider than the ideal pulse power spectrum [17]. At the same time, the amplitude of Brillouin scattering would be influenced by the laser linewidth and pulse width accordingly. That is to say, the power spectrum of the launched pulse is vital for spontaneous Brillouin scattering. The effects of pump light quality on sensing spontaneous Brillouin light are similar for the modes LP01 and LP11.
The BOTDR sensing system has four important parameters: the spatial resolution, the response time, the sensing distance, and the sensing resolution. The first item is related to pulse width, and the last two items are essentially related to the signal–noise ratio (SNR) of the spontaneous Brillouin scattering along the sensing fiber. Higher SNR indicates better frequency resolution, i.e., temperature resolution and/or strain resolution. In this paper, the difference of Brillouin scattering between the lowest two modes LP01 and LP11 in the sensing few-mode fiber is presented, taking three factors including the laser linewidth, the pulse width, and the two guiding modes in the few-mode fiber into consideration. Numerical simulation for the two modes is carried out to analyze the linewidth and amplitude of Brillouin light for different laser linewidths and pulse widths in order to study the SNR and frequency fitting fluctuation. An experimental FMF-BOTDR sensing system is built to evaluate amplitudes and linewidths of spontaneous Brillouin scattering for LP01/LP11 modes; then, frequency fluctuation is obtained to analyze the sensing resolution performances of FMF-BOTDR. The simulation and experimental results in this work could be used to analyze the FMF-BOTDR sensing system further.

2. Theoretical Analysis and Numerical Simulations

Similar to SMF, Brillouin scattering in the FMF originates from the interaction between photons and acoustic phonons, when the pump light in the mode LP01 or LP11 is propagating in the fiber. Brillouin scattering is frequency downshifted from the pump light and propagated in the opposite direction in the fiber. In circular coordinates, the wave equation of the optical field is written as follows:
d 2 f o d r 2 + 1 r d f o d r + k o 2 ( n o 2 n o e f f 2 ) f o = 0
where fo is the optical field distribution; ko is the optical wave number, ko = 2π/λ; λ is the optical wavelength; no is the optical refractive index for the optical guided modes; and noeff is the optical effective refractive index of optical mode.
The thermally excited mechanical vibration can propagate as guided acoustic modes in optical fibers, so the wave equation for acoustic modes can be written as
d 2 f a d r 2 + 1 r d f a d r + k a 2 ( n a 2 n a e f f 2 ) f a = 0
where fa denotes the longitudinal acoustic field; ka is the acoustic wave number; na is the acoustic refractive index; and naeff is the effective refractive index of every acoustic guided mode.
Due to the interaction between the acoustic modes and optical modes, a fraction of light is backscattered. The normalized modal overlap integral Iu between the optical field and acoustic field is expressed as
I u = E o E o ρ u r d r d θ 2 E o E o 2 r d r d θ ρ ρ r d r d θ
where the integral brackets are the integration of optical modes over the polar coordinates (r, θ); Eo is the electric field distribution associated with the fundamental mode; ρu is the field of a longitudinal acoustic eigenmode of order u; and ρ is the acoustic density variation for the acoustic modes.
In FMF, the optical intensity profile and acoustic intensity profile match well for the LP01 mode, so the overlap area is bigger than the LP11 mode when making the integral. This caused the slight difference of Brillouin scattering between the two modes, because the Brillouin light originates from the optical and acoustic modes. The modes with different OFD in FMF have vital influence on their Brillouin scattering.
In the FMF-BOTDR sensing system, the continuous output of the main laser is modulated to the pulses’ sequences with a different pulse width and repetition frequency in order to position the temperature/strain accurately in the sensing range and, then, this is launched into the long-sensing FMF. The total Brillouin power spectrum for every mode is the superposition of many Brillouin power spectra for every single frequency in the launched pulse power spectrum in the frequency domain. In fact, Brillouin scattering is the product of the pulse power spectrum and the natural Brillouin transfer function. So, the frequency-dependent factor H(ν) for the backscattering Brillouin light [16] is expressed as
H v = + P p f h ω / 2 2 v f Δ v B 2 + ω / 2 2 d f
where h is constant; ΔνB is the Brillouin frequency shift (about 10.88 GHz); PP(f) is the power spectrum of the pump pulse; ω is full width at half maximum (FWHM, different for mode LP01 and mode LP11, around 33 MHz); and ν is the frequency in the Brillouin power spectrum. Pp(f) in the integral is the pump pulse power spectrum related to the laser linewidth and the pulse width, which is the key points in BOTDR; and h, ΔνB, and ω are correlated to two guiding modes LP01 and LP11.
About Pp(f), the previous work all regarded the simple FFT of the modulated pulse without considering the linewidth of the laser itself. The pulse laser with a zero linewidth is not ideal because it derives from the narrow linewidth continuous laser. So, the pump light includes two aspects: the main laser linewidth and the pulse width.
In a word, the above mentioned three parameters, including the propagating modes, the laser linewidth, and the pulse width, all have an important influence on the spontaneous Brillouin scattering in FMF-BOTDR.

