Next Article in Journal
Photon-Based Innovations in Oncology: Precise Diagnostic Techniques and Advanced Therapies
Next Article in Special Issue
Losses and Energy Backflows of the Fundamental Core Mode in Solid Core Micro Structured Optical Fibers
Previous Article in Journal
A New Method for Indoor Visible Light Imaging and Positioning Based on Single Light Source
Previous Article in Special Issue
Simple Direct Measurement of the Orbital Stokes Parameters in Structured Vortex Beams
 
 
Font Type:
Arial Georgia Verdana
Font Size:
Aa Aa Aa
Line Spacing:
Column Width:
Background:
Article

Considering Grayscale Process and Material Properties for Robust Multilevel Diffractive Flat Optics

INL—International Iberian Nanotechnology Laboratory, 4715-330 Braga, Portugal
*
Author to whom correspondence should be addressed.
Photonics 2024, 11(12), 1200; https://doi.org/10.3390/photonics11121200
Submission received: 29 November 2024 / Revised: 11 December 2024 / Accepted: 18 December 2024 / Published: 20 December 2024
(This article belongs to the Special Issue Recent Advances in Diffractive Optics)

Abstract

Arbitrarily designed flat optics directly manipulate the light wavefront to reproduce complex optical functions, enabling more compact optical assemblies and microsystem integration. Phase-shifting micro-optical devices rely on locally tailoring the optical path length of the wavefront through binary or multilevel surface relief micro- and nanostructures. Considering the resolution and tolerances of the production processes and the optical properties of the substrate and coating materials is crucial for designing robust multilevel diffractive flat optics. In this work, we evaluate the impact of the grayscale laser lithography resolution and geometry constraints on the efficiency of surface-relief diffractive lenses, and we analyze the process parameter space that limit lens performance. We introduce a spectral bandwidth metric to help evaluate the broad-spectrum performance of different materials. We simulate and experimentally observe that the diffractive focusing is dominated by the periodic wavelength-dependent phase discontinuities arising in the profile transitions of multilevel diffractive lenses.

1. Introduction

Diffractive flat optics are one of the main contenders to drive the compactness of various optical systems. Instead of using refraction to focus light, which bends light rays at a curved interface between different mediums, flat optics rely on diffraction, where the light wavefront is modulated to interfere constructively at the focal point. These optical devices locally tailor the optical path length of the wavefront through binary or multilevel surface-relief micro- and nanostructures or a heterogeneous combination of materials [1,2]. However, their diffractive operation is inherently wavelength-dependent, limiting their broad-spectrum application, and their performance is limited by the constraints and tolerances of their nanofabrication process and the materials employed [3].
Binary Fresnel zone plates (FZP) are one of the first examples of a focusing diffractive lens [4]. They consist of alternating amplitude or phase-shifting concentric rings, as seen in Figure 1a, with the n th ring radius given by r n = n λ f + n λ / 2 2 . Each pair of adjacent rings creates a local grating that diffracts light to multiple orders ± m according to the grating equation d   s i n θ ± m = ± m λ , where d = Δ r = r n + 1 r n is the local grating period. The first-order diffraction angles of these binary lenses set the main focal length, f 0 , with a maximum theoretical diffraction efficiency of η 1 40.5 % , but the higher odd orders lead to multiple focal points at f m = f 0 / m , with lower efficiencies: η ± m = 2 / i π m 2 . To reduce the number of focal spots and increase the diffraction efficiency of the lens, the phase profile within each ring must have a continuous 2π radians shift, approximating that of the kinoform lens [5], as illustrated in Figure 1b,c for the first approximation of a spherical lens:
φ ( r ) = 2 π λ 0 f 0 f 0 2 + r 2 ,   Δ ϕ = m o d φ ,   2 π ,
where λ 0 ,   f 0 are the design wavelength and focal length, respectively, and Δ ϕ is the 2π wrapped modulo of the unwrapped phase profile φ . Alternatively, the radii of binary FZP may be optimized to improve the focusing efficiency to one [6,7] or multiple focal points [8,9].
Thin optical elements can be engineered to locally alter the optical path and consequently modulate the phase of the wavefront,:
Δ φ λ , x , y = 2 π λ h x , y n λ n 0 ,
by changing the physical length h (most common for diffractive optics) or the medium properties, such as the effective refractive index for a given wavelength n λ (e.g., for metasurfaces), as illustrated in Figure 2. Grayscale laser lithography [10] is an enabling direct-writing technique to reliably produce multilevel phase-modulating surface relief microstructures for diffractive lenses [11] and self-aligned features for MEMS devices [12]. In grayscale laser lithography, the exposure dose is locally modulated as the pattern is scanned, resulting in different development rates on a typically low-contrast photoresist and allowing for the definition of 2.5D structures. Multilevel diffractive optics structures can be produced directly on grayscale photoresist [11,13], etched to silicon or glass substrates [14], or replicated onto glass-like or high refractive index polymers using high-throughput nanoimprint replication [15,16,17].
While multilevel diffractive optics can theoretically achieve 100% monochromatic design efficiency [18], they are limited by process constraints and deviations from design [3]. As in traditional refractive optics, the optical properties of the substrate and coating materials have an impact on the performance of diffractive optical devices and, considering the geometry constraints and tolerances of the production processes, are crucial for designing robust flat optics. For example, deviations from the nominal design wavelength—or even multiwavelength operation—require additional material compensation and optimizations [19,20].
In this work we evaluate the impact of the grayscale laser lithography microfabrication process and the material properties on the efficiency of multilevel diffractive lenses and how to take these into account when setting the requirements for designing robust flat optics for the visible to near-infrared spectrum. We illustrate how the phase discontinuities, arising from deviations from the design wavelength, dominate the diffractive focal points instead of the continuous surface-relief profile. A material-dependent spectral bandwidth metric is proposed as the spectral detuning range around the design wavelength that remains above an efficiency level. We demonstrate these observations experimentally and compare the focusing performance of the lens with simulations.

