A CsPbI3/PCBM Phototransistor with Low Dark Current by Suppressing Ion Migration
Abstract
1. Introduction
2. Materials and Methods
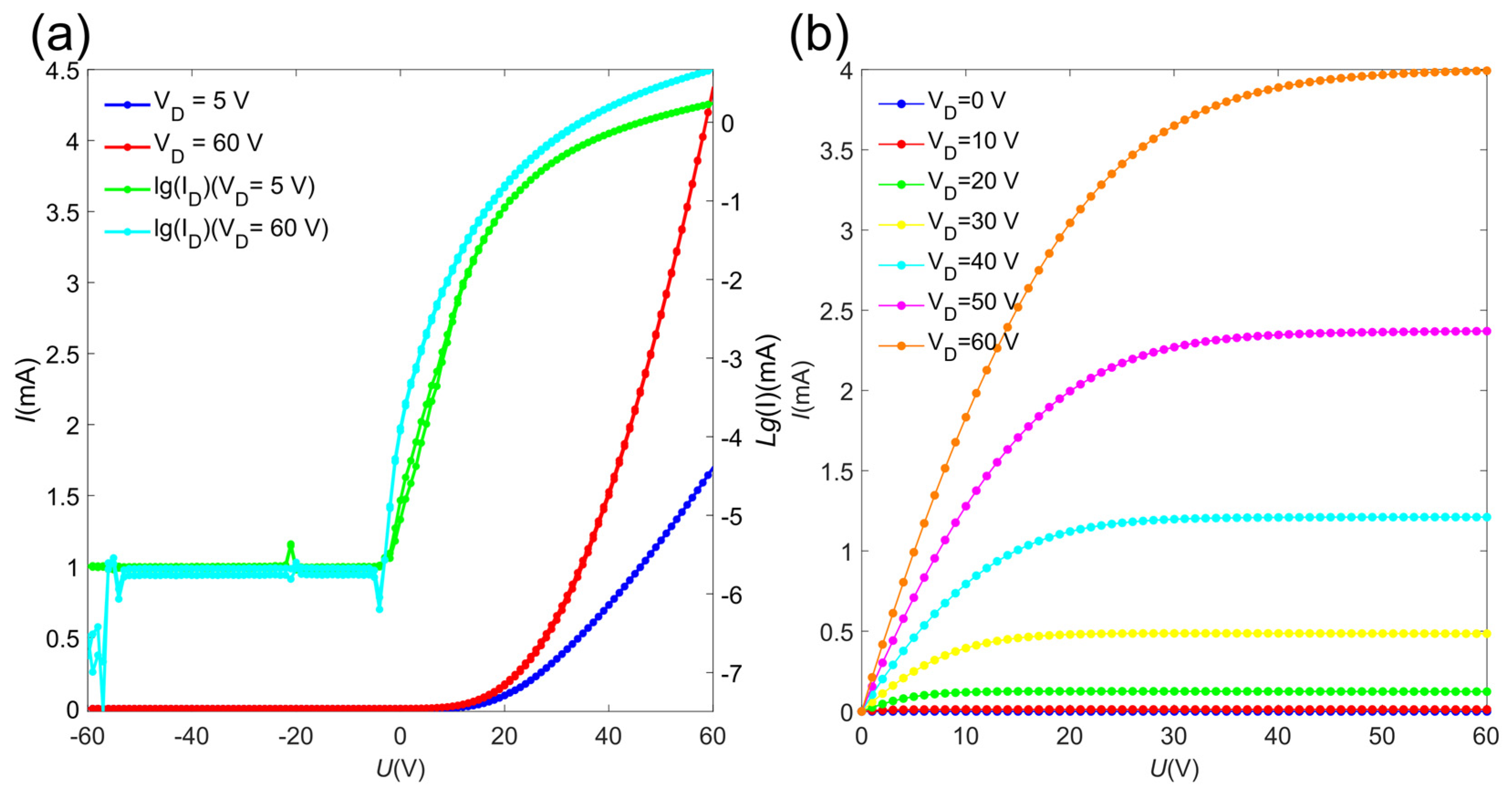
3. Results and Discussion

4. Conclusions
Author Contributions
Funding
Institutional Review Board Statement
Informed Consent Statement
Data Availability Statement
Conflicts of Interest
References
- Wang, Y.; Zhang, Y.; Pang, T.; Sun, K.; Hu, Z.; Zhu, Y.; Jia, R. Organolead Halide Perovskite-Based Metal-Oxide-Semiconductor Structure Photodetectors Achieving Ultrahigh Detectivity. Sol. Energy 2019, 183, 226–233. [Google Scholar] [CrossRef]
- Erodici, M.P.; Pierone, P.J.; Hartono, N.T.P.; Hidalgo, J.; Lai, B.; Buonassisi, T.; Correa-Baena, J.-P.; Sher, M.-J. Enhanced Charge Carrier Lifetime and Mobility as a Result of Rb and Cs Incorporation in Hybrid Perovskite. Appl. Phys. Lett. 2021, 118, 063901. [Google Scholar] [CrossRef]
- Kang, C.H.; Dursun, I.; Liu, G.; Sinatra, L.; Sun, X.; Kong, M.; Pan, J.; Maity, P.; Ooi, E.-N.; Ng, T.K.; et al. High-Speed Colour-Converting Photodetector with All-Inorganic CsPbBr3 Perovskite Nanocrystals for Ultraviolet Light Communication. Light Sci. Appl. 2019, 8, 94. [Google Scholar] [CrossRef] [PubMed]
- Chen, T.; Zhan, S.; Li, B.; Hou, B.; Zhou, H. A Low-Toxic Colloidal Quantum Dots Sensitized IGZO Phototransistor Array for Neuromorphic Vision Sensors. Adv. Opt. Mater. 2024, 2302451. [Google Scholar] [CrossRef]
- Xie, C.; You, P.; Liu, Z.; Li, L.; Yan, F. Ultrasensitive Broadband Phototransistors Based on Perovskite/Organic-Semiconductor Vertical Heterojunctions. Light Sci. Appl. 2017, 6, e17023. [Google Scholar] [CrossRef] [PubMed]
- Jiang, S.; Yang, L.; Huang, C.; Chen, Q.; Zeng, W.; She, X. Understanding Illumination Effect on Saturation Behavior of Thin Film Transistor. Photonics 2023, 10, 309. [Google Scholar] [CrossRef]
- Guo, J.; Wang, B.; Lu, D.; Wang, T.; Liu, T.; Wang, R.; Dong, X.; Zhou, T.; Zheng, N.; Fu, Q.; et al. Ultralong Carrier Lifetime Exceeding 20 ms in Lead Halide Perovskite Film Enable Efficient Solar Cells. Adv. Mater. 2023, 35, 2212126. [Google Scholar] [CrossRef] [PubMed]
- Wehrenfennig, C.; Eperon, G.E.; Johnston, M.B.; Snaith, H.J.; Herz, L.M. High Charge Carrier Mobilities and Lifetimes in Organolead Trihalide Perovskites. Adv. Mater. 2014, 26, 1584–1589. [Google Scholar] [CrossRef] [PubMed]