2.1. Brillouin Frequency Shifts for LP01 and LP11 Modes

The backwards spontaneous Brillouin scattering light is frequency downshifted from the pump light, expressed as
Δ v B = 2 π n e f f V a λ
where λ is the main laser wavelength, neff is the effective refractive index of modes LP01 or LP11, and Va is the acoustic velocity in FMF. Inner-mode Brillouin scattering and inter-mode Brillouin scattering between the LP01 mode and LP11 mode happens simultaneously, but we focused on inner-mode Brillouin scattering in this paper, which is the mutual interaction of OFD and its acoustic field for one mode. Values of neff, linewidths@3dB, and frequency shifts for mode LP01 and mode LP11 are listed in Table 1.

2.2. Influence of Laser Linewidth on Brillouin Scattering for the LP01 and LP11 Mode

In the FMF-BOTDR sensing system, pump lasers are not generally ideal with a single frequency with zero linewidth. Assuming the laser output is the Lorentzian shape in nature, it could be written as
E ( f ) = ( ω s / 2 ) 2 ( f f s ) 2 + ( ω s / 2 ) 2
where E(f) is the intensity, fs is the central frequency of the optical source, f is the frequency around fs in the frequency domain, and ωs is the laser linewidth@3dB.
Taking the main laser linewidths 50 KHz, 500 KHz, and 10 MHz for numerical simulation, the optical spectra for the three laser outputs are shown in Figure 1, where the optical intensities are the same for the three lasers and the optical intensities are normalized to the narrowest linewidth laser output. Obviously, peaks and the extended range of the launched laser have a noticeable difference in the frequency domain, especially in comparison between 50 KHz and 1 MHz. When they are substituted into Equation (4), the Pp(f) item is different from the ideal single-frequency laser (ωs = 0); then, the peak-values and linewidths of spontaneous Brillouin scattering will be totally different consequently.
According to Equation (4), the OFDs of modes LP01 and LP11 are related to the second item in the integral. Next, we made the simulation for the two lowest modes. When the laser linewidth varies from 1 KHz to 100 MHz, the peak value and linewidth distributions of Brillouin scattering for the LP01/LP11 mode are demonstrated in Figure 2a and Figure 2b, respectively. During the simulation, the natural linewidths are 33.03 MHz and 33.10 MHz, and the Brillouin gain coefficients are 1 and 0.989, for the LP01 mode and the LP11 mode; the pulse width is set as 100 ns.
From Figure 2a,b, the peak values and linewidths of Brillouin scattering have the same tendency for the LP01 mode and LP11 mode. For a single-mode LP01 or LP11, the peak value almost stays constant and the linewidth is nearly the same when the laser linewidth is narrower than 1 MHz. However, when the laser linewidth is wider than 1 MHz, the peak value drops, and the linewidth broadens seriously. As to the difference between mode LP01 and mode LP11, the peak values difference between them is 0.07 dB, as shown in the insert figure in Figure 3a, and the linewidth@3dB difference between them is approximately 0.2 MHz when the laser linewidth is less than 1 MHz. With the increasing of the main laser linewidth (wider than 1 MHz), the difference in peak values and linewidths becomes smaller until they are same. However, the linewidths of Brillouin scattering for the two modes are the same when the laser linewidth is widened far beyond 1 MHz. The above results can be explained by the fact that the optical field and acoustic field overlap much more until they totally overlap with the widening laser linewidth.

