High-Power Terahertz Photonic Crystal Surface-Emitting Laser with High Beam Quality
Abstract
1. Introduction
2. Materials and Methods
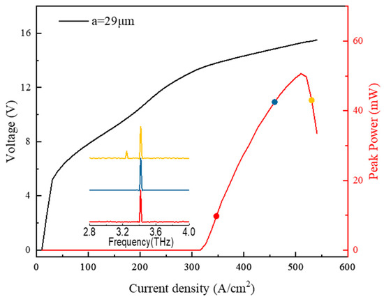
3. Results and Discussion
4. Conclusions
Author Contributions
Funding
Institutional Review Board Statement
Data Availability Statement
Acknowledgments
Conflicts of Interest
Appendix A

References
- Hirose, K.; Liang, Y.; Kurosaka, Y.; Watanabe, A.; Sugiyama, T.; Noda, S. Watt-class high-power, high-beam-quality photonic-crystal lasers. Nat. Photonics 2014, 8, 406–411. [Google Scholar] [CrossRef]
- Dikopoltsev, A.; Harder, T.H.; Lustig, E.; Egorov, O.A.; Beierlein, J.; Wolf, A.; Lumer, Y.; Emmerling, M.; Schneider, C.; Höfling, S.; et al. Topological insulator vertical-cavity laser array. Science 2021, 373, 1514–1517. [Google Scholar] [CrossRef] [PubMed]
- Locatelli, M.; Ravaro, M.; Bartalini, S.; Consolino, L.; Vitiello, M.S.; Cicchi, R.; Pavone, F.; De Natale, P. Real-time terahertz digital holography with a quantum cascade laser. Sci. Rep. 2015, 5, 13566. [Google Scholar] [CrossRef] [PubMed]
- Lei, C.; Choquette, K.D.; Zhou, D.; Seurin, J.-F.; Xu, G.; Zhao, P.; Xu, B.; Chen, T.; Van Leeuwen, R.; Matheussen, J.; et al. Progress on high-power high-brightness VCSELs and applications. In Vertical-Cavity Surface-Emitting Lasers XIX; SPIE: Bellingham, WA, USA, 2015. [Google Scholar]
- Grabherr, M.; Miller, M.; Jäger, R.; Michalzik, R.; Martin, U.; Unold, H.J.; Ebeling, K.J. High-power VCSEL’s: Single devices and densely packed 2-D-arrays. IEEE J. Sel. Top. Quantum Electron. 1999, 5, 495–502. [Google Scholar] [CrossRef]
- Jin, Y.; Gao, L.; Chen, J.; Wu, C.; Reno, J.L.; Kumar, S. High power surface emitting terahertz laser with hybrid second- and fourth-order Bragg gratings. Nat. Commun. 2018, 9, 1407. [Google Scholar] [CrossRef] [PubMed]
- Xu, G.; Colombelli, R.; Khanna, S.P.; Belarouci, A.; Letartre, X.; Li, L.; Linfield, E.H.; Davies, A.G.; Beere, H.E.; Ritchie, D.A. Efficient power extraction in surface-emitting semiconductor lasers using graded photonic heterostructures. Nat. Commun. 2012, 3, 952. [Google Scholar] [CrossRef] [PubMed]
- Zheng, C.; Qu, S.W. Loss control between symmetric and anti-symmetric modes for single-lobed surface emitting of terahertz quantum cascade laser. Opt. Express 2016, 24, 25181–25188. [Google Scholar] [CrossRef]
- Demichel, O.; Mahler, L.; Losco, T.; Mauro, C.; Green, R.; Xu, J.H.; Tredicucci, A.; Beltram, F.; Beere, H.E.; Ritchie, D.A.; et al. Surface plasmon photonic structures in terahertz quantum cascade lasers. Opt. Express 2006, 14, 5335–5345. [Google Scholar] [CrossRef]
- Kumar, S.; Williams, B.S.; Qin, Q.; Lee, A.W.M.; Hu, Q.; Reno, J.L. Surface-emitting distributed feedback terahertz quantum-cascade lasers in metal-metal waveguides. Opt. Express 2007, 15, 113–128. [Google Scholar] [CrossRef]
- Liang, Y.; Wang, Z.; Wolf, J.; Gini, E.; Beck, M.; Meng, B.; Faist, J.; Scalari, G. Room temperature surface emission on large-area photonic crystal quantum cascade lasers. Appl. Phys. Lett. 2019, 114, 031102. [Google Scholar] [CrossRef]
