Spatial Fluctuations of Optical Turbulence Strength in a Laboratory Turbulence Simulator
Abstract
1. Introduction
2. Theoretical Foundation of RB Convection and Simulation
2.1. Governing Parameters of RB Convection
2.2. LES of the RB Turbulence Simulator
3. Characterization of the Flow Field in the RB Turbulence Simulator
4. The Refractive Index Structure Constant
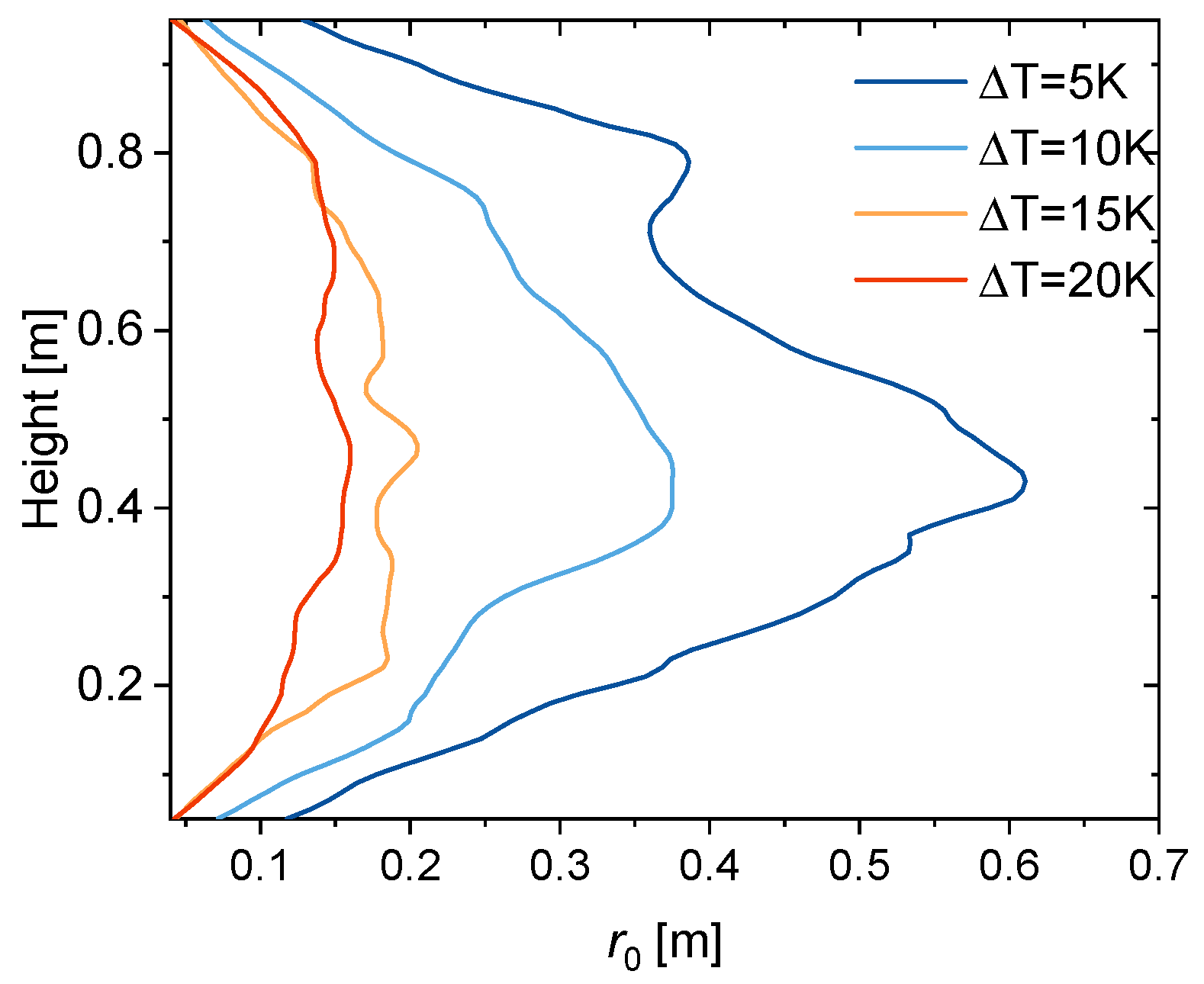
5. Fried Parameter
6. One-Dimensional Refractive Index Power Spectral Density
7. Scaling Power Profiles, Refractive Index Variance Profiles, and Outer Scale in the RB Turbulence Tank
8. Conclusions
Author Contributions
Funding
Data Availability Statement
Conflicts of Interest
References
- Strohbehn, J.W. Laser Beam Propagation in the Atmosphere; Springer: Berlin/Heidelberg, Germany, 1978. [Google Scholar]
- Tatarskii, V.I.; Ishimaru, A.; Zavorotny, V.U. Wave Propagation in Random Media (Scintillation); SPIE: Bellingham, WA, USA, 1993. [Google Scholar]
- Andrews, L.C.; Phillips, R.L. Laser Beam Propagation through Random Media; SPIE: Bellingham, WA, USA, 1998. [Google Scholar]
- Kalensky, M.; Spencer, M.F.; Jumper, E.J.; Gordeyev, S. Estimation of atmospheric optical turbulence strength in realistic airborne environments. Appl. Opt. 2022, 61, 6268–6279. [Google Scholar] [CrossRef] [PubMed]
- Bashkansky, M.; Lucke, R.L.; Funk, E.; Rickard, L.J.; Reintjes, J. Two-dimensional synthetic aperture imaging in the optical domain. Opt. Lett. 2002, 27, 1983–1985. [Google Scholar] [CrossRef] [PubMed]
- Matt, S.; Hou, W.; Goode, W.; Hellman, S. Introducing SiTTE: A controlled laboratory setting to study the impact of turbulent fluctuations on light propagation in the underwater environment. Opt. Express 2017, 25, 5662–5683. [Google Scholar] [CrossRef] [PubMed]
- Majumdar, A.K.; DiUbaldo, J.A.; Brown-VanHoozer, A. Measurement and characterization of laboratory-simulated turbulence parameters of interest to adaptive optics imaging and laser communications. In High-Resolution Wavefront Control: Methods, Devices, and Applications; SPIE: Bellingham, WA, USA, 1999; Volume 3760, pp. 123–128. [Google Scholar]
- Majumdar, A.K.; Gamo, H. Statistical Measurements of Irradiance Fluctuations of a Multipass Laser-Beam Propagated through Laboratory-Simulated Atmospheric-Turbulence. Appl. Opt. 1982, 21, 2229–2235. [Google Scholar] [CrossRef]
