Design of Machine Learning-Based Algorithms for Virtualized Diagnostic on SPARC_LAB Accelerator
Abstract
1. Introduction
2. Photoinjector and Diagnostic Measurements @SPARC_LAB
3. Neural Networks
3.1. Preprocessing
3.2. Prediction Neural Networks
- Scikit-learn, for data standardization, PCA, autoencoder and for the metrics used to evaluate the performance of neural networks;
- Keras, to define the sequential models of the networks, layers and optimizers;
- Matplotlib, to create plots and customize their layout.
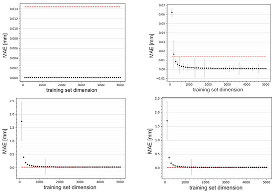
4. Results
5. Conclusions
Author Contributions
Funding
Institutional Review Board Statement
Informed Consent Statement
Data Availability Statement
Conflicts of Interest
References
- Ferrario, M.; Alesini, D.; Anania, M.P.; Bacci, A.; Bellaveglia, M.; Bogdanov, O.; Boni, R.; Castellano, M.; Chiadroni, E.; Cianchi, A.; et al. SPARC_LAB present and future. Nucl. Instrum. Methods Phys. Res. B 2013, 309, 183–188. [Google Scholar] [CrossRef]
- Quattromini, M.; Artioli, M.; Di Palma, E.; Petralia, A.; Giannessi, L. Focusing properties of linear undulators. Phys. Rev. Accel. Beams 2012, 15, 080704. [Google Scholar] [CrossRef]
- Ferrario, M.; Assmann, R.W.; Avaldi, L.; Bolognesi, P.; Catalano, R.; Cianchi, A.; Cirrone, P.; Falone, A.; Ferro, T.; Gizzi, L.; et al. EuPRAXIA Advanced Photon Sources PNRR_EuAPS Project. Available online: https://www.lnf.infn.it/sis/preprint/getfilepdf.php?filename=INFN-23-12-LNF.pdf (accessed on 12 March 2024).
- Chiadroni, E.; Biagioni, A.; Alesini, D.; Anania, M.P.; Bellaveglia, M.; BIsesto, F.; Brentegani, E.; Cardelli, F.; Cianchi, A.; Costa, G.; et al. Status of Plasma-Based Experiments at the SPARC_LAB Test Facility. In Proceedings of the IPAC2018—9th International Particle Accelerator Conference, Vancouver, BC, Canada, 29 April–4 May 2018. [Google Scholar] [CrossRef]
- Chiadroni, E.; Bacci, A.; Bellaveglia, M.; Boscolo, M.; Castellano, M.; Cultrera, L.; Di Pirro, G.; Ferrario, M.; Ficcadenti, L.; Filippetto, D.; et al. The SPARC linear accelerator based terahertz source. Appl. Phys. Lett. 2013, 102, 094101. [Google Scholar] [CrossRef]
- Theodoridis, S. Machine Learning: A Bayesian and Optimization Perspective; Academic Press, Inc.: Orlando, FL, USA, 2020. [Google Scholar]
- Bro, R.; Smilde, A.K. Principal component analysis. Anal. Methods 2014, 6, 2812–2831. [Google Scholar] [CrossRef]
- Chollet, F. Building Autoencoders in Keras. Available online: https://blog.keras.io/building-autoencoders-in-keras.html (accessed on 21 March 2024).
- Floettmann, K. ASTRA, A Space Charge Tracking Algorithm. Available online: https://www.desy.de/~mpyflo/Astra_manual/Astra-Manual_V3.2.pdf (accessed on 21 March 2024).
- Singularity Project. Available online: https://w3.lnf.infn.it/laboratori/singularity/ (accessed on 7 May 2024).
