Precise Reflectance/Transmittance Measurements of Highly Reflective Optics with Saturated Cavity Ring-Down Signals
Abstract
1. Introduction
2. Experimental Setup and Method
3. Experimental Results and Discussion
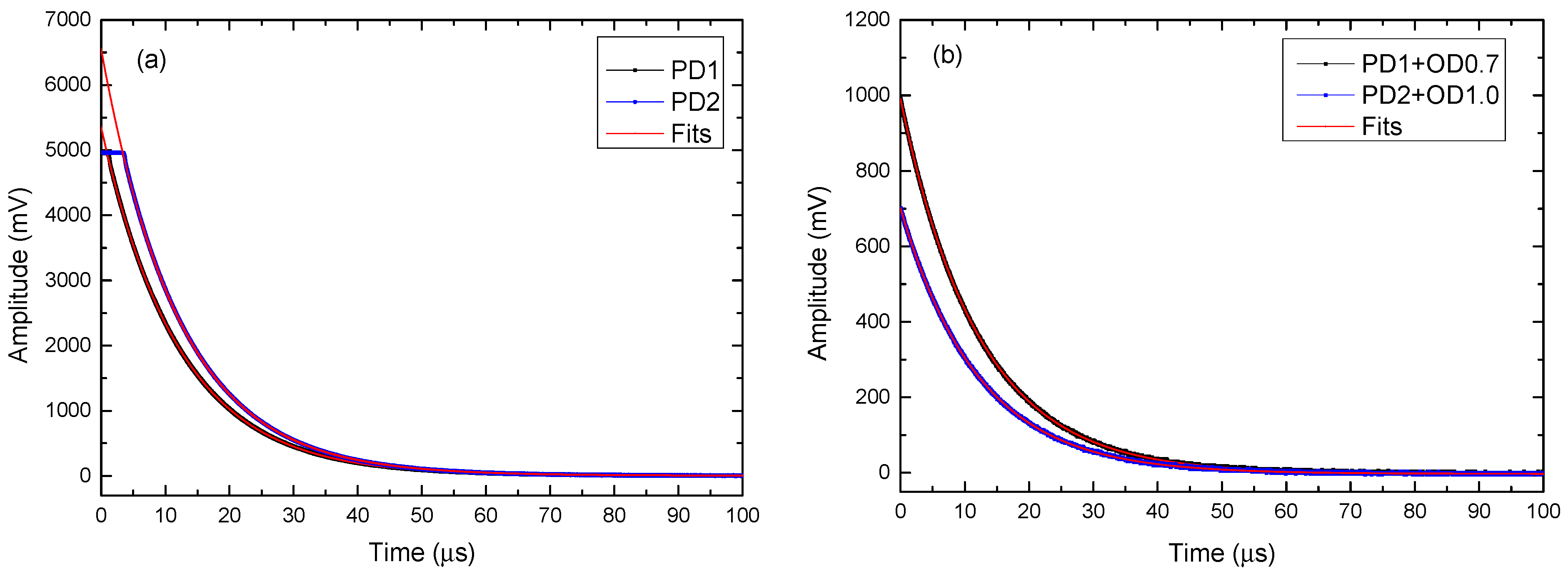
3.1. Reflectance Determination of Cavity Mirrors with Un-Saturated and Saturated CRD Signals
3.2. Simultaneous Determination of Reflectance and Transmittance with Un-Saturated and Saturated CRD Signals
4. Conclusions
Author Contributions
Funding
Data Availability Statement
Conflicts of Interest
References
- Haynam, C.A.; Wegner, P.J.; Auerbach, J.M.; Bowers, M.W.; Wonterghem, B.M.V. National Ignition Facility laser performance status. Appl. Opt. 2007, 46, 3276–3303. [Google Scholar] [CrossRef] [PubMed]
- Willemsen, T.; Chaulagain, U.; Havlickova, I.; Borneis, S.; Ebert, W.; Ehlers, H.; Gauch, M.; Gross, T.; Kramer, D.; Lastovicka, T.; et al. Large area ion beam sputtered dielectric ultrafast mirrors for petawatt laser beamlines. Opt. Express 2022, 30, 6129–6141. [Google Scholar] [CrossRef] [PubMed]
- Chow, W.W.; Gea-Banacloche, J.; Pedrotti, L.M.; Sanders, V.E.; Scully, M.O. The ring laser gyro. Rev. Mod. Phys. 1985, 57, 61–104. [Google Scholar] [CrossRef]
- Passaro, V.M.N.; Cuccovillo, A.; Vaiani, L.; De Carlo, M.; Campanella, C.E. Gyroscope Technology and Applications: A Review in the Industrial Perspective. Sensors 2017, 17, 2284. [Google Scholar] [CrossRef] [PubMed]
- Reid, S.; Martin, I.W. Development of mirror coatings for gravitational wave detectors. Coatings 2016, 6, 61. [Google Scholar] [CrossRef]
- Pinard, L.; Michel, C.; Sassolas, B.; Balzarini, L.; Degallaix, J.; Dolique, V.; Flaminio, R.; Forest, D.; Granata, M.; Lagrange, B.; et al. Mirrors used in the LIGO interferometers for first detection of gravitational waves. Appl. Opt. 2017, 56, C11–C15. [Google Scholar] [CrossRef]
- Krinner, L.; Dietze, K.; Pelzer, L.; Spethmann, N.; Schmidt, P.O. Low phase noise cavity transmission self-injection locked diode laser system for atomic physics experiments. Opt. Express 2024, 32, 15912–15922. [Google Scholar] [CrossRef]
- Berden, G.; Peeters, R.; Meijer, G. Cavity ring-down spectroscopy: Experimental schemes and applications. Int. Rev. Phys. Chem. 2000, 19, 565–607. [Google Scholar] [CrossRef]
- Herbelin, J.M.; McKay, J.A.; Kwok, M.A.; Ueunten, R.H.; Urevig, D.S.; Spencer, D.J.; Benard, D.J. Sensitive measurement of photon lifetime and true reflectances in an optical cavity by a phase-shift method. Appl. Opt. 1980, 19, 144–147. [Google Scholar] [CrossRef]