2.3. Influence of Pulse Width on Brillouin Scattering for the LP01 and LP11 Mode

The pulse is injected into the sensing FMF in BOTDR. In the time domain, the mathematical expression for different pulse widths is as follows:
P t = 0 t < τ / 2 1 τ / 2 t τ / 2 0 t > τ / 2
where the pulse width τ denotes the full width at half peak and the pulse intensity is uniformed; the pulse is symmetrical for t = 0.
For different pulse widths, their power spectra in the frequency domain are obtained by FFT. Taking 50 ns, 100 ns, and 200 ns pulse widths as examples, as shown in Figure 3a, the power spectrum distribution is much more centralized when the pulse is wider in the time domain, as shown in Figure 3b. According to Equation (3), the energy distribution in the frequency domain has vital influence on the acoustic field area for each mode.
Taking the multiplication of the natural Brillouin optical field and pulse power spectrum, we obtain Brillouin properties for modes LP01 and LP11. The comparison figures of linewidths and peak values are shown in Figure 4a and Figure 4b, respectively, where the laser linewidth is set as 1 KHz.
From Figure 4a, the linewidths of Brillouin scattering for the LP01 mode and LP11 mode decrease sharply almost to the natural linewidth. Linewidth difference between the two modes increases with the pulse widening. When the pulse width is 10 ns and 100 ns, the linewidth difference of Brillouin scattering is 4.12 MHz and 7.05 MHz, respectively. When the pulse is wider than 100 ns, the linewidth difference between modes LP01 and LP11 is almost the same at 7.05 MHz. The above results originate from the optical field variation of the LP01 mode and LP11 mode. Similarly, the peak values of modes LP01 and LP11, as shown in Figure 4b, both increase with the pulse width widening, and their peak value difference also increases. A wider pulse means that much more optical energy is launched into the sensing FMF fiber, so the peak values of its Brillouin scattering are higher for every mode. Meanwhile, the pump optical field area and the corresponding acoustic field area are both enlarged, then the overlapped area difference between the LP01 mode and LP11 mode becomes larger. So, the peak values difference of Brillouin light between the two modes also rises.