2. Analysis of Diffraction Efficiency

2.1. Diffraction Efficiency

The design and fabrication processes of diffractive optical elements imply that their ideal phase profile must be discretely quantized. The phase quantization N is the number of regularly distributed phase levels in 0–2π. The scalar diffraction efficiency for each order m and N is given by
η m = s i n c m N s i n c m ϕ 2 π s i n c m ϕ 2 π N 2 , ϕ = 2 π λ Δ h 0 n λ n 0 ,
where Δ h 0 is the nominal design height range, and s i n c x = sin x / x [5,21,22]. In grayscale lithography, the number of available gray levels, or topography height discretization, directly defines the possible phase quantization of the diffractive optical device. Efficiencies higher than 95% can be reached with >8 discrete phase levels at the design wavelength and are easily reachable with state-of-the-art grayscale laser lithography systems with up to 12 bits (4096 levels) of exposure modulation. The design height range is given by
Δ h 0 = p λ 0 n λ n 0 ,
where p 1 N is the design order for the diffractive lens and can be increased for multiorder diffractive lenses, resulting in a maximum efficiency at the m = p order and the respective f = f 0 / m focal point [23]. This multiorder diffraction efficiency can be exploited to increase the edge lithography resolution for large-aperture diffractive lenses [11] and allows for additional design space for the optimization of the phase mask for multiwavelength operation [23,24,25,26].

2.2. Critical Dimension and Profile Smoothing Aliasing

One of the main process limitations, even for the binary FZP, is the resolution of the fabrication process, which, in these lenses, is dominated by the lateral resolution of the lithography process. The critical dimension (CD) of the process is defined as the lowest resolution that can be achieved. The CD can be limited by the resolution of the lithography mask, such as pixelization of the mask or the addressing grid of the laser positioning or projection system or by the smallest feature that can be produced, which is a combination of the exposure beam size, the development of the photoresist, and the development and pattern transfer processes.
As the aperture or diameter of the lens increases, the local phase gradient,
d φ / d r = 2 π r λ 0 f 0 + r 2 ,
becomes steeper. As the pitch decreases towards Δ r < N C D , the number of phase quantization levels within that region become limited to the number of possible lateral steps: N r n = Δ r / C D , where ⌊⌋ is the floor operator, leading to under sampling and aliasing of the structure. The CD sets the minimum pitch Δ r 2 CD between phase modulation regions, or zone plate rings for binary FZPs, to allow for Nyquist sampling with at least two phase levels. The CD also sets the maximum useful aperture beyond which light is no longer diffracted to the desired focal points but is scattered and may result in undesirable stray light in the optical system.
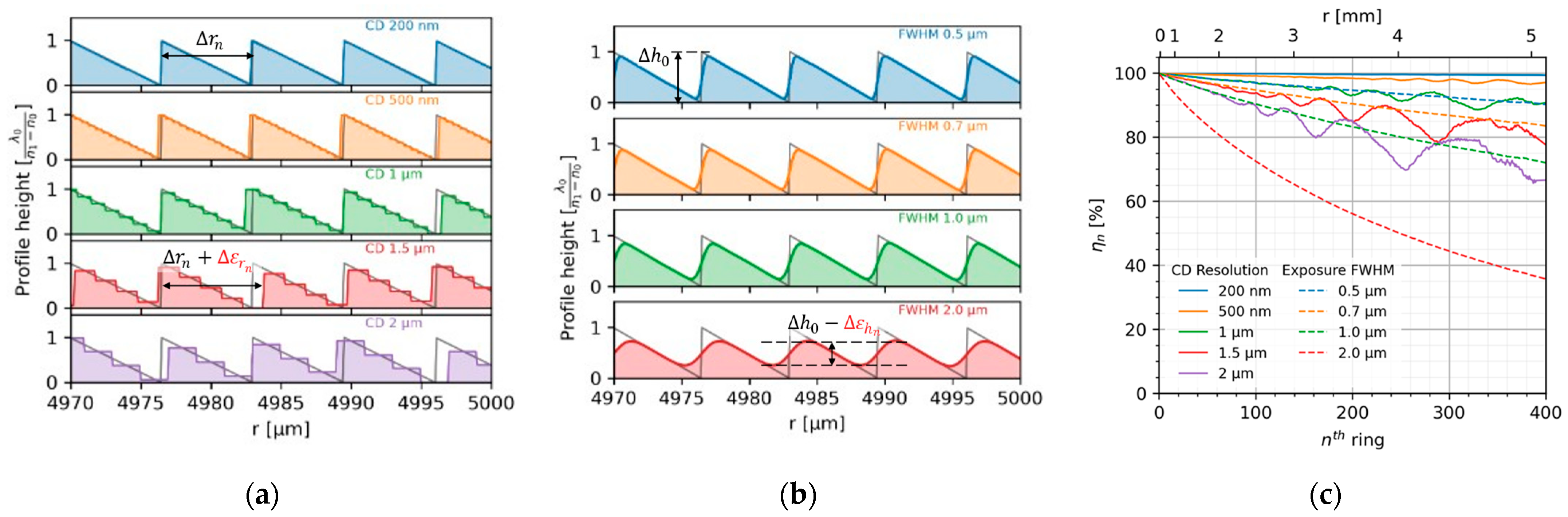
In Figure 3 we illustrate the impact of the lithography exposure on the replication of the ideal lens profile and the expected local diffraction efficiency, for the case of a first-order ( p = 1 ) diffractive lens with f = 50   m m , λ = 633   n m , using Equations (1)–(4). As seen in Figure 3a, at the edge rings of the lens, a step-like CD resolution results not only in a lower number of quantization levels, reducing the diffraction efficiency, but also a lateral shift Δ ε r n in the ring position that increases or decreases the local period and alters the expected focal point. Another consequence of the grayscale process using low-contrast photoresists is the smoothing of the developed profile, as seen in Figure 3b for multiple exposure beam sizes, which limits the sharpness of ring transitions. While such smoothing may appear to be beneficial to remove the quantized step-like structures of the lithography exposure, it varies the profile from the ideal height profile and reduces the height modulation range by Δ ε h n , with both impacting the local diffraction efficiency. Even though the optical proximity effect corrections can be explored on the local exposure energy to pre-compensate the smoothing [27], some smoothing is always expected in thick photoresists in multiorder diffractive lenses. As a result of these constraints, the local diffraction efficiency of the outer rings is reduced as the aperture of the lens increases, as seen in Figure 3c. Intriguingly, the CD-dependent efficiency does not monotonically decrease with the radius but has some regions where the number of phase levels increases again. This is attributed to a lens design aliasing appearing due to the ring separation not being a multiple of the CD, which can be seen in the Experimental Results Section. A hybrid lens approach with regions of well-defined quantization levels decreasing with radius, as in [28], may eliminate this effect.