- Scifo, J.; Alesini, D.; Anania, M.P.; Bellaveglia, M.; Bellucci, S.; Biagioni, A.; Bisesto, F.; Cardelli, F.; Chiadroni, E.; Cianchi, A.; et al. Nano-machining, surface analysis and emittance measurements of a copper photocathode at SPARC_LAB. Nucl. Instrum. Methods Phys. Res. A 2018, 909, 233–238. [Google Scholar] [CrossRef]
- Graves, W.S.; DiMauro, L.F.; Heese, R.; Johnson, E.D.; Rose, J.; Rudati, J.; Shaftan, T.; Sheehy, B.; Yu, L.-H.; Dowell, D. DUVFEL Photoinjector Dynamics: Measurement and Simulation. In Proceedings of the PAC2001–2001 Particle Accelerator Conference, Chicago, IL, USA, 18–22 June 2001. [Google Scholar] [CrossRef]











| Parameter | Variation Range |
|---|---|
| laser pulse [ps] | 2.15, 2.71, 3.10, 3.68, 4.31, 4.64, 6.69, 7.94, 10 |
| laser spot [mm] | 0.21, 0.27, 0.31, 0.37, 0.43, 0.46, 0.67, 0.79, 1 |
| charge q [pC] | 10, 20, 30, 50, 80, 100, 300, 500, |
| accelerating field [MV/m] | 115 ÷ 130 |
| solenoid field [T] | 0.28 ÷ 0.32 |
| dipole current [A] | −2.89 ÷ 2.89 |
| Autoencoder Parameters | Setting |
|---|---|
| encoding dimension | 350 |
| learning rate (init) | |
| loss | mse |
| metric | mae |
| optimizer | adamax |
| epochs | 128 |
| batch | 256 |
| Network Parameters | PCA | Autoencoder |
|---|---|---|
| epoch | 3000 | 5000 |
| batch size | 16 | 16 |
| initial learning rate | ||
| optimizer | adamax | adamax |
| loss | mse | mse |
| metric | mae | mae |
| Min | Max | |
|---|---|---|
| solenoid field [B] | 0.26 | 0.28 |
| dipole current [A] | −0.5 | 1 |
Disclaimer/Publisher’s Note: The statements, opinions and data contained in all publications are solely those of the individual author(s) and contributor(s) and not of MDPI and/or the editor(s). MDPI and/or the editor(s) disclaim responsibility for any injury to people or property resulting from any ideas, methods, instructions or products referred to in the content. |
© 2024 by the authors. Licensee MDPI, Basel, Switzerland. This article is an open access article distributed under the terms and conditions of the Creative Commons Attribution (CC BY) license (https://creativecommons.org/licenses/by/4.0/).
Share and Cite
Latini, G.; Chiadroni, E.; Mostacci, A.; Martinelli, V.; Serenellini, B.; Silvi, G.J.; Pioli, S. Design of Machine Learning-Based Algorithms for Virtualized Diagnostic on SPARC_LAB Accelerator. Photonics 2024, 11, 516. https://doi.org/10.3390/photonics11060516
Latini G, Chiadroni E, Mostacci A, Martinelli V, Serenellini B, Silvi GJ, Pioli S. Design of Machine Learning-Based Algorithms for Virtualized Diagnostic on SPARC_LAB Accelerator. Photonics. 2024; 11(6):516. https://doi.org/10.3390/photonics11060516
Chicago/Turabian StyleLatini, Giulia, Enrica Chiadroni, Andrea Mostacci, Valentina Martinelli, Beatrice Serenellini, Gilles Jacopo Silvi, and Stefano Pioli. 2024. "Design of Machine Learning-Based Algorithms for Virtualized Diagnostic on SPARC_LAB Accelerator" Photonics 11, no. 6: 516. https://doi.org/10.3390/photonics11060516
APA StyleLatini, G., Chiadroni, E., Mostacci, A., Martinelli, V., Serenellini, B., Silvi, G. J., & Pioli, S. (2024). Design of Machine Learning-Based Algorithms for Virtualized Diagnostic on SPARC_LAB Accelerator. Photonics, 11(6), 516. https://doi.org/10.3390/photonics11060516