3. Experimental Results and Discussions

To analyze the influence of the pump light on FMF-BOTDR, an experimental sensing system is built, which is shown in Figure 5. According to the theoretical analysis in Section 2, various pump pulse and pulse power spectra are constituted by different linewidth lasers and different pulse widths. Together with the two different guiding modes in the sensing FMF fiber, Brillouin scattering of modes LP01 and LP11 and their sensing characteristics are studied in detail.
Two individual narrow linewidth optical sources with different linewidths are set as the main lasers in the FMF-BOTDR sensing system for generating different laser linewidths, including a fiber laser with a 4 KHz linewidth [18] and a DFB laser with a 3 MHz linewidth (FITEL, FURUKAWA Solutions, Norcross, State of Georgia, USA). The two lasers are adjusted to have the same power of 28 mw. The continuous lights of the main lasers are modulated to pulses 500 ns via AOM (Model MT160-IIR10-FIO, AA Opto-Electronic, Orsay, France). These modulated pump pulses are launched into the sensing FMF (two-mode fiber with step index, OFS-FITEL, Norcross, State of Georgia, USA) to generate the spontaneous Brillouin scattering of every mode. The pulses are amplified properly (avoiding stimulated Brillouin/Raman scattering in the sensing fiber) by EDFA (Model AMP-FL8015-CB-30, FiberLabs Inc., Saitama, Japan), and then are injected into the 5 km fiber through a three-port circulator. A mode converter [19] (built by Hoya Tech, Shenzhen, China) is inserted at the front end of the sensing FMF in order to convert mode LP01 to mode LP11, whose mode coupling efficiency is 85% and insert loss is 3.3 dB for mode LP11 and 12.1 dB for mode LP01. To compare the mode influence on Brillouin scattering equally, a tunable attenuator (Hanyu Fiber Optic Communication Technology Company, Shanghai, China) is also inserted at the same position to attenuate 3.3 dB for the LP01 mode. Spontaneous Brillouin scattering transmits to port 3 via port 2 of the circulator. A compact Brillouin fiber laser [20] is designed to serve as the local oscillator, who has a fixed and unchanging frequency shift to the main laser. The spontaneous Brillouin light from FMF and the local Brillouin laser interfere with each other through a 1:1 fiber coupler. The beat frequency between them is decreased to several hundred MHz, from ~11 GHz, and the beat signals can be detected using a double-balanced photo diode (DB-PD, New Focus 1617-AC, Newport Economic Development Commission, Newport, State of Arkansas, USA) with a 10 KHz~700 MHz bandwidth. Then, all of the Brillouin scattering information along the sensing fiber is collected and processed by a computer acquisition system with a high-speed data acquisition card (DAQ, Model CS82G, sample rate 3GS/s, National Instrument, Austin, State of Texas, USA). A home-built program based on LabVIEW is used to make FFT of all the sampled data in every single spatial resolution, and then Lorentz fittings are carried out to extract the amplitudes, linewidths, and central beat frequencies of these discrete interference signals. So, the amplitude, linewidth, and frequency distribution of Brillouin interference along the sensing FMF fiber can be obtained quickly without any extra optical component. The digital coherent detection scheme in this structure depends on the DAQ and algorithm; the 3D Brillouin gain spectra (BGS) are not necessary to construct because the parameter of BGS have been extracted in the data processing, which is different from the traditional frequency scanning scheme.
The pump pulse width is 500 ns in the experiment, corresponding to the 50 m spatial resolution, which is much wider than the pulse width in the literature. Because the inserting loss of the mode converter is 3.3 dB, causing the pump pulse energy and the optical intensity of spontaneous Brillouin scattering to be attenuated more than in the SMF-BOTDR, more optical energy injected into the mode converter and the sensing FMF is needed. It is worth noting that the pulse width is not changed in this experiment because the performance comparison between the different spatial resolution in BOTDR is meaningless, though the comparison between the two modes at a fixed pulse width is made in the numerical simulation.
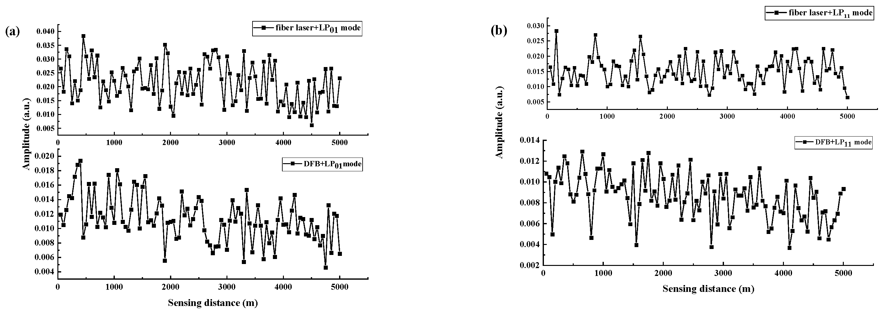
The amplitude distribution along the whole 5 km sensing distance is shown in Figure 6. In comparison, the amplitude distribution curve for the LP01 mode is always larger than the amplitude for the LP11 mode, with the same laser linewidth, whether the main laser is the DFB laser or the fiber laser, as shown in the upper two graphs for the fiber laser or the two lower graphs for the DFB laser in Figure 6a,b. Larger optical intensity indicates higher SNR in BOTDR. According to the relation between SNR and sensing frequency resolution, δ ν : δ ν Δ ν 1 2 ( SNR ) 1 / 4 , along with the relations between temperature/strain resolution ( δ T / δ ε ) and frequency resolution δ ν : δ T T = δ ν C T , δ ε ε = δ ν C ε [21], we can conclude that the sensing resolution would be improved for the LP01 mode in the subsequent temperature/strain sensing for the FMF-BOTDR system. Meanwhile, for the same guiding mode LP01 or LP11 in TMF, the narrower linewidth fiber laser, serving as the main laser, is beneficial for SNR enhancement, as shown in the two graphs in Figure 6a or Figure 6b, respectively.
The frequency distribution along the FMF sensing fiber is demonstrated in Figure 7. For the 500 ns pump pulse, when the main laser is the DFB laser, as shown in the upper graphs of Figure 7a,b, the linewidth of Brillouin scattering for the LP11 mode is distributed approximately 40 MHz and the linewidth for the LP01 mode is approximately 46 MHz, resulting in a ~6 MHz linewidth difference. Similarly, when the main laser is the fiber laser, the linewidth distribution for LP11 mode is approximately 43 MHz and the linewidth for the LP01 mode is approximately 37 MHz, resulting in the same ~6 MHz linewidth difference, as shown in the lower two graphs of Figure 7a,b. With the different main laser in the sensing system, the fiber laser linewidth is much narrower than DFB. As to the same guiding mode, the corresponding Brillouin scattering linewidths of the fiber laser and DFB laser are 43 MHz and 46 MHz for the LP01 mode and 37 MHz and 40 MHz for the LP11 mode, as shown in the left and right in Figure 7a,b. Together with the amplitude results in Figure 6a,b, the Lorentzian fitting curves can be generated. The above amplitude and beat frequency linewidth distributions are in accordance with the numerical simulation in Section 2. Though the amplitude is weaker for the LP11 mode than the amplitude for the LP01 mode for the same linewidth, the Brillouin linewidth is narrower for the LP11 mode. So, the fitting accuracy of the beat frequency signals and extraction of the central frequencies for all the generated Lorentz curves would be the comprehensive effects of the two factors.
Finally, the central frequencies extraction of fitting Loretz curves for different laser linewidths and different sensing modes along the 5 Km sensing FMF are shown in Figure 8. Frequency fluctuations of BOTDR itself are the frequency resolution in BOTDR. In Figure 8a, the sensing modes are both the LP01 mode, but the main lasers are the 1 MHz linewidth DFB laser and 4 KHz linewidth fiber laser, respectively. The frequency fluctuates from 418 MHz to 422 MHz for DFB and fluctuates from 418 MHz to 420 MHz for the fiber laser. Clearly, a 2 MHz frequency resolution improvement for the LP01 mode is obtained for the narrower linewidth main laser. Meanwhile, for the LP11 mode, the frequency fluctuates from 408 MHz to 411 MHz for DFB and from 409 MHz to 411 MHz for the fiber laser; a 1 MHz frequency resolution improvement is obtained. In addition, for the same main laser in BOTDR, the frequency fluctuations of 418 MHz~420 MHz for the LP01 mode and 408 MHz~411 MHz for the LP11 mode in the upper graph in Figure 8a,b show that the fitting accuracy for the LP11 mode is better than the LP01 mode. This results from the narrower linewidth in Figure 7, despite the larger amplitude in Figure 6, which indicates that the linewidth plays a more important role than the weak amplitude difference. A similar situation is also demonstrated for the LP11 mode in the lower two graphs in Figure 8a,b. According to the linear relations between frequency resolution and temperature/strain resolution, the temperature resolution and/or strain resolution would be best for the LP11 mode and the fiber laser.