2.3. Focusing Efficiency

Intuitively, as the aperture of the lens increases, more light can be captured and converged to the focal point. However, as seen before, the local diffraction efficiency at the edges of a large-aperture lens is decreased by the limited number of phase quantization levels and profile smoothing. In practice, increasing the aperture of the lens has diminishing returns beyond a certain value.
The focusing efficiency, or total diffraction efficiency, of the lens η ¯ is the discrete integral of the diffraction efficiencies of each ring zone and the corresponding weight for that zone. For a plane wave illumination, the weight is determined by the ratio of the respective ring area over the total lens aperture,
η ¯ = n = 1 n m a x η n r n 2 r n 1 r n m a x     2     .
Figure 4 analyzes the diffraction efficiency of a lens as a function of its aperture, here represented by the f-number, and the lithography resolution, normalized to the operating wavelength. Overall, a much smaller CD than the operating wavelength is required to achieve the highest first-order efficiency and to minimize the loss of efficiency to higher orders. Imaging diffractive lenses in the visible spectrum fabricated with grayscale UV lithography with a CD of around 1 µm will be capped at η 50 % for f / # < 6 , with higher orders appearing at f 0 / m with η m 1 3 % . A 100% first-order efficiency can be achieved, with no loss of energy to the higher orders, for higher f / # > 10 and subwavelength ( C D < λ 0 ) resolution.

2.4. Spectral Bandwidth

The production of a diffractive lens requires the transferring of the ideal phase-modulating surface relief pattern onto a medium material over a substrate. For a given material, such as a low-contrast photoresist for grayscale lithography, the design profile height Δ h 0 can be calculated using Equations (1), (2) and (4) and the known material dispersion properties, as seen in Figure 5a, for a design wavelength of λ 0 = 650   n m . At the design wavelength, the phase profile is continuous as profile height discontinuities have an equivalent multiple of 2π phase shift. However, for any other wavelength, these transitions introduce a periodic phase discontinuity, giving rise to a diffraction effect. As a result, the diffractive focal length is shifted along the optical axis from the design focal length as
f λ = f 0 λ 0 λ ,
where f 0 is the focal length for the design wavelength λ 0 , and λ is the operation wavelength. Nonetheless, there is a spectral region around the design wavelength where the efficiency at the desired focal point f 0 remains high. Considering the diffraction efficiency Equation (3) and working with a non-integer order given by m = m 0 λ / λ 0 , where m 0 = p , is the design diffractive order, it is possible to calculate the spectral efficiency of the lens, as illustrated in Figure 5b.
We propose a spectral bandwidth metric for the diffractive lenses, defined by the spectral range Δ λ around the design wavelength, where the efficiency remains above a certain threshold (e.g., η > 90 % ).
The spectral bandwidth is dependent on the dispersion of the material used for the phase-modulating structures. We performed the experimental characterization and analysis of the refractive index of several materials used for diffractive lenses in the visible to near-infrared spectrum. To characterize each coating material, we first deposited a thin film by spin coating (600 nm to 4 µm thickness for the nanoimprint and photoresist materials) or sputtering (150 nm to 2 µm thickness for the dielectrics), and we then performed the ellipsometry measurements (M-2000 Spectroscopic Ellipsometer, J.A. Wollam, Lincoln, NE, USA) to extract the respective refractive index in the visible to near-infrared spectrum for both the coatings and substrate materials. Figure 6 shows the refractive index and spectral bandwidth analysis for photoresist polymers and dielectrics, standard and high-n nanoimprint materials, and transmissive substrates that can be etched to the desired profile. As observed, lower dispersion materials provide a flatter spectral bandwidth for the operating spectrum. The lower refractive index materials also result in a higher spectral bandwidth, as expected from Equation (3), since the design height profile results in shallower phase discontinuities. Overall, the spectral bandwidth gives an indication of the tolerance of the diffractive lens design and materials to deviations in the operation scenario.