- Rickenstorff, C.; Rodrigo, J.A.; Alieva, T. Programmable simulator for beam propagation in turbulent atmosphere. Opt. Express 2016, 24, 10000–10012. [Google Scholar] [CrossRef] [PubMed]
- Yuan, R.M.; Sun, J.N.; Luo, T.; Wu, X.P.; Wang, C.; Lu, C. Simulation study on light propagation in an isotropic turbulence field of the mixed layer. Opt. Express 2014, 22, 7194–7209. [Google Scholar] [CrossRef] [PubMed]
- Yuan, R.M.; Sun, J.N.; Luo, T.; Wu, X.P.; Wang, C.; Fu, Y.F. Simulation study on light propagation in an anisotropic turbulence field of entrainment zone. Opt. Express 2014, 22, 13427–13437. [Google Scholar] [CrossRef]
- Nootz, G.; Matt, S.; Kanaev, A.; Judd, K.P.; Hou, W.L. Experimental and numerical study of underwater beam propagation in a Rayleigh-Benard turbulence tank. Appl. Opt. 2017, 56, 6065–6072. [Google Scholar] [CrossRef]
- Lohse, D.; Xia, K.Q. Small-Scale Properties of Turbulent Rayleigh-Benard Convection. Annu. Rev. Fluid Mech. 2010, 42, 335–364. [Google Scholar] [CrossRef]
- Matt, S.; Nootz, G.; Hellman, S.; Hou, W. Effects of Optical Turbulence and Density Gradients on Particle Image Velocimetry. Sci. Rep. 2020, 10, 2130. [Google Scholar] [CrossRef]
- Renmin, Y.; Jie, M.; Hao, L.; Xuping, W.; Jianning, S.; Xiaoling, J. Simulation of the microstructural characteristics of saltwater turbulence in a water tank. Opt. Express 2018, 26, A844–A854. [Google Scholar] [CrossRef] [PubMed]
- Gulich, D. Temporal correlations imaging fixed targets through turbulence. Opt. Lett. 2016, 41, 2855–2858. [Google Scholar] [CrossRef] [PubMed]
- Funes, G.; Olivares, F.; Weinberger, C.G.; Carrasco, Y.D.; Nunez, L.; Perez, D.G. Synthesis of anisotropic optical turbulence at the laboratory. Opt. Lett. 2016, 41, 5696–5699. [Google Scholar] [CrossRef] [PubMed]
- Ferlic, N.A.; Avramov-Zamurovic, S.; O’Malley, O.; Judd, K.P.; Mullen, L.J. Synchronous optical intensity and phase measurements to characterize Rayleigh-Benard convection. J. Opt. Soc. Am. A Opt. Image Sci. Vis. 2023, 40, 1662–1672. [Google Scholar] [CrossRef] [PubMed]
- Benitez, E.K.; Borg, M.P.; Hill, J.L.; Aultman, M.T.; Duan, L.; Running, C.L.; Jewell, J.S. Quantitative focused laser differential interferometry with hypersonic turbulent boundary layers. Appl. Opt. 2022, 61, 9203–9216. [Google Scholar] [CrossRef] [PubMed]
- Rasouli, S.; Mohammadi Razi, E.; Niemela, J.J. Investigation of the anisotropy and scaling of the phase structure function of a spatially coherent light beam propagating through convective air turbulence. J. Opt. Soc. Am. A 2022, 39, 1641–1649. [Google Scholar] [CrossRef]