4. Conclusions

The pump pulse launched into the sensing fiber in FMF-BOTDR is modulated from the continuous laser with some linewidths and pulses with different widths that are generated. Pump pulse power spectra is, in essence, an important item in the Brillouin scattering formula. The overlapping of OFD and its acoustic field distribution is slightly different for the two modes LP01 and LP11, which is the other item in the Brillouin scattering formula. Taking laser linewidth, pump pulse width, and the OFD of the LP01 mode and LP11 mode into consideration, their influence on the Brillouin scattering is numerically simulated and the FMF-BOTDR sensing experiment is created in detail. According to the simulation, the linewidths and peak values of the LP01 mode and LP11 mode have the same tendency, but the difference is 0.2 MHz and 0.07 dB, respectively. When the laser linewidth is wider than 1 MHz, the linewidth difference of Brillouin scattering decreases until it is the same. With the pulse width increasing, the linewidths of Brillouin light for the LP01 mode and LP11 mode decrease almost to the natural linewidth, but the linewidth difference between them increases; the peak values of modes LP01 and LP11 increase but the peak values difference between them becomes larger. The sensing results show that the amplitude distribution for the LP01 mode is always larger than for the LP11 mode if the main laser has the same linewidth; the linewidth of pump pulse plays a more important role in frequency resolution than the weak amplitude difference while making Lorentz fitting, and the frequency oscillation is 2 MHz, at least for the fiber laser and LP11 mode. As a further step, a low-inserting-loss mode transverse component between modes LP01 and LP11 will be researched to decrease the pulse width and improve the spatial resolution; the structural optimization of the FMF-BOTDR sensing system will be experimented with to make multi-parameter sensing and discrimination occur simultaneously, such as with the temperature and strain, for use in pipelines or electrical lines monitoring, etc.