3. Experimental Results

3.1. Design and Calibration of the Mask

An example diffractive lens was designed, fabricated, and characterized to demonstrate the effects described previously, following the specifications presented in Table 1. The mask for the diffractive lens is represented in Figure 7a. The square aperture is defined with 5 µm pixel resolution, over which the height profile was calculated. The height profile is well defined on axis. As we move radially, the smaller ring period decreases the number of available quantization levels, which leads to the observed aliasing structures in the mask design and in the fabricated device, seen in Figure 8. Nonetheless, even within these aliased regions, the number of quantization levels is sufficiently high to not impact the diffractive performance of the lens.
To design the lens profile and generate the mask for grayscale lithography, we used the open-source pyMOE software library [29]. The mask layers must be equally discretized in height topography. To define the gray levels for the lithography exposure, we followed the grayscale calibration protocol described in [11] to extract the contrast curve of the photoresist, seen in Figure 7b, and define a useful region that allows the expected height range for the lens.

3.2. Microfabrication Process

The lens fabrication process consists of an initial spin coating of an ma-P1225G photoresist on the glass substrate (30 s at 3000 rpm with a 2 min prebake at 100 °C) followed by the grayscale lithography using a Heidelberg Instruments DWL2000 system (Heidelberg Instruments, Heidelberg, Germany) with 128 gray levels. The exposed photoresist is developed with an mr-D 526/S for 90 s in an agitation plate, followed by a deionized water rinse.
The produced lens is shown in Figure 8. The mechanical profilometer measurements reveal a shorter height profile range than expected in the center (despite some error attributed to the profilometer stylus on the sharp transitions). At the edge, however, a combination of few quantization levels, associated with the mask resolution of 5 µm, and profile smoothing due to lithography exposure are observed. This results in a much shallower range than desired, as well as possible variations of the ring position, consistent with the analysis described above.

3.3. Experimental Characterization and Simulation

To test and evaluate the lenses, we prepared the characterization setup, illustrated in Figure 9a, similar to the imaging microscopy setup described in [30]. The setup consists of an incoherent broadband light source (SLS201L, Thorlabs, Newton, NJ, USA) that is bandpass-filtered (FKB-VIS-40, Thorlabs, Newton, NJ, USA, with λ c ± 20   nm ), spatially filtered, expanded to ø5 mm, and approximately collimated to test different wavelengths. The illuminated diffractive lens is mounted on a 200 mm linear z-scan stage (Zaber X-LHM200A-E03, Vancouver, British Columbia, Canada) to move its focal plane along the optical axis of a microscope assembly. A 4× (Olympus RMS4X, Tokyo, Japan) microscope assembly captures the XY plane in front of the scanning lens using a monochrome camera (Thorlabs CS165MU, Thorlabs, New Jersey, United States) under red illumination, as shown in Figure 9b. Using this versatile broadband characterization system, we can directly characterize the focusing performance of the lenses in an adjustable broad spectrum and for very close or long focal lengths.
The XY planes in front of the lens were captured from the surface of the lens up to 100 mm in steps of 0.5 mm, under R ( λ R = 650 ± 20   n m ) , G ( λ G = 550 ± 20 n m ) , and B ( λ b = 450 ± 20   n m ) illumination. A phase correlation and registration algorithm was developed to determine the central position of the illumination plane and to correct for the mechanical wobbling of the linear screw stage. The frames are aligned with each other and to the center of the illuminated field, and the YZ plane is captured along the center of the optical axis.
The measured YZ intensity planes are represented in Figure 10a, normalized to the exposure time in each frame. The focal plane at f = 50   m m is distinctly observed for the design red wavelength. The green and blue colors focus at longer focal planes. The second diffraction order is also observed at the respective f / m focal point, although higher orders are not observed due to low sensitivity. In addition, even though the 5 µm mask pixelization introduces periodic phase discontinuities in the lens profile (seen in Figure 8), the resulting diffraction orders that diverge from the optical axis are not in the characterization fields.
We compare these experimental results by simulating field propagation through the diffractive lens, using the same pyMOE software (v1.4.2) used to generate the masks. The implemented Rayleigh–Sommerfeld field propagation kernel allows for an accurate depiction of the intensity along the YZ planes of the lens, corroborating the first- and higher-order focal points observed experimentally. The spot size at the focus observed in the simulations is much smaller than the experimental results. The simulator is purely monochromatic, and diffraction limited, which is not the case of the experimental characterization setup that uses a broadband light source with a rather wide 40 nm bandpass filter. In addition, the collimation is not perfect for all wavelengths using this setup. Nonetheless, the broadband light source provides a versatile illumination source to test the imaging performance of these types of diffractive lenses.