- Wang, Z.; Liang, Y.; Meng, B.; Sun, Y.T.; Omanakuttan, G.; Gini, E.; Beck, M.; Sergachev, I.; Lourdudoss, S.; Faist, J.; et al. Large area photonic crystal quantum cascade laser with 5 W surface-emitting power. Opt. Express 2019, 27, 22708–22716. [Google Scholar] [CrossRef] [PubMed]
- Chassagneux, Y.; Colombelli, R.; Maineult, W.; Barbieri, S.; Khanna, S.P.; Linfield, E.H.; Davies, A.G. Predictable surface emission patterns in terahertz photonic-crystal quantum cascade lasers. Opt. Express 2009, 17, 9491–9502. [Google Scholar] [CrossRef] [PubMed]
- Chassagneux, Y.; Colombelli, R.; Maineult, W.; Barbieri, S.; Beere, H.E.; Ritchie, D.A.; Khanna, S.P.; Linfield, E.H.; Davies, A.G. Electrically pumped photonic-crystal terahertz lasers controlled by boundary conditions. Nature 2009, 457, 174–178. [Google Scholar] [CrossRef] [PubMed]
- Yoshida, M.; De Zoysa, M.; Ishizaki, K.; Tanaka, Y.; Kawasaki, M.; Hatsuda, R.; Song, B.; Gelleta, J.; Noda, S. Double-lattice photonic-crystal resonators enabling high-brightness semiconductor lasers with symmetric narrow-divergence beams. Nat. Mater. 2018, 18, 121–128. [Google Scholar] [CrossRef] [PubMed]
- Yoshida, M.; Katsuno, S.; Inoue, T.; Gelleta, J.; Izumi, K.; De Zoysa, M.; Ishizaki, K.; Noda, S. High-brightness scalable continuous-wave single-mode photonic-crystal laser. Nature 2023, 618, 727–732. [Google Scholar] [CrossRef] [PubMed]
- Vitiello, M.S.; Nobile, M.; Ronzani, A.; Tredicucci, A.; Castellano, F.; Talora, V.; Li, L.; Linfield, E.H.; Davies, A.G. Photonic quasi-crystal terahertz lasers. Nat. Commun. 2014, 5, 5884. [Google Scholar] [CrossRef] [PubMed]
- Biasco, S.; Ciavatti, A.; Li, L.; Giles Davies, A.; Linfield, E.H.; Beere, H.; Ritchie, D.; Vitiello, M.S. Highly efficient surface-emitting semiconductor lasers exploiting quasi-crystalline distributed feedback photonic patterns. Light Sci. Appl. 2020, 9, 54. [Google Scholar] [CrossRef]
- Xie, Y.-Y.; Ni, P.-N.; Wang, Q.-H.; Kan, Q.; Briere, G.; Chen, P.-P.; Zhao, Z.-Z.; Delga, A.; Ren, H.-R.; Chen, H.-D.; et al. Metasurface-integrated vertical cavity surface-emitting lasers for programmable directional lasing emissions. Nat. Nanotechnol. 2020, 15, 125–130. [Google Scholar] [CrossRef]
- Meng, Y.; Chen, Y.; Lu, L.; Ding, Y.; Cusano, A.; Fan, J.A.; Hu, Q.; Wang, K.; Xie, Z.; Liu, Z.; et al. Optical meta-waveguides for integrated photonics and beyond. Light Sci. Appl. 2021, 10, 235. [Google Scholar] [CrossRef]
- Faist, J.; Capasso, F.; Sivco, D.L.; Sirtori, C.; Hutchinson, A.L.; Cho, A.Y. Quantum cascade laser. Science 1994, 264, 553–556. [Google Scholar] [CrossRef]
- Vitiello, M.S.; Scalari, G.; Williams, B.; De Natale, P. Quantum cascade lasers: 20 years of challenges. Opt. Express 2015, 23, 5167–5182. [Google Scholar] [CrossRef] [PubMed]
- Yao, Y.; Hoffman, A.J.; Gmachl, C.F. Mid-infrared quantum cascade lasers. Nat. Photonics 2012, 6, 432–439. [Google Scholar] [CrossRef]
- Köhler, R.; Tredicucci, A.; Beltram, F.; Beere, H.E.; Linfield, E.H.; Davies, A.G.; Ritchie, D.A.; Iotti, R.C.; Rossi, F. Terahertz semiconductor-heterostructure laser. Nature 2002, 417, 156–159. [Google Scholar] [CrossRef] [PubMed]