- Anderson, D.Z.; Frisch, J.C.; Masser, C.S. Mirror reflectometer based on optical cavity decay time. Appl. Opt. 1984, 23, 1238–1245. [Google Scholar] [CrossRef]
- Rempe, G.; Thompson, R.J.; Kimble, H.J.; Lalezari, R. Measurement of ultralow losses in an optical interferometer. Opt. Lett. 1992, 17, 363–365. [Google Scholar] [CrossRef] [PubMed]
- Uehara, N.; Ueda, A.; Ueda, K.; Sekiguchi, H.; Mitake, T.; Nakamura, K.; Kitajima, N.; Kataoka, I. Ultralow-loss mirror of the parts-in-106 level at 1064 nm. Opt. Lett. 1995, 20, 530–532. [Google Scholar] [PubMed]
- Gong, Y.; Li, B.; Han, Y. Optical feedback cavity ring-down technique for accurate measurement of ultra-high reflectivity. Appl. Phys. B 2008, 93, 355–360. [Google Scholar] [CrossRef]
- Cho, H.J.; Lee, J.C.; Lee, S.H. Design and development of an ultralow optical loss mirror coatings for zerodur substrate. J. Opt. Soc. Korea 2012, 16, 80–84. [Google Scholar] [CrossRef]
- Qin, C.; Guo, X.Q.; Zhou, J.; Wang, C.X.; Rong, J.Y.; Zhang, Q.; Li, G.; Zhang, P.F.; Zhang, T.C. Optical characterization of a fiber Fabry-Perot cavity: Precision measurement of intra-cavity loss, transmittance, reflectance. Opt. Express 2024, 32, 14780–14788. [Google Scholar] [CrossRef]
- Zhang, H.; Zhang, D.; Hu, M.; Wang, Q. Direct readout of mirror reflectivity for cavity-enhanced gas sensing using Pound-Drever-Hall signals. Opt. Lett. 2023, 48, 5996–5999. [Google Scholar] [CrossRef] [PubMed]
- Truong, G.W.; Winkler, G.; Zederbauer, T.; Bachmann, D.; Heu, P.; Follman, D.; White, M.E.; Heckl, O.H.; Cole, G.D. Near-infrared scanning cavity ringdown for optical characterization of supermirrors. Opt. Express 2019, 27, 19141–19149. [Google Scholar] [CrossRef]
- Truong, G.W.; Perner, L.W.; Beiley, D.M.; Winkler, G.; Catano-Lopez, S.B.; Wittwer, V.J.; Sudmeyer, T.; Nguyen, C.; Follman, D.; Fleisher, A.J.; et al. Mid-infrared supermirrors with finesse exceeding 400000. Nat. Commun. 2023, 14, 7846. [Google Scholar] [CrossRef]
- Wu, M.; Wang, J.; Han, Y.; Cui, H.; Li, B. Minimizing the influence of higher-order transverse modes on the precision of cavity ring-down measurements. Opt. Lasers Eng. 2023, 161, 107339. [Google Scholar] [CrossRef]
- ISO 13142; Optics and Photonics—Lasers and Laser-Related Equipment—Cavity Ring-Down Method for High-Reflectance and High-Transmittance Measurement. International Organization for Standardization: Geneva, Switzerland, 2021.