4. Discussion and Summary

In this work, we analyzed the most critical parameters that define the efficiency and focusing performance of multilevel surface relief diffractive lenses. We demonstrate how the critical dimension and resolution of the lithography process sets the limit for useful lens aperture. We illustrate how profile smoothing at the edges can lower the total efficiency and introduce undesired scattering. To aid diffractive lens designers in defining their lens specifications, we present a normalized parameter space, which indicates the trade-off between aperture, focusing efficiency, and losses to higher diffraction orders based on the resolution limits of the fabrication process.
In kinoform-like Fresnel lenses, the focus positions are dominated by the discontinuities in the phase profile, which arise in the sharp transitions of the height profile. Away from the design wavelength, this results in a drop of efficiency and a shift in the focal length of the lens. We propose and evaluate a spectral bandwidth metric that relates the drop in efficiency at the design focal length with the material properties and helps designers define the operational tolerances for their lenses.
We designed and fabricated a diffractive lens to illustrate the described constraints. We developed a versatile broadband lens characterization system that can evaluate the focusing performance of diffractive lenses and verify the experimental results with simulations. Both the characterization system and proven simulation models provide a powerful toolbox for future diffractive lens developments.
Our future work aims to improve the quality of the broadband illumination and collimation to reduce ambiguity of the observed measurements. With the developed design simulation tools and the presented evaluation metrics to estimate lens performance, we expect to accelerate the assessment of new design options and materials in diffractive optics development.

Supplementary Materials

The following supporting information can be downloaded at: https://www.mdpi.com/article/10.3390/photonics11121200/s1, Video S1: Lens01_RGB_focal_spot.mp4.

Author Contributions

Conceptualization, D.E.A., A.D., M.J.L.F.R., A.S., J.D.S. and P.C.S.; software, D.E.A., M.J.L.F.R. and J.C.; formal analysis, D.E.A., A.D., M.J.L.F.R., A.S., F.C. and P.V.; investigation, D.E.A., A.D. and M.J.L.F.R.; writing—original draft preparation, D.E.A.; writing—review and editing, D.E.A., M.J.L.F.R., J.D.S., P.C.S., J.C. and F.C.; visualization, D.E.A., A.D., M.J.L.F.R. and F.C.; supervision, D.E.A.; project administration, D.E.A.; funding acquisition, D.E.A. All authors have read and agreed to the published version of the manuscript.

Funding

This research was funded by the European Regional Development Fund (ERDF) through COMPETE 2020, Portugal 2020, under Project Sensitive Industry (POCI-01-0247-FEDER-072261).

Institutional Review Board Statement

Not applicable.

Informed Consent Statement

Not applicable.

Data Availability Statement

The pyMOE [29] mask design and simulation software can be found on GitHub: https://github.com/INLnano/pyMOE (accessed on 29 November 2024). The raw data and code supporting the conclusions of this article will be made available by the authors on request.

Acknowledgments

This work was carried out in part through the use of the INL Micro and Nanofabrication Facility. D.E.A. would like to thank Marco Piccardo for interesting discussions on the fabrication challenges of diffractive optics.

Conflicts of Interest

The authors declare no conflicts of interest.