- Kaczorowski, M.; Chong, K.L.; Xia, K.Q. Turbulent flow in the bulk of Rayleigh-Benard convection: Aspect-ratio dependence of the small-scale properties. J. Fluid Mech. 2014, 747, 73–102. [Google Scholar] [CrossRef]
- Pandey, A.; Scheel, J.D.; Schumacher, J. Turbulent superstructures in Rayleigh-Benard convection. Nat. Commun. 2018, 9, 2118. [Google Scholar] [CrossRef]
- Bhattacharya, S.; Verma, M.K.; Samtaney, R. Prandtl number dependence of the small-scale properties in turbulent Rayleigh-Benard convection. Phys. Rev. Fluids 2021, 6, 063501. [Google Scholar] [CrossRef]
- Wang, Q.; Verzicco, R.; Lohse, D.; Shishkina, O. Multiple States in Turbulent Large-Aspect-Ratio Thermal Convection: What Determines the Number of Convection Rolls? Phys. Rev. Lett. 2020, 125, 074501. [Google Scholar] [CrossRef]
- Schneide, C.; Pandey, A.; Padberg-Gehle, K.; Schumacher, J. Probing turbulent superstructures in Rayleigh-Benard convection by Lagrangian trajectory clusters. Phys. Rev. Fluids 2018, 3, 113501. [Google Scholar] [CrossRef]
- Aghighi, M.S.; Ammar, A.; Metivier, C.; Gharagozlu, M. Rayleigh-Benard convection of Casson fluids. Int. J. Therm. Sci. 2018, 127, 79–90. [Google Scholar] [CrossRef]
- Wang, Q.; Xia, S.N.; Yan, R.; Sun, D.J.; Wan, Z.H. Non-Oberbeck-Boussinesq effects due to large temperature differences in a differentially heated square cavity filled with air. Int. J. Heat Mass. Transf. 2019, 128, 479–491. [Google Scholar] [CrossRef]
- Paolucci, S.; Chenoweth, D.R. Transition to Chaos in a Differentially Heated Vertical Cavity. J. Fluid Mech. 1989, 201, 379–410. [Google Scholar] [CrossRef]
- Kimmel, S.J.; Domaradzki, J.A. Large eddy simulations of Rayleigh-Benard convection using subgrid scale estimation model. Phys. Fluids 2000, 12, 169–184. [Google Scholar] [CrossRef]
- Pierre, S. Large Eddy Simulation for Incompressible Flows. An Introduction. Meas. Sci. Technol. 2001, 12, 1745. [Google Scholar]
- Smagorinsky, J. General Circulation Experiments with the Primitive Equations: I. The Basic Experiment. Mon. Weather Rev. 1963, 91, 99–164. [Google Scholar] [CrossRef]
- Huang, X.J.; Zhang, L.; Hu, Y.P.; Li, Y.R. Large eddy simulation on Rayleigh-Benard convection of cold water in the neighborhood of the maximum density. Fluid Dyn. Res. 2018, 50, 035503. [Google Scholar] [CrossRef]