- She, X.-J.; Chen, C.; Divitini, G.; Zhao, B.; Li, Y.; Wang, J.; Orri, J.F.; Cui, L.; Xu, W.; Peng, J.; et al. A Solvent-Based Surface Cleaning and Passivation Technique for Suppressing Ionic Defects in High-Mobility Perovskite Field-Effect Transistors. Nat. Electron. 2020, 3, 694–703. [Google Scholar] [CrossRef]
- Xing, G.; Mathews, N.; Sun, S.; Lim, S.S.; Lam, Y.M.; Grätzel, M.; Mhaisalkar, S.; Sum, T.C. Long-Range Balanced Electron- and Hole-Transport Lengths in Organic-Inorganic CH3NH3PbI3. Science 2013, 342, 344–347. [Google Scholar] [CrossRef] [PubMed]
- Ran, P.; Chen, X.; Chen, Z.; Su, Y.; Hui, J.; Yang, L.; Liu, T.; Tang, X.; Zhu, H.; She, X.; et al. Metal Halide CsCu2I3 Flexible Scintillator with High Photodiode Spectral Compatibility for X-ray Cone Beam Computed Tomography (CBCT) Imaging. Laser Photonics Rev. 2024, 18, 2300743. [Google Scholar] [CrossRef]
- Cho, K.; Yamada, T.; Tahara, H.; Tadano, T.; Suzuura, H.; Saruyama, M.; Sato, R.; Teranishi, T.; Kanemitsu, Y. Luminescence Fine Structures in Single Lead Halide Perovskite Nanocrystals: Size Dependence of the Exciton–Phonon Coupling. Nano Lett. 2021, 21, 7206–7212. [Google Scholar] [CrossRef] [PubMed]
- Stoumpos, C.C.; Malliakas, C.D.; Kanatzidis, M.G. Semiconducting Tin and Lead Iodide Perovskites with Organic Cations: Phase Transitions, High Mobilities, and Near-Infrared Photoluminescent Properties. Inorg. Chem. 2013, 52, 9019–9038. [Google Scholar] [CrossRef] [PubMed]
- Yang, L.; Huang, C.; Chen, Q.; Zeng, W.; She, X.-J. A Vertical Phototransistor of Perovskite/Polymer Nano Heterojunction for Minimizing Ionic Defects. IEEE Electron Device Lett. 2023, 44, 1488–1491. [Google Scholar] [CrossRef]
- Gao, L.; Zeng, K.; Guo, J.; Ge, C.; Du, J.; Zhao, Y.; Chen, C.; Deng, H.; He, Y.; Song, H.; et al. Passivated Single-Crystalline CH3NH3PbI3 Nanowire Photodetector with High Detectivity and Polarization Sensitivity. Nano Lett. 2016, 16, 7446–7454. [Google Scholar] [CrossRef] [PubMed]
- Zhang, F.; Yang, B.; Mao, X.; Yang, R.; Jiang, L.; Li, Y.; Xiong, J.; Yang, Y.; He, R.; Deng, W.; et al. Perovskite CH3NH3PbI3-xBrx Single Crystals with Charge-Carrier Lifetimes Exceeding 260 Μs. ACS Appl. Mater. Interfaces 2017, 9, 14827–14832. [Google Scholar] [CrossRef] [PubMed]
- Sheng, J.; Hong, T.; Lee, H.-M.; Kim, K.; Sasase, M.; Kim, J.; Hosono, H.; Park, J.-S. Amorphous IGZO TFT with High Mobility of ∼70 cm2/(V·s) via Vertical Dimension Control Using PEALD. ACS Appl. Mater. Interfaces 2019, 11, 40300–40309. [Google Scholar] [CrossRef] [PubMed]
