Multilayer Metamaterials with Vertical Cavities for High-Efficiency Transmittance with Metallic Components in the Visible Spectrum
Abstract
1. Introduction
2. Theoretical Analysis and Simulation Methods
3. Simulation Results
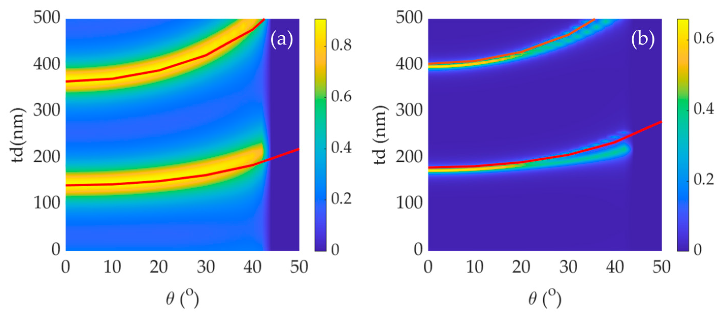
3.1. Transmittance of the Silver–Dielectric–Silver Layer
3.2. Transmittance of a Triple Silver Layer Structure
3.3. Transmittance of Multilayer Structures
4. Conclusions and Discussion
Author Contributions
Funding
Data Availability Statement
Conflicts of Interest
References
- Wu, B.; Monks, J.N.; Yue, L.; Hurst, A.; Wang, Z. Optimized Wide-Angle Metamaterial Edge Filters: Enhanced Performance with Multilayer Designs and Antireflection Coatings. Photonics 2024, 11, 446. [Google Scholar] [CrossRef]
- Kong, Y.B.; Sun, X.Y.; Chen, W.W.; Xu, S.T.; Liu, G.Q.; Wang, Y.H. Multi-Band Spin-Selective Transmission and Reflection in Bi-Layer T-Shaped Metamaterial. Results Phys. 2023, 54, 107075. [Google Scholar] [CrossRef]
- Du, C.; Zhou, D.; Guo, H.H.; Pang, Y.Q.; Shi, H.Y.; Liu, W.F.; Su, J.Z.; Singh, C.; Trukhanov, S.; Trukhanov, A.; et al. An Ultra-Broadband Terahertz Metamaterial Coherent Absorber Using Multilayer Electric Ring Resonator Structures Based on Antireflection Coating. Nanoscale 2020, 12, 9769–9775. [Google Scholar] [CrossRef] [PubMed]
- Hu, J.; Bandyopadhyay, S.; Liu, Y.H.; Shao, L.Y. A Review on Metasurface: From Principle to Smart Metadevices. Front. Phys. 2021, 8, 586087. [Google Scholar] [CrossRef]
- Pakizeh, T.; Abrishamian, M.S.; Granpayeh, N.; Dmitriev, A.; Käll, M.; Barnes, W.L.; Dereux, A.; Ebbesen, T.W.; Cai, W.; Chettiar, U.K.; et al. Exeprimental Demonstration of Near-Infrared Negative-Index Metamaterials; IEEE Press: Piscataway, NJ, USA, 2003; Volume 424. [Google Scholar]
- Li, H.; Wang, Y.; Chen, G. The Design of a Beam Shaping Lens with Flat Surfaces and Ultra-Thin Thickness to Convert a Gaussian Beam to a Top-Hat Beam. In Proceedings of the Thirteenth International Conference on Information Optics and Photonics (CIOP 2022), Xi’an, China, 15 December 2022; p. 131. [Google Scholar]
- Patel, S.K.; Surve, J.; Parmar, J.; Katkar, V.; Jadeja, R.; Taya, S.A.; Ahmed, K. Graphene-Based Metasurface Solar Absorber Design for the Visible and near-Infrared Region with Behavior Prediction Using Polynomial Regression. Optik 2022, 262, 169298. [Google Scholar] [CrossRef]
- Ming Qing, Y.; Feng Ma, H.; Wei Wu, L.; Jun Cui, T. Manipulating the Light-Matter Interaction in a Topological Photonic Crystal Heterostructure. Opt. Express 2020, 28, 34904. [Google Scholar] [CrossRef]
- Wang, H.; Hu, Z.; Deng, J.; Zhang, X.; Chen, J.; Li, K.; Li, G. All-Optical Ultrafast Polarization Switching with Nonlinear Plasmonic Metasurfaces. Sci. Adv. 2024, 10, eadk3882. [Google Scholar] [CrossRef]
- Khorasaninejad, M.; Capasso, F. Metalenses: Versatile Multifunctional Photonic Components. Science 2017, 358, eaam8100. [Google Scholar] [CrossRef]
- Chen, J.H.; Zheng, B.C.; Shao, G.H.; Ge, S.J.; Xu, F.; Lu, Y.Q. An All-Optical Modulator Based on a Stereo Graphene-Microfiber Structure. Light Sci. Appl. 2015, 4, e360. [Google Scholar] [CrossRef]
- Barulin, A.; Kim, I. Hyperlens for capturing sub-diffraction nanoscale single molecule dynamics. Opt. Express 2023, 31, 12162–12174. [Google Scholar] [CrossRef]
- Qing, Y.M.; Ma, H.F.; Ren, Y.Z.; Yu, S.; Cui, T.J. Near-Infrared Absorption-Induced Switching Effect via Guided Mode Resonances in a Graphene-Based Metamaterial. Opt. Express 2019, 27, 5253. [Google Scholar] [CrossRef] [PubMed]