References

  1. Yu, N.; Capasso, F. Flat optics with designer metasurfaces. Nat. Mater. 2014, 13, 139–150. [Google Scholar] [CrossRef] [PubMed]
  2. Banerji, S.; Meem, M.; Majumder, A.; Vasquez, F.G.; Sensale-Rodriguez, B.; Menon, R. Imaging with flat optics: Metalenses or diffractive lenses? Optica 2019, 6, 805. [Google Scholar] [CrossRef]
  3. Banerji, S.; Cooke, J.; Sensale-Rodriguez, B. Impact of fabrication errors and refractive index on multilevel diffractive lens performance. Sci. Rep. 2020, 10, 14608. [Google Scholar] [CrossRef] [PubMed]
  4. Huang, K.; Qin, F.; Liu, H.; Ye, H.; Qiu, C.-W.; Hong, M.; Luk’yanchuk, B.; Teng, J. Planar Diffractive Lenses: Fundamentals, Functionalities, and Applications. Adv. Mater. 2018, 30, 1704556. [Google Scholar] [CrossRef]
  5. Moreno, V.; Román, J.F.; Salgueiro, J.R. High efficiency diffractive lenses: Deduction of kinoform profile. Am. J. Phys. 1997, 65, 556–562. [Google Scholar] [CrossRef]
  6. Srisungsitthisunti, P.; Ersoy, O.K.; Xu, X. Optimization of modified volume Fresnel zone plates. J. Opt. Soc. Am. A 2009, 26, 2114. [Google Scholar] [CrossRef]
  7. Torcal-Milla, F.J.; Sanchez-Brea, L.M. Single-focus binary Fresnel zone plate. Opt. Laser Technol. 2017, 97, 316–320. [Google Scholar] [CrossRef]
  8. Anton, S.R.; Shabairou, N.; Stanciu, S.G.; Stanciu, G.A.; Zalevsky, Z. Enhanced imaging with binary circular Dammann Fresnel zone plate. Opt. Express 2024, 32, 16248. [Google Scholar] [CrossRef]
  9. Doskolovich, L.L.; Bezus, E.A.; Morozov, A.A.; Osipov, V.; Wolffsohn, J.S.; Chichkov, B. Multifocal diffractive lens generating several fixed foci at different design wavelengths. Opt. Express 2018, 26, 4698. [Google Scholar] [CrossRef]
  10. Kazanskiy, N.L.; Butt, M.A. Grayscale Lithography and a Brief Introduction to Other Widely Used Lithographic Methods: A State-of-the-Art Review. Micromachines 2024, 15, 1321. [Google Scholar] [CrossRef]
  11. Aguiam, D.E.; Santos, J.D.; Silva, C.; Gentile, F.; Ferreira, C.; Garcia, I.S.; Cunha, J.; Gaspar, J. Fabrication and optical characterization of large aperture diffractive lenses using greyscale lithography. Micro Nano Eng. 2022, 14, 100111. [Google Scholar] [CrossRef]
  12. Garcia, I.S.; Ferreira, C.; Santos, J.D.; Martins, M.; Dias, R.A.; Aguiam, D.E.; Cabral, J.; Gaspar, J. Fabrication of a MEMS Micromirror Based on Bulk Silicon Micromachining Combined with Grayscale Lithography. J. Microelectromech. Syst. 2020, 29, 734–740. [Google Scholar] [CrossRef]
  13. Meem, M.; Majumder, A.; Menon, R. Multi-plane, multi-band image projection via broadband diffractive optics. Appl. Opt. 2020, 59, 38. [Google Scholar] [CrossRef] [PubMed]
  14. Cunha, J.; Garcia, I.S.; Santos, J.D.; Fernandes, J.; González-Losada, P.; Silva, C.; Gaspar, J.; Cortez, A.; Sampaio, M.; Aguiam, D.E. Assessing tolerances in direct write laser grayscale lithography and reactive ion etching pattern transfer for fabrication of 2.5D Si master molds. Micro Nano Eng. 2023, 19, 100182. [Google Scholar] [CrossRef]
  15. Garcia, I.S.; Retolaza, A.; Ferreira, C.; Silva, C.; Aguiam, D.E.; Alves, F.S.; Sousa, P.C.; Dias, R.A.; Cabral, J.; Gaspar, J. Nanoimprint lithography for grayscale pattern replication of MEMS mirrors in a 200 mm wafer. J. Manuf. Process. 2024, 116, 202–209. [Google Scholar] [CrossRef]
  16. Oh, D.K.; Lee, T.; Ko, B.; Badloe, T.; Ok, J.G.; Rho, J. Nanoimprint lithography for high-throughput fabrication of metasurfaces. Front. Optoelectron. 2021, 14, 229–251. [Google Scholar] [CrossRef]
  17. Einck, V.J.; Torfeh, M.; McClung, A.; Jung, D.E.; Mansouree, M.; Arbabi, A.; Watkins, J.J. Scalable Nanoimprint Lithography Process for Manufacturing Visible Metasurfaces Composed of High Aspect Ratio TiO2 Meta-Atoms. ACS Photonics 2021, 8, 2400–2409. [Google Scholar] [CrossRef]
  18. Shiono, T.; Hamamoto, T.; Takahara, K. High-efficiency blazed diffractive optical elements for the violet wavelength fabricated by electron-beam lithography. Appl. Opt. 2002, 41, 2390. [Google Scholar] [CrossRef]
  19. Li, Y.; Li, X.; Pu, M.; Zhao, Z.; Ma, X.; Wang, Y.; Luo, X. Achromatic flat optical components via compensation between structure and material dispersions. Sci. Rep. 2016, 6, 19885. [Google Scholar] [CrossRef]
  20. Wang, P.; Mohammad, N.; Menon, R. Chromatic-aberration-corrected diffractive lenses for ultra-broadband focusing. Sci. Rep. 2016, 6, 21545. [Google Scholar] [CrossRef]
  21. Levy, U.; Mendlovic, D.; Marom, E. Efficiency analysis of diffractive lenses. J. Opt. Soc. Am. A 2001, 18, 86. [Google Scholar] [CrossRef] [PubMed]
  22. Goodman, J.W. Introduction to Fourier Optics; W.H. Freeman: New York, NY, USA, 2017; ISBN 978-1319119164. [Google Scholar]
  23. Faklis, D.; Morris, G.M. Spectral properties of multiorder diffractive lenses. Appl. Opt. 1995, 34, 2462. [Google Scholar] [CrossRef] [PubMed]
  24. Milster, T.D.; Sik Kim, Y.; Wang, Z.; Purvin, K. Multiple-order diffractive engineered surface lenses. Appl. Opt. 2020, 59, 7900. [Google Scholar] [CrossRef] [PubMed]
  25. Mohammad, N.; Meem, M.; Shen, B.; Wang, P.; Menon, R. Broadband imaging with one planar diffractive lens. Sci. Rep. 2018, 8, 2799. [Google Scholar] [CrossRef]
  26. Peng, Y.; Fu, Q.; Heide, F.; Heidrich, W. The diffractive achromat full spectrum computational imaging with diffractive optics. In SIGGRAPH ASIA 2016 Virtual Reality Meets Physical Reality: Modelling and Simulating Virtual Humans and Environments; ACM: New York, NY, USA, 2016; pp. 1–2. [Google Scholar]
  27. Erjawetz, J.; Collé, D.; Ekindorf, G.; Heyl, P.; Ritter, D.; Reddy, A.; Schift, H. Bend the curve—Shape optimization in laser grayscale direct write lithography using a single figure of merit. Micro Nano Eng. 2022, 15, 100137. [Google Scholar] [CrossRef]
  28. Zhang, Z.; Guo, C.; Wang, R.; Hu, H.; Zhou, X.; Liu, T.; Xue, D.; Zhang, X.; Zhang, F.; Zhang, X. Hybrid-level Fresnel zone plate for diffraction efficiency enhancement. Opt. Express 2017, 25, 33676. [Google Scholar] [CrossRef]
  29. Cunha, J.; Queiroz, J.; Silva, C.; Gentile, F.; Aguiam, D.E. pyMOE: Mask design and modeling for micro optical elements and flat optics. Comput. Phys. Commun. 2024, 305, 109331. [Google Scholar] [CrossRef]
  30. Shanker, A.; Fröch, J.E.; Mukherjee, S.; Zhelyeznyakov, M.; Brunton, S.L.; Seibel, E.J.; Majumdar, A. Quantitative phase imaging endoscopy with a metalens. Light Sci. Appl. 2024, 13, 305. [Google Scholar] [CrossRef]
Figure 1. (a) Binary and (b) multilevel kinoform phase Fresnel zone plate lenses designed for f = 50 mm and λ = 633   nm . The bottom plot illustrates the phase profile along the dashed line across the center of the lenses. (c) Illustration of an ideal refractive spherical lens with radius of curvature R2 and its respective 2π phase-wrapped kinoform lens.
Figure 1. (a) Binary and (b) multilevel kinoform phase Fresnel zone plate lenses designed for f = 50 mm and λ = 633   nm . The bottom plot illustrates the phase profile along the dashed line across the center of the lenses. (c) Illustration of an ideal refractive spherical lens with radius of curvature R2 and its respective 2π phase-wrapped kinoform lens.
Photonics 11 01200 g001
Figure 2. Phase modulation of transmissive thin optical elements by altering the optical path through physical length: (a) etched substrate surface relief or (b) coating topography; or through medium properties: (c) refractive index modulation (e.g., using liquid crystal spatial light modulators) or (d) effective medium (e.g., subwavelength Λ < λ metasurfaces with varying duty cycle ø ).