- Scheel, J.D.; Kim, E.; White, K.R. Thermal and viscous boundary layers in turbulent Rayleigh-Benard convection. J. Fluid Mech. 2012, 711, 281–305. [Google Scholar] [CrossRef]
- Schmidt, J.D. Numerical Simulation of Optical Wave Propagation with Examples in MATLAB; SPIE: Bellingha, WA, USA, 2010. [Google Scholar]
- Rao, R.Z. Description and measurement of the strength of an optical turbulence. In Optics in Atmospheric Propagation and Adaptive Systems VII; SPIE: Bellingha, WA, USA, 2004; Volume 5572, pp. 45–48. [Google Scholar]













| Pr | Th [K] | Tc [K] | ΔT [K] | Ra | |
|---|---|---|---|---|---|
| 0.7 | 293.15 | 298.15 | 200 200 240 | 5 | 4.7 108 |
| 0.7 | 293.15 | 303.15 | 200 200 240 | 10 | 9.4 108 |
| 0.7 | 293.15 | 308.15 | 200 200 240 | 15 | 1.4 109 |
| 0.7 | 293.15 | 313.15 | 200 200 240 | 20 | 1.8 109 |
Disclaimer/Publisher’s Note: The statements, opinions and data contained in all publications are solely those of the individual author(s) and contributor(s) and not of MDPI and/or the editor(s). MDPI and/or the editor(s) disclaim responsibility for any injury to people or property resulting from any ideas, methods, instructions or products referred to in the content. |
© 2024 by the authors. Licensee MDPI, Basel, Switzerland. This article is an open access article distributed under the terms and conditions of the Creative Commons Attribution (CC BY) license (https://creativecommons.org/licenses/by/4.0/).
Share and Cite
Li, Y.; Mei, H.; Ye, S.; Tao, Z.; Deng, H.; Wu, X.; Rao, R. Spatial Fluctuations of Optical Turbulence Strength in a Laboratory Turbulence Simulator. Photonics 2024, 11, 229. https://doi.org/10.3390/photonics11030229
Li Y, Mei H, Ye S, Tao Z, Deng H, Wu X, Rao R. Spatial Fluctuations of Optical Turbulence Strength in a Laboratory Turbulence Simulator. Photonics. 2024; 11(3):229. https://doi.org/10.3390/photonics11030229
Chicago/Turabian StyleLi, Yanling, Haiping Mei, Shuran Ye, Zhiwei Tao, Hanling Deng, Xiaoqing Wu, and Ruizhong Rao. 2024. "Spatial Fluctuations of Optical Turbulence Strength in a Laboratory Turbulence Simulator" Photonics 11, no. 3: 229. https://doi.org/10.3390/photonics11030229
APA StyleLi, Y., Mei, H., Ye, S., Tao, Z., Deng, H., Wu, X., & Rao, R. (2024). Spatial Fluctuations of Optical Turbulence Strength in a Laboratory Turbulence Simulator. Photonics, 11(3), 229. https://doi.org/10.3390/photonics11030229

