Evolution of the Phase Singularity of an Orbital Angular Momentum Beam with an Astigmatism Phase
Abstract
1. Introduction
2. Theoretical Model and Method
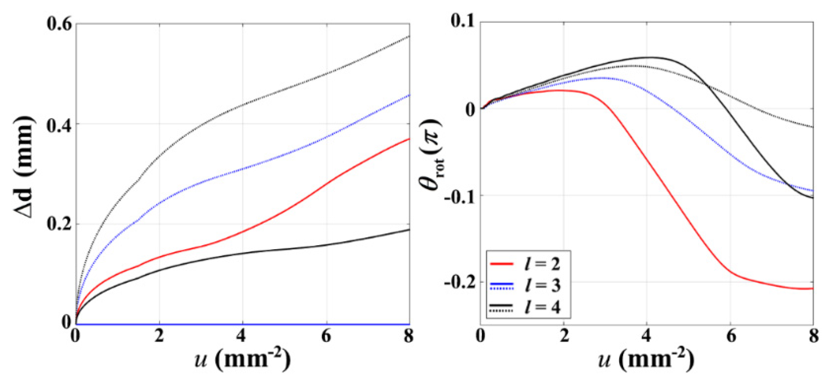
3. Numerical Results and Analysis
4. Conclusions
Author Contributions
Funding
Institutional Review Board Statement
Informed Consent Statement
Data Availability Statement
Conflicts of Interest
References
- Coullet, P.; Gil, L.; Rocca, F. Optical Vortices. Opt. Commun. 1989, 73, 403–408. [Google Scholar] [CrossRef]
- Ashkin, A. Acceleration and Trapping of Particles by Radiation Pressure. Phys. Rev. Lett. 1970, 24, 156–159. [Google Scholar] [CrossRef]
- Wang, J.; Yang, J.-Y.; Fazal, I.M.; Ahmed, N.; Yan, Y.; Huang, H.; Ren, Y.; Yue, Y.; Dolinar, S.; Tur, M.; et al. Terabit Free-Space Data Transmission Employing Orbital Angular Momentum Multiplexing. Nat. Photonics 2012, 6, 488–496. [Google Scholar] [CrossRef]
- Lavery, M.P.J.; Robertson, D.J.; Berkhout, G.C.G.; Love, G.D.; Padgett, M.J.; Courtial, J. Refractive Elements for the Measurement of the Orbital Angular Momentum of a Single Photon. Opt. Express 2012, 20, 2110–2115. [Google Scholar] [CrossRef] [PubMed]
- Padgett, M.; Bowman, R. Tweezers with a Twist. Nat. Photonics 2011, 5, 343–348. [Google Scholar] [CrossRef]
- Yang, Y.; Ren, Y.; Chen, M.; Arita, Y.; Rosales-Guzmán, C. Optical Trapping with Structured Light: A Review. Adv. Photonics 2021, 3, 034001. [Google Scholar] [CrossRef]
- Xie, X.; Chen, Y.; Yang, K.; Zhou, J. Harnessing the Point-Spread Function for High-Resolution Far-Field Optical Microscopy. Phys. Rev. Lett. 2014, 113, 263901. [Google Scholar] [CrossRef] [PubMed]
- Li, X.; Liu, X.; Wu, Q.; Zeng, J.; Cai, Y.; Sergey, A.; Ponomarekno; Liang, C. Prime Number Factorization with Light Beams Carrying Orbital Angular Momentum. submitted.