Figure 2. Phase modulation of transmissive thin optical elements by altering the optical path through physical length: (a) etched substrate surface relief or (b) coating topography; or through medium properties: (c) refractive index modulation (e.g., using liquid crystal spatial light modulators) or (d) effective medium (e.g., subwavelength Λ < λ metasurfaces with varying duty cycle ø ).
Photonics 11 01200 g002
Figure 3. Analysis of profile height and diffraction efficiency for a f = 50   mm , λ = 633   nm diffractive lens designed with an ideal N = 64 quantization levels. Deviations from ideal height profile (gray profile) because of (a) critical dimension resolution and (b) profile smoothing due to process, e.g., full-width-half-maximum of the exposure beam. (c) Simulated local first-order diffraction efficiency of each lens ring as a result of CD resolution and exposure FWHM smoothing.
Figure 3. Analysis of profile height and diffraction efficiency for a f = 50   mm , λ = 633   nm diffractive lens designed with an ideal N = 64 quantization levels. Deviations from ideal height profile (gray profile) because of (a) critical dimension resolution and (b) profile smoothing due to process, e.g., full-width-half-maximum of the exposure beam. (c) Simulated local first-order diffraction efficiency of each lens ring as a result of CD resolution and exposure FWHM smoothing.
Photonics 11 01200 g003
Figure 4. Analysis of the total scalar diffraction efficiency ranges of a lens for different f-numbers and lithography resolutions normalized to the operation wavelength λ 0 . The starting number of quantization levels is N = 64 . These efficiency results are not representative for periodic subwavelength features such as in metasurfaces.
Figure 4. Analysis of the total scalar diffraction efficiency ranges of a lens for different f-numbers and lithography resolutions normalized to the operation wavelength λ 0 . The starting number of quantization levels is N = 64 . These efficiency results are not representative for periodic subwavelength features such as in metasurfaces.
Photonics 11 01200 g004
Figure 5. (a) Representation of the wavelength and material-dependent equivalent phase profile from a diffractive lens height profile and phase discontinuities arising for different wavelengths. (b) Illustration of the spectral bandwidth Δ λ region around the design wavelength where the diffraction efficiency remains high.
Figure 5. (a) Representation of the wavelength and material-dependent equivalent phase profile from a diffractive lens height profile and phase discontinuities arising for different wavelengths. (b) Illustration of the spectral bandwidth Δ λ region around the design wavelength where the diffraction efficiency remains high.
Photonics 11 01200 g005
Figure 6. (a) Measured refractive index for several coating and substrate materials used for diffractive lenses. The nanoimprint NIL1 and NIL2 materials are proprietary high-n nanoimprint materials. (b) Analysis of the spectral bandwidth curves around a design wavelength λ 0 for each material.
Figure 6. (a) Measured refractive index for several coating and substrate materials used for diffractive lenses. The nanoimprint NIL1 and NIL2 materials are proprietary high-n nanoimprint materials. (b) Analysis of the spectral bandwidth curves around a design wavelength λ 0 for each material.
Photonics 11 01200 g006
Figure 7. (a) Mask representation of the surface-relief profile designed using the pyMOE library [29]. (b) Selection of the gray levels to obtain N = 64 regularly spaced phase quantization of the lens, following the grayscale calibration procedure described in [11].
Figure 7. (a) Mask representation of the surface-relief profile designed using the pyMOE library [29]. (b) Selection of the gray levels to obtain N = 64 regularly spaced phase quantization of the lens, following the grayscale calibration procedure described in [11].
Photonics 11 01200 g007
Figure 8. Microscope images of the fabricated diffractive lens and respective mechanical profilometer measurements at the center and edge of the wafer, indicated by the arrows, demonstrating profile height deviations and feature smoothing.
Figure 8. Microscope images of the fabricated diffractive lens and respective mechanical profilometer measurements at the center and edge of the wafer, indicated by the arrows, demonstrating profile height deviations and feature smoothing.
Photonics 11 01200 g008
Figure 9. (a) Schematic of the lens characterization setup. A broadband light source with adjustable filters is collimated and illuminates the diffractive lens, mounted on a z-scan stage. A 4× microscope assembly captures the XY planes in front of the lens with a monochrome camera. (b) Examples of the captured XY frames at different positions along the optical axis in front of the lens, illuminated in the red ( λ 650   nm ) spectrum. See Video S1 for continuous capture of the XY planes along the optical axis in false color.
Figure 9. (a) Schematic of the lens characterization setup. A broadband light source with adjustable filters is collimated and illuminates the diffractive lens, mounted on a z-scan stage. A 4× microscope assembly captures the XY planes in front of the lens with a monochrome camera. (b) Examples of the captured XY frames at different positions along the optical axis in front of the lens, illuminated in the red ( λ 650   nm ) spectrum. See Video S1 for continuous capture of the XY planes along the optical axis in false color.
Photonics 11 01200 g009
Figure 10. (a) Experimental measurements of the intensity along the optical axis of the diffractive lens demonstrating the f = 50   m m design focal spot for the red wavelength, the wavelength-dependent focal point variation, and the higher-order diffractive focal spots. (b) Simulation results of the intensity along the optical axis for the same diffractive lens, corroborating the experimental results.
Figure 10. (a) Experimental measurements of the intensity along the optical axis of the diffractive lens demonstrating the f = 50   m m design focal spot for the red wavelength, the wavelength-dependent focal point variation, and the higher-order diffractive focal spots. (b) Simulation results of the intensity along the optical axis for the same diffractive lens, corroborating the experimental results.
Photonics 11 01200 g010
Table 1. Specifications of the experimental diffractive lens.
Table 1. Specifications of the experimental diffractive lens.
Focal length f 0 = 50   mm
Aperture 5000 × 5000   µ m 2
Pixel size Δ x , Δ y = 5   µ m
Design wavelength λ 0 = 633   n m
Coating materialma-P1225G from micro resist technology
Coating thickness ~ 2.3   µ m
SubstrateBOROFLOAT 33
Design order p = 1
Phase quantization N = 64
Design height Δ h 0 989   n m
Disclaimer/Publisher’s Note: The statements, opinions and data contained in all publications are solely those of the individual author(s) and contributor(s) and not of MDPI and/or the editor(s). MDPI and/or the editor(s) disclaim responsibility for any injury to people or property resulting from any ideas, methods, instructions or products referred to in the content.