- Jang, J.T.; Park, J.; Ahn, B.D.; Kim, D.M.; Choi, S.-J.; Kim, H.-S.; Kim, D.H. Study on the Photoresponse of Amorphous In–Ga–Zn–O and Zinc Oxynitride Semiconductor Devices by the Extraction of Sub-Gap-State Distribution and Device Simulation. ACS Appl. Mater. Interfaces 2015, 7, 15570–15577. [Google Scholar] [CrossRef] [PubMed]
- Cho, M.H.; Seol, H.; Song, A.; Choi, S.; Song, Y.; Yun, P.S.; Chung, K.-B.; Bae, J.U.; Park, K.-S.; Jeong, J.K. Comparative Study on Performance of IGZO Transistors with Sputtered and Atomic Layer Deposited Channel Layer. IEEE Trans. Electron Devices 2019, 66, 1783–1788. [Google Scholar] [CrossRef]
- Lee, M.; Kim, K.-T.; Lee, M.; Park, S.K.; Kim, Y.-H. A Study on the Persistent Photoconductance and Transient Photo-Response Characteristics of Photochemically Activated and Thermally Annealed Indium-gallium-zinc-Oxide Thin-Film Transistors. Thin Solid Films 2018, 660, 749–753. [Google Scholar] [CrossRef]
- Wu, H.-C.; Chien, C.-H. Highly Transparent, High-Performance IGZO-TFTs Using the Selective Formation of IGZO Source and Drain Electrodes. IEEE Electron Device Lett. 2014, 35, 645–647. [Google Scholar]
- Yabuta, H.; Sano, M.; Abe, K.; Aiba, T.; Den, T.; Kumomi, H.; Nomura, K.; Kamiya, T.; Hosono, H. High-Mobility Thin-Film Transistor with Amorphous InGaZnO4 Channel Fabricated by Room Temperature Rf-Magnetron Sputtering. Appl. Phys. Lett. 2006, 89, 112123. [Google Scholar] [CrossRef]
- Trinh, T.T.; Nguyen, V.D.; Ryu, K.; Jang, K.; Lee, W.; Baek, S.; Raja, J.; Yi, J. Improvement in the Performance of an InGaZnO Thin-Film Transistor by Controlling Interface Trap Densities between the Insulator and Active Layer. Semicond. Sci. Technol. 2011, 26, 085012. [Google Scholar] [CrossRef]
- Huang, C.-Y.; Huang, C.-P.; Chen, H.; Pai, S.-W.; Wang, P.-J.; He, X.-R.; Chen, J.-C. A Self-Powered Ultraviolet Photodiode Using an Amorphous InGaZnO/p-Silicon Nanowire Heterojunction. Vacuum 2020, 180, 109619. [Google Scholar] [CrossRef]
- Wei, S.; Wang, F.; Zou, X.; Wang, L.; Liu, C.; Liu, X.; Hu, W.; Fan, Z.; Ho, J.C.; Liao, L. Flexible Quasi-2D Perovskite/IGZO Phototransistors for Ultrasensitive and Broadband Photodetection. Adv. Mater. 2020, 32, 1907527. [Google Scholar] [CrossRef] [PubMed]
- Tak, Y.J.; Kim, D.J.; Kim, W.-G.; Lee, J.H.; Kim, S.J.; Kim, J.H.; Kim, H.J. Boosting Visible Light Absorption of Metal-Oxide-Based Phototransistors via Heterogeneous In–Ga–Zn–O and CH3NH3PbI3 Films. ACS Appl. Mater. Interfaces 2018, 10, 12854–12861. [Google Scholar] [CrossRef] [PubMed]