Author Contributions

Conceptualization, Y.H. (Yunqi Hao); methodology, K.Y.; software, W.L. and M.M.; validation, Y.H. (Yiliang Han) and W.L.; formal analysis, M.M. and Y.H. (Yunqi Hao); investigation, Y.H. (Yiliang Han); data curation, Y.H. (Yunqi Hao); writing—original draft preparation, M.M. and Y.H. (Yunqi Hao); writing—review and editing, Y.H. (Yunqi Hao) and K.Y.; visualization, Y.H. (Yiliang Han); supervision, K.Y.; project administration, Y.H. (Yunqi Hao) and K.Y.; funding acquisition, Y.H. (Yunqi Hao) and K.Y. All authors have read and agreed to the published version of the manuscript.

Funding

This research is funded by the Science and Technology Research Project of Henan Province, grant number 232102210175 and 242102211088, and the Young Backbone Teachers Program in the University of Henan Province, grant number 2021GGJS092.

Institutional Review Board Statement

Not applicable.

Informed Consent Statement

Not applicable.

Data Availability Statement

The original contributions presented in the study are included in the article; further inquiries can be directed to the corresponding author/s.

Conflicts of Interest

The authors declare no conflicts of interest.

References

  1. Culverhouse, D.; Farahi, F.; Pannell, C.N.; Jackson, D.A. Potential of stimulated Brillouin-scattering as sensing mechanism for distributed temperature sensors. Electron. Lett. 1989, 25, 913–915. [Google Scholar] [CrossRef]
  2. Shu, D.; Guo, X.; Lv, T.; Zhou, D.-P.; Peng, W.; Chen, L.; Bao, X. Computational Brillouin Optical Time-Domain Reflectometry. J. Light. Technol. 2024, 42, 3467–3473. [Google Scholar] [CrossRef]
  3. Song, M.; Cui, E.; Jia, N. Extraction of double-peak Brillouin frequency shift based on ANN for nonuniform strain within BOTDR spatial resolution. Opt. Eng. 2024, 63, 016106. [Google Scholar] [CrossRef]
  4. Xu, Z.N.; Hu, Y.H.; Zhao, L.J.; Fan, M.Y. Fast and Highly Accurate Brillouin Frequency Shift Extracted Algorithm Based on Modified Quadratic Polynomial Fit. Spectrosc. Spect. Anal. 2020, 40, 842–848. [Google Scholar]
  5. Han, J.; Zhang, J.; Ma, Z.; Liu, S.; Xu, J.; Zhang, Y.; Wang, Z.; Zhang, M. Improving BFS measurement accuracy of BOTDR based on Cauchy proximal splitting. Meas. Sci. Technol. 2024, 35, 025204. [Google Scholar] [CrossRef]
  6. Richardson, D.J.; Fini, J.M.; Nelson, L.E. Space-division multiplexing in optical fibres. Nat. Photonics 2013, 7, 354–362. [Google Scholar] [CrossRef]
  7. Song, K.Y.; Kim, Y.H. Characterization of stimulated Brillouin scattering in a few-mode fiber. Opt. Lett. 2013, 38, 4841–4844. [Google Scholar] [CrossRef] [PubMed]
  8. Zhao, Z.; Wu, H.; Hu, J.; Zhu, K.; Dang, Y.; Yan, Y.; Tang, M.; Lu, C. Interference fading suppression in φ-OTDR using space-division multiplexed probes. Opt. Express 2021, 29, 15452–15462. [Google Scholar] [CrossRef] [PubMed]
  9. Weng, Y.; Ip, E.; Pan, Z.; Wang, T. Single-end simultaneous temperature and strain sensing techniques based on Brillouin optical time domain reflectometry in few-mode fibers. Opt. Express 2015, 23, 9024–9039. [Google Scholar] [CrossRef] [PubMed]
  10. Li, S.; Li, M.-J.; Vodhanel, R.S. All-optical Brillouin dynamic grating generation in few-mode optical fiber. Opt. Lett. 2012, 37, 4660–4662. [Google Scholar] [CrossRef] [PubMed]
  11. Kim, Y.H.; Song, K.Y. Mapping of intermodal beat length distribution in an elliptical-core two-mode fiber based on Brillouin dynamic grating. Opt. Express 2014, 22, 17292–17302. [Google Scholar] [CrossRef] [PubMed]
  12. Li, A.; Wang, Y.; Fang, J.; Li, M.-J.; Kim, B.-Y.; Shieh, W. Few-mode fiber multi-parameter sensor with distributed temperature and strain discrimination. Opt. Lett. 2015, 40, 1488–1491. [Google Scholar] [CrossRef] [PubMed]
  13. Igarashi, K.; Park, K.J.; Tsuritani, T.; Morita, I.; Kim, B.Y. All-fiber-based selective mode multiplexer and demultiplexer for weakly-coupled mode-division multiplexed systems. Opt. Commun. 2018, 408, 58–62. [Google Scholar] [CrossRef]
  14. Ismaeel, R.; Lee, T.; Oduro, B.; Jung, Y.; Brambilla, G. All-fiber fused directional coupler for highly efficient spatial mode conversion. Opt Express 2014, 22, 11610–11619. [Google Scholar] [CrossRef] [PubMed]
  15. Oh, K.; Paek, U.-C. Silica Optical Fiber Technology for Devices and Components: Design, Fabrication, and International Standards, 1st ed.; John Wiley & Sons: Hoboken, NJ, USA, 2012; p. 265. [Google Scholar]