- Berry, M.V.; Dennis, M.R. Knotted and Linked Phase Singularities in Monochromatic Waves. Proc. R. Soc. Lond. Ser. A Math. Phys. Eng. Sci. 2001, 457, 2251–2263. [Google Scholar] [CrossRef]
- Pisanty, E.; Machado, G.J.; Vicuña-Hernández, V.; Picón, A.; Celi, A.; Torres, J.P.; Lewenstein, M. Knotting Fractional-Order Knots with the Polarization State of Light. Nat. Photonics 2019, 13, 569–574. [Google Scholar] [CrossRef]
- Wang, L.; Zhang, W.; Yin, H.; Zhang, X. Ultrasmall Optical Vortex Knots Generated by Spin-Selective Metasurface Holograms. Adv. Opt. Mater. 2019, 7, 1900263. [Google Scholar] [CrossRef]
- Dennis, M.R.; King, R.P.; Jack, B.; O’Holleran, K.; Padgett, M.J. Isolated Optical Vortex Knots. Nat. Phys. 2010, 6, 118–121. [Google Scholar] [CrossRef]
- Leach, J.; Dennis, M.R.; Courtial, J.; Padgett, M.J. Vortex Knots in Light. New J. Phys. 2005, 7, 55. [Google Scholar] [CrossRef]
- Rodrigo, J.A.; Angulo, M.; Alieva, T. Programmable Optical Transport of Particles in Knot Circuits and Networks. Opt. Lett. 2018, 43, 4244–4247. [Google Scholar] [CrossRef]
- Romero, J.; Leach, J.; Jack, B.; Dennis, M.R.; Franke-Arnold, S.; Barnett, S.M.; Padgett, M.J. Entangled Optical Vortex Links. Phys. Rev. Lett. 2011, 106, 100407. [Google Scholar] [CrossRef] [PubMed]
- Larocque, H.; D’Errico, A.; Ferrer-Garcia, M.F.; Carmi, A.; Cohen, E.; Karimi, E. Optical Framed Knots as Information Carriers. Nat. Commun. 2020, 11, 5119. [Google Scholar] [CrossRef]
- Kong, L.-J.; Zhang, W.; Li, P.; Guo, X.; Zhang, J.; Zhang, F.; Zhao, J.; Zhang, X. High Capacity Topological Coding Based on Nested Vortex Knots and Links. Nat. Commun. 2022, 13, 2705. [Google Scholar] [CrossRef]
- Zhu, J.; Zhang, H.; Wang, Z.; Zhao, X.; Lu, X.; Cai, Y.; Zhao, C. Coherence Singularity and Evolution of Partially Coherent Bessel–Gaussian Vortex Beams. Opt. Express 2023, 31, 9308–9318. [Google Scholar] [CrossRef] [PubMed]
- Wang, Y.; Ma, H.; Tai, Y.; Li, X. Generation of Discrete Higher-Order Optical Vortex Lattice at Focus. Opt. Lett. 2023, 48, 4464–4467. [Google Scholar] [CrossRef]
- Zhu, L.; Tai, Y.; Li, H.; Hu, H.; Li, X.; Cai, Y.; Shen, Y. Multidimensional Optical Tweezers Synthetized by Rigid-Body Emulated Structured Light. Photonics Res. 2023, 11, 1524–1534. [Google Scholar] [CrossRef]
- Piccardo, M.; de Oliveira, M.; Toma, A.; Aglieri, V.; Forbes, A.; Ambrosio, A. Vortex Laser Arrays with Topological Charge Control and Self-Healing of Defects. Nat. Photonics 2022, 16, 359–365. [Google Scholar] [CrossRef]
- Singh, R.K.; Sharma, A.M.; Senthilkumaran, P. Vortex Array Embedded in a Partially Coherent Beam. Opt. Lett. 2015, 40, 2751–2754. [Google Scholar] [CrossRef] [PubMed]
- Liang, G.; Wang, Q. Controllable Conversion between Hermite Gaussian and Laguerre Gaussian Modes Due to Cross Phase. Opt. Express 2019, 27, 10684–10691. [Google Scholar] [CrossRef] [PubMed]
- Zhang, Z.; Liu, Z.; Liu, X.; Gbur, G.; Liang, C.; Cai, Y.; Zeng, J. Measuring the Orbital Angular Momentum of a Vortex Beam under Extremely Low Coherence. Appl. Phys. Lett. 2023, 122, 011101. [Google Scholar] [CrossRef]
- Shen, D.; Zhao, D. Measuring the Topological Charge of Optical Vortices with a Twisting Phase. Opt. Lett. 2019, 44, 2334–2337. [Google Scholar] [CrossRef] [PubMed]
- Wang, C.; Ren, Y.; Liu, T.; Luo, C.; Qiu, S.; Li, Z.; Wu, H. Generation and Measurement of High-Order Optical Vortices by Using the Cross Phase. Appl. Opt. 2020, 59, 4040–4047. [Google Scholar] [CrossRef] [PubMed]
- Ren, Y.; Wang, C.; Liu, T.; Wang, Z.; Yin, C.; Qiu, S.; Li, Z.; Wu, H. Polygonal Shaping and Multi-Singularity Manipulation of Optical Vortices Via High-Order Cross-Phase. Opt. Express 2020, 28, 26257–26266. [Google Scholar] [CrossRef]