Share and Cite

MDPI and ACS Style

Aguiam, D.E.; Dias, A.; Rodrigues, M.J.L.F.; Shanker, A.; Camarneiro, F.; Santos, J.D.; Valentim, P.; Cunha, J.; Sousa, P.C. Considering Grayscale Process and Material Properties for Robust Multilevel Diffractive Flat Optics. Photonics 2024, 11, 1200. https://doi.org/10.3390/photonics11121200

AMA Style

Aguiam DE, Dias A, Rodrigues MJLF, Shanker A, Camarneiro F, Santos JD, Valentim P, Cunha J, Sousa PC. Considering Grayscale Process and Material Properties for Robust Multilevel Diffractive Flat Optics. Photonics. 2024; 11(12):1200. https://doi.org/10.3390/photonics11121200

Chicago/Turabian Style

Aguiam, Diogo E., Ana Dias, Manuel J. L. F. Rodrigues, Aamod Shanker, Filipe Camarneiro, Joana D. Santos, Pablo Valentim, Joao Cunha, and Patrícia C. Sousa. 2024. "Considering Grayscale Process and Material Properties for Robust Multilevel Diffractive Flat Optics" Photonics 11, no. 12: 1200. https://doi.org/10.3390/photonics11121200

APA Style

Aguiam, D. E., Dias, A., Rodrigues, M. J. L. F., Shanker, A., Camarneiro, F., Santos, J. D., Valentim, P., Cunha, J., & Sousa, P. C. (2024). Considering Grayscale Process and Material Properties for Robust Multilevel Diffractive Flat Optics. Photonics, 11(12), 1200. https://doi.org/10.3390/photonics11121200

Note that from the first issue of 2016, this journal uses article numbers instead of page numbers. See further details here.

Article Metrics

Back to TopTop