  16. Naruse, H.; Tateda, M. Trade-off between the spatial and the frequency resolutions in measuring the power spectrum of the Brillouin backscattered light in an optical fiber. Appl. Opt. 1999, 38, 6516–6521. [Google Scholar] [CrossRef] [PubMed]
  17. Hao, Y.Q.; Ye, Q.; Pan, Z.Q.; Cai, H.W.; Qu, R.H. Influence of laser linewidth on performance of Brillouin optical time domain reflectometry. Chin. Phys. B 2013, 22, 257–261. [Google Scholar] [CrossRef]
  18. Yang, F.; Ye, Q.; Pan, Z.; Chen, D.; Cai, H.; Qu, R.; Yang, Z.; Zhang, Q. 100-mW linear polarization single-frequency all-fiber seed laser for coherent Doppler lidar application. Opt. Commun. 2012, 285, 149–152. [Google Scholar] [CrossRef]
  19. Heng, X.; Gan, J.; Zhang, Z.; Li, J.; Li, M.; Zhao, H.; Qian, Q.; Xu, S.; Yang, Z. Transverse mode switchable all-fiber Brillouin laser. Opt. Lett. 2018, 43, 4172–4175. [Google Scholar] [CrossRef] [PubMed]
  20. Hao, Y.; Ye, Q.; Pan, Z.; Yang, F.; Cai, H.; Qu, R.; Zhang, Q.; Yang, Z. Design of wide-band frequency shift technology by using compact Brillouin fiber laser for Brillouin optical time domain reflectometry sensing system. IEEE Photonics J. 2012, 4, 1686–1692. [Google Scholar]
  21. Horiguchi, T.; Shimizu, K.; Kurashima, T.; Tateda, M.; Koyamada, Y. Development of a distributed sensing technique using Brillouin-scattering. J. Light. Technol. 1995, 13, 1296–1302. [Google Scholar] [CrossRef]
Figure 1. The optical spectra for different laser linewidth@3dB.
Figure 1. The optical spectra for different laser linewidth@3dB.
Photonics 11 00539 g001
Figure 2. (a) The peak values; (b) the Brillouin linewidths of spontaneous Brillouin scattering for modes LP01 and LP11.
Figure 2. (a) The peak values; (b) the Brillouin linewidths of spontaneous Brillouin scattering for modes LP01 and LP11.
Photonics 11 00539 g002
Figure 3. (a) The pulses in the time domain; (b) the pulse power spectra in the frequency domain.
Figure 3. (a) The pulses in the time domain; (b) the pulse power spectra in the frequency domain.
Photonics 11 00539 g003
Figure 4. (a) Linewidths; (b) peak values of Brillouin scattering for modes LP01 and LP11.
Figure 4. (a) Linewidths; (b) peak values of Brillouin scattering for modes LP01 and LP11.
Photonics 11 00539 g004
Figure 5. The scheme of FMF-BOTDR sensing system.
Figure 5. The scheme of FMF-BOTDR sensing system.
Photonics 11 00539 g005
Figure 6. The amplitude distribution along the sensing fiber for different laser linewidths and guiding mode. (a) for LP01 mode with fiber laser and DFB laser; (b) for LP11 mode with fiber laser and DFB laser.
Figure 6. The amplitude distribution along the sensing fiber for different laser linewidths and guiding mode. (a) for LP01 mode with fiber laser and DFB laser; (b) for LP11 mode with fiber laser and DFB laser.
Photonics 11 00539 g006
Figure 7. The linewidth distribution along the sensing fiber for different laser linewidths and guiding mode. (a) for LP01 mode with DFB laser and fiber laser; (b) for LP11 mode with DFB laser and fiber laser.
Figure 7. The linewidth distribution along the sensing fiber for different laser linewidths and guiding mode. (a) for LP01 mode with DFB laser and fiber laser; (b) for LP11 mode with DFB laser and fiber laser.
Photonics 11 00539 g007
Figure 8. The frequency fluctuations along the sensing fiber (a) for LP01 mode with DFB laser and fiber laser; (b) for LP11 mode with DFB laser and fiber laser.
Figure 8. The frequency fluctuations along the sensing fiber (a) for LP01 mode with DFB laser and fiber laser; (b) for LP11 mode with DFB laser and fiber laser.
Photonics 11 00539 g008
Table 1. Parameters for Brillouin scattering for LP01 and LP11 modes.
Table 1. Parameters for Brillouin scattering for LP01 and LP11 modes.
LP01LP11
neff1.45521.4463
ΔνB (GHz)10.90510.913
linewidth@3dB (MHz)33.0333.10
Disclaimer/Publisher’s Note: The statements, opinions and data contained in all publications are solely those of the individual author(s) and contributor(s) and not of MDPI and/or the editor(s). MDPI and/or the editor(s) disclaim responsibility for any injury to people or property resulting from any ideas, methods, instructions or products referred to in the content.