- Cui, H.; Li, B.; Xiao, S.; Han, Y.; Wang, J.; Gao, C.; Wang, Y. Simultaneous mapping of reflectance, transmittance and optical loss of highly reflective and anti-reflective coatings with two-channel cavity ring-down technique. Opt. Express 2017, 25, 5807–5820. [Google Scholar] [CrossRef]
- Li, B.; Zhang, X.; Yang, Z.; Wang, J.; Han, Y.; Li, T.; Cui, H.; Zhao, B. Optical scattering measurement of highly reflective coatings with cavity ring-down technique. Opt. Lett. 2024, 49, 4601–4604. [Google Scholar] [CrossRef] [PubMed]
- Gong, Y.; Li, B. Effect of instrumental response time in exponential-decay based cavity ring-down technique for high reflectivity measurement. Proc. SPIE 2007, 6720, 67201E. [Google Scholar]
- Liu, P.L.; Williams, K.J.; Frankel, M.Y.; Esman, R.D. Saturation characteristics of fast photodetectors. IEEE Trans. Microw. Theory Tech. 1999, 47, 1297–1303. [Google Scholar] [CrossRef]
- Huang, Y.L.; Sun, C.K. Nonlinear saturation behaviors of high-speed p-i-n photodetectors. J. Light. Technol. 2000, 18, 203–212. [Google Scholar] [CrossRef]
- Liu, W.; Xu, Z. APD nonlinearity and its impact on PAM-based visible light communication. IEEE Commun. Lett. 2020, 24, 1057–1061. [Google Scholar] [CrossRef]
- Liu, W.; Xu, Z.; Jin, X. Saturation compensation for visible light communication with off-the-shelf detectors. Opt. Express 2021, 29, 9670–9683. [Google Scholar] [CrossRef]
- Caro, G.E.; Veiras, F.E.; Acosta, E.O.; Perez, L.I. Influence of multiple reflections on the transmission coefficients of uniaxial plane–parallel plates. Appl. Opt. 2021, 60, 4573–4581. [Google Scholar] [CrossRef]
- Gregorčič, P.; Babnik, A.; Možina, J. Interference effects at a dielectric plate applied as a high-power-laser attenuator. Opt. Express 2010, 18, 3871–3882. [Google Scholar] [CrossRef]
- Li, B.; Cai, H.; Han, Y.; Gao, L.; Gao, C.; Wang, Y. Simultaneous determination of optical loss, residual reflectance and transmittance of highly anti-reflective coatings with cavity ring down technique. Opt. Express 2014, 22, 29135–29142. [Google Scholar] [CrossRef] [PubMed]
- Winkler, G.; Perner, L.W.; Truong, G.-W.; Zhao, G.; Bachmann, D.; Mayer, A.S.; Fellinger, J.; Follman, D.; Heu, P.; Deutsch, C.; et al. Mid-infrared interference coatings with excess optical loss below 10 ppm. Optica 2021, 8, 686–696. [Google Scholar] [CrossRef]
- Cole, G.D.; Zhang, W.; Bjork, B.J.; Follman, D.; Heu, P.; Deutsch, C.; Sonderhouse, L.; Robinson, J.; Franz, C.; Alexandrovski, A.; et al. High-performance near- and mid-infrared crystalline coatings. Optica 2016, 3, 647–656. [Google Scholar] [CrossRef]






Disclaimer/Publisher’s Note: The statements, opinions and data contained in all publications are solely those of the individual author(s) and contributor(s) and not of MDPI and/or the editor(s). MDPI and/or the editor(s) disclaim responsibility for any injury to people or property resulting from any ideas, methods, instructions or products referred to in the content. |
© 2024 by the authors. Licensee MDPI, Basel, Switzerland. This article is an open access article distributed under the terms and conditions of the Creative Commons Attribution (CC BY) license (https://creativecommons.org/licenses/by/4.0/).
Share and Cite
Han, Y.; Li, B.; Wang, J.; Cui, H.; Wang, T. Precise Reflectance/Transmittance Measurements of Highly Reflective Optics with Saturated Cavity Ring-Down Signals. Photonics 2024, 11, 984. https://doi.org/10.3390/photonics11100984
Han Y, Li B, Wang J, Cui H, Wang T. Precise Reflectance/Transmittance Measurements of Highly Reflective Optics with Saturated Cavity Ring-Down Signals. Photonics. 2024; 11(10):984. https://doi.org/10.3390/photonics11100984
Chicago/Turabian StyleHan, Yanling, Bincheng Li, Jing Wang, Hao Cui, and Tianming Wang. 2024. "Precise Reflectance/Transmittance Measurements of Highly Reflective Optics with Saturated Cavity Ring-Down Signals" Photonics 11, no. 10: 984. https://doi.org/10.3390/photonics11100984
APA StyleHan, Y., Li, B., Wang, J., Cui, H., & Wang, T. (2024). Precise Reflectance/Transmittance Measurements of Highly Reflective Optics with Saturated Cavity Ring-Down Signals. Photonics, 11(10), 984. https://doi.org/10.3390/photonics11100984