- Wan, L.; Zhao, D. Controllable Rotating Gaussian Schell-Model Beams. Opt. Lett. 2019, 44, 735–738. [Google Scholar] [CrossRef] [PubMed]
- Xin, L.; Li, Z.; Monfared, Y.E.; Liang, C.; Wang, F.; Hoenders, B.J.; Cai, Y.; Ma, P. Flexible Autofocusing Properties of Ring Pearcey Beams by Means of a Cross Phase. Opt. Lett. 2021, 46, 70–73. [Google Scholar] [CrossRef]
- Chang, H.; Cai, X.; Wang, F.; Zhang, Y.; Gbur, G.; Cai, Y.; Yu, J. On Z-Coherence of Schell-Model Sources Carrying a Prescribed Astigmatic Phase. Opt. Lett. 2023, 48, 558–561. [Google Scholar] [CrossRef]
- Zhang, H.; Zhao, L.; Gao, Y.; Cai, Y.; Yuan, Y. Scintillation Mitigation Via the Cross Phase of the Gaussian Schell-Model Beam in a Turbulent Atmosphere. Opt. Express 2023, 31, 30615–30626. [Google Scholar] [CrossRef]
- Pan, R.; Liu, X.; Tang, J.; Ye, H.; Liu, Z.; Ma, P.; Wen, W.; Hoenders, B.J.; Cai, Y.; Liang, C. Enhancing the Self-Reconstruction Ability of the Degree of Coherence of a Light Beam Via Manipulating the Cross-Phase Structure. Appl. Phys. Lett. 2021, 119, 111105. [Google Scholar] [CrossRef]
- Liu, Y.; Chen, Y.; Wang, F.; Cai, Y.; Liang, C.; Korotkova, O. Robust Far-Field Imaging by Spatial Coherence Engineering. Opto-Electron. Adv. 2021, 4, 210027. [Google Scholar] [CrossRef]
- Liu, Y.; Zhang, X.; Dong, Z.; Peng, D.; Chen, Y.; Wang, F.; Cai, Y. Robust Far-Field Optical Image Transmission with Structured Random Light Beams. Phys. Rev. Appl. 2022, 17, 024043. [Google Scholar] [CrossRef]
- Fried, D.L. Branch Point Problem in Adaptive Optics. J. Opt. Soc. Am. A 1998, 15, 2759–2768. [Google Scholar] [CrossRef]
- Ge, X.-L.; Wang, B.-Y.; Guo, C.-S. Evolution of Phase Singularities of Vortex Beams Propagating in Atmospheric Turbulence. J. Opt. Soc. Am. A 2015, 32, 837–842. [Google Scholar] [CrossRef] [PubMed]






Disclaimer/Publisher’s Note: The statements, opinions and data contained in all publications are solely those of the individual author(s) and contributor(s) and not of MDPI and/or the editor(s). MDPI and/or the editor(s) disclaim responsibility for any injury to people or property resulting from any ideas, methods, instructions or products referred to in the content. |
© 2024 by the authors. Licensee MDPI, Basel, Switzerland. This article is an open access article distributed under the terms and conditions of the Creative Commons Attribution (CC BY) license (https://creativecommons.org/licenses/by/4.0/).
Share and Cite
Liang, C.; Zheng, C.; Lian, X.; Chen, Q.; Gao, Y.; Liu, J.; Cai, Y.; Zeng, J. Evolution of the Phase Singularity of an Orbital Angular Momentum Beam with an Astigmatism Phase. Photonics 2024, 11, 149. https://doi.org/10.3390/photonics11020149
Liang C, Zheng C, Lian X, Chen Q, Gao Y, Liu J, Cai Y, Zeng J. Evolution of the Phase Singularity of an Orbital Angular Momentum Beam with an Astigmatism Phase. Photonics. 2024; 11(2):149. https://doi.org/10.3390/photonics11020149
Chicago/Turabian StyleLiang, Chunhao, Cuiling Zheng, Xinru Lian, Qian Chen, Yaru Gao, Jinsong Liu, Yangjian Cai, and Jun Zeng. 2024. "Evolution of the Phase Singularity of an Orbital Angular Momentum Beam with an Astigmatism Phase" Photonics 11, no. 2: 149. https://doi.org/10.3390/photonics11020149
APA StyleLiang, C., Zheng, C., Lian, X., Chen, Q., Gao, Y., Liu, J., Cai, Y., & Zeng, J. (2024). Evolution of the Phase Singularity of an Orbital Angular Momentum Beam with an Astigmatism Phase. Photonics, 11(2), 149. https://doi.org/10.3390/photonics11020149