Share and Cite

MDPI and ACS Style

Hao, Y.; Han, Y.; Liao, W.; Miao, M.; Yang, K. Influence of Pump Light on LP01 and LP11 Modes in Few-Mode Fiber Brillouin Optical Time Domain Reflectometry. Photonics 2024, 11, 539. https://doi.org/10.3390/photonics11060539

AMA Style

Hao Y, Han Y, Liao W, Miao M, Yang K. Influence of Pump Light on LP01 and LP11 Modes in Few-Mode Fiber Brillouin Optical Time Domain Reflectometry. Photonics. 2024; 11(6):539. https://doi.org/10.3390/photonics11060539

Chicago/Turabian Style

Hao, Yunqi, Yiliang Han, Weitong Liao, Miao Miao, and Kun Yang. 2024. "Influence of Pump Light on LP01 and LP11 Modes in Few-Mode Fiber Brillouin Optical Time Domain Reflectometry" Photonics 11, no. 6: 539. https://doi.org/10.3390/photonics11060539

APA Style

Hao, Y., Han, Y., Liao, W., Miao, M., & Yang, K. (2024). Influence of Pump Light on LP01 and LP11 Modes in Few-Mode Fiber Brillouin Optical Time Domain Reflectometry. Photonics, 11(6), 539. https://doi.org/10.3390/photonics11060539

Note that from the first issue of 2016, this journal uses article numbers instead of page numbers. See further details here.

Article Metrics

Back to TopTop