- Kim, T.; Park, S.; Iyer, V.; Shaheen, B.; Choudhry, U.; Jiang, Q.; Eichman, G.; Gnabasik, R.; Kelley, K.; Lawrie, B.; et al. Mapping the Pathways of Photo-Induced Ion Migration in Organic-Inorganic Hybrid Halide Perovskites. Nat. Commun. 2023, 14, 1846. [Google Scholar] [CrossRef] [PubMed]
- Xu, X.; Yan, L.; Zou, T.; Qiu, R.; Liu, C.; Dai, Q.; Chen, J.; Zhang, S.; Zhou, H. Enhanced Detectivity and Suppressed Dark Current of Perovskite–InGaZnO Phototransistor via a PCBM Interlayer. ACS Appl. Mater. Interfaces 2018, 10, 44144–44151. [Google Scholar] [CrossRef] [PubMed]





| Materials | CsPbI3 | CsPbI3-PCBM | FA0.2MA0.8PbI3 | FA0.2MA0.8PbI3-PCBM |
| dark current (mA) | 2.64 × 10−5 | 6.10 × 10−6 | 3.62 × 10−2 | 7.48 × 10−3 |
| γ = Imax/Iinitial | 1.28 | 1.16 | 1.36 | 1.51 |
| Materials | FAPbI3 | FAPbI3-PCBM | MAPbI3 | MAPbI3-PCBM |
| dark current (mA) | 3.82 | 3.61 | 8.78 | 8.52 |
| γ = Imax/Iinitial | 1.30 | 1.25 | 1.24 | 1.20 |
Disclaimer/Publisher’s Note: The statements, opinions and data contained in all publications are solely those of the individual author(s) and contributor(s) and not of MDPI and/or the editor(s). MDPI and/or the editor(s) disclaim responsibility for any injury to people or property resulting from any ideas, methods, instructions or products referred to in the content. |
© 2024 by the authors. Licensee MDPI, Basel, Switzerland. This article is an open access article distributed under the terms and conditions of the Creative Commons Attribution (CC BY) license (https://creativecommons.org/licenses/by/4.0/).
Share and Cite
Huang, C.; Yang, Y.; Li, Y.; Jiang, S.; Yang, L.; Li, R.; She, X. A CsPbI3/PCBM Phototransistor with Low Dark Current by Suppressing Ion Migration. Photonics 2024, 11, 362. https://doi.org/10.3390/photonics11040362
Huang C, Yang Y, Li Y, Jiang S, Yang L, Li R, She X. A CsPbI3/PCBM Phototransistor with Low Dark Current by Suppressing Ion Migration. Photonics. 2024; 11(4):362. https://doi.org/10.3390/photonics11040362
Chicago/Turabian StyleHuang, Chenbo, Yichao Yang, Yujie Li, Shijie Jiang, Lurong Yang, Ruixiao Li, and Xiaojian She. 2024. "A CsPbI3/PCBM Phototransistor with Low Dark Current by Suppressing Ion Migration" Photonics 11, no. 4: 362. https://doi.org/10.3390/photonics11040362
APA StyleHuang, C., Yang, Y., Li, Y., Jiang, S., Yang, L., Li, R., & She, X. (2024). A CsPbI3/PCBM Phototransistor with Low Dark Current by Suppressing Ion Migration. Photonics, 11(4), 362. https://doi.org/10.3390/photonics11040362