- Wang, Z.; Liang, Y.; Yin, X.; Peng, C.; Hu, W.; Faist, J. Analytical coupled-wave model for photonic crystal surface-emitting quantum cascade lasers. Opt. Express 2017, 25, 11997–12007. [Google Scholar] [CrossRef]
- Kogelnik, H.; Shank, C.V. Coupled-Wave Theory of Distributed Feedback Lasers. J. Appl. Phys. 1972, 43, 2327–2335. [Google Scholar] [CrossRef]
- Contractor, R.; Noh, W.; Redjem, W.; Qarony, W.; Martin, E.; Dhuey, S.; Schwartzberg, A.; Kante, B. Scalable single-mode surface-emitting laser via open-Dirac singularities. Nature 2022, 608, 692–698. [Google Scholar] [CrossRef] [PubMed]
- Yao, D.-Y.; Zhang, J.-C.; Cathabard, O.; Zhai, S.-Q.; Liu, Y.-H.; Jia, Z.-W.; Liu, F.-Q.; Wang, Z.-G. 10-W pulsed operation of substrate emitting photonic-crystal quantum cascade laser with very small divergence. Nanoscale Res. Lett. 2015, 10, 177. [Google Scholar] [CrossRef][Green Version]
- Unterrainer, K.; Colombelli, R.; Gmachl, C.; Capasso, F.; Hwang, H.Y.; Sergent, A.M.; Sivco, D.L.; Cho, A.Y. Quantum cascade lasers with double metal-semiconductor waveguide resonators. Appl. Phys. Lett. 2002, 80, 3060–3062. [Google Scholar] [CrossRef]
- Khalatpour, A.; Paulsen, A.K.; Deimert, C.; Wasilewski, Z.R.; Hu, Q. High-power portable terahertz laser systems. Nat. Photonics 2020, 15, 16–20. [Google Scholar] [CrossRef]




Disclaimer/Publisher’s Note: The statements, opinions and data contained in all publications are solely those of the individual author(s) and contributor(s) and not of MDPI and/or the editor(s). MDPI and/or the editor(s) disclaim responsibility for any injury to people or property resulting from any ideas, methods, instructions or products referred to in the content. |
© 2024 by the authors. Licensee MDPI, Basel, Switzerland. This article is an open access article distributed under the terms and conditions of the Creative Commons Attribution (CC BY) license (https://creativecommons.org/licenses/by/4.0/).
Share and Cite
Liu, J.; Xu, Y.; Li, R.; Zhang, J.; Zhuo, N.; Liu, J.; Wang, L.; Cheng, F.; Liu, S.; Liu, F.; et al. High-Power Terahertz Photonic Crystal Surface-Emitting Laser with High Beam Quality. Photonics 2024, 11, 150. https://doi.org/10.3390/photonics11020150
Liu J, Xu Y, Li R, Zhang J, Zhuo N, Liu J, Wang L, Cheng F, Liu S, Liu F, et al. High-Power Terahertz Photonic Crystal Surface-Emitting Laser with High Beam Quality. Photonics. 2024; 11(2):150. https://doi.org/10.3390/photonics11020150
Chicago/Turabian StyleLiu, Junhong, Yunfei Xu, Rusong Li, Jinchuan Zhang, Ning Zhuo, Junqi Liu, Lijun Wang, Fengmin Cheng, Shuman Liu, Fengqi Liu, and et al. 2024. "High-Power Terahertz Photonic Crystal Surface-Emitting Laser with High Beam Quality" Photonics 11, no. 2: 150. https://doi.org/10.3390/photonics11020150
APA StyleLiu, J., Xu, Y., Li, R., Zhang, J., Zhuo, N., Liu, J., Wang, L., Cheng, F., Liu, S., Liu, F., Lu, Q., & Zhai, S. (2024). High-Power Terahertz Photonic Crystal Surface-Emitting Laser with High Beam Quality. Photonics, 11(2), 150. https://doi.org/10.3390/photonics11020150