- Lim, S.W.D.; Meretska, M.L.; Capasso, F. A High Aspect Ratio Inverse-Designed Holey Metalens. Nano Lett. 2021, 21, 8642–8649. [Google Scholar] [CrossRef] [PubMed]
- Wu, K.; Liu, J.J.; Ding, Y.j.; Wang, W.; Liang, B.; Cheng, J.C. Metamaterial-Based Real-Time Communication with High Information Density by Multipath Twisting of Acoustic Wave. Nat. Commun. 2022, 13, 5171. [Google Scholar] [CrossRef]
- Patel, S.K.; Wekalao, J.; Alsalman, O.; Surve, J.; Parmar, J.; Taya, S.A. Development of Surface Plasmon Resonance Sensor with Enhanced Sensitivity for Low Refractive Index Detection. Opt. Quantum Electron. 2023, 55, 1001. [Google Scholar] [CrossRef]
- Gan, X.; Zhao, C.; Wang, Y.; Mao, D.; Fang, L.; Han, L.; Zhao, J. Graphene-Assisted All-Fiber Phase Shifter and Switching. Optica 2015, 2, 468. [Google Scholar] [CrossRef]
- Chen, K.; Zhou, X.; Cheng, X.; Qiao, R.; Cheng, Y.; Liu, C.; Xie, Y.; Yu, W.; Yao, F.; Sun, Z.; et al. Graphene Photonic Crystal Fibre with Strong and Tunable Light–Matter Interaction. Nat. Photonics 2019, 13, 754–759. [Google Scholar] [CrossRef]
- Tang, W.; Dai, J.Y.; Chen, M.; Li, X.; Cheng, Q.; Jin, S.; Wong, K.K.; Cui, T.J. Programmable Metasurface-Based RF Chain-Free 8PSK Wireless Transmitter. Electron. Lett. 2019, 55, 417–420. [Google Scholar] [CrossRef]
- Dhama, R.; Yan, B.; Palego, C.; Wang, Z. Super-Resolution Imaging by Dielectric Superlenses: TiO2 Metamaterial Superlens versus Batio3 Superlens. Photonics 2021, 8, 222. [Google Scholar] [CrossRef]
- Li, H.; Fu, L.; Frenner, K.; Osten, W. Design Studies of a Far-Field Plasmonic Superlens with an Enlarged Field of View. Opt. Mater. 2023, 138, 113688. [Google Scholar] [CrossRef]
- Guo, Z.; Jiang, H.; Chen, H. Hyperbolic Metamaterials: From Dispersion Manipulation to Applications. J. Appl. Phys. 2020, 127, 071101. [Google Scholar] [CrossRef]
- Joo, W.-J.; Kyoung, J.; Esfandyarpour, M.; Lee, S.-H.; Koo, H.; Song, S.; Kwon, Y.-N.; Ho Song, S.; Cheol Bae, J.; Jo, A.; et al. Metasurface-Driven OLED Displays beyond 10,000 Pixels per Inch. Science 2020, 370, 459–463. [Google Scholar] [CrossRef] [PubMed]
- Li, T.; Nagal, V.; Gracias, D.H.; Khurgin, J.B. Limits of Imaging with Multilayer Hyperbolic Metamaterials. Opt. Express 2017, 25, 13588. [Google Scholar] [CrossRef] [PubMed]
- Liu, F.; Wang, D.; Zhu, H.; Zhang, X.; Liu, T.; Sun, S.; Zhang, X.; He, Q.; Zhou, L. High-Efficiency Metasurface-Based Surface-Plasmon Lenses. Laser Photonics Rev. 2023, 17, 2201001. [Google Scholar] [CrossRef]
- Li, J.; Yuan, Y.; Yang, G.; Wu, Q.; Zhang, W.; Burokur, S.N.; Zhang, K. Hybrid Dispersion Engineering Based on Chiral Metamirror. Laser Photonics Rev. 2023, 17, 2200777. [Google Scholar] [CrossRef]
- Wang, Y.; Xiao, Y.; Zhao, X.; Wen, D. Fabrication and Characterization of Monolithic Integrated Three-Axis Acceleration/Pressure/Magnetic Field Sensors. Micromachines 2024, 15, 412. [Google Scholar] [CrossRef]
- Yin, X.; Zhu, H.; Guo, H.; Deng, M.; Xu, T.; Gong, Z.; Li, X.; Hang, Z.H.; Wu, C.; Li, H.; et al. Hyperbolic Metamaterial Devices for Wavefront Manipulation. Laser Photonics Rev. 2018, 13, 1800081. [Google Scholar] [CrossRef]
- Wu, F.; Lu, G.; Guo, Z.; Jiang, H.; Xue, C.; Zheng, M.; Chen, C.; Du, G.; Chen, H. Redshift Gaps in One-Dimensional Photonic Crystals Containing Hyperbolic Metamaterials. Phys. Rev. Appl. 2018, 10, 064022. [Google Scholar] [CrossRef]
- Moharam, M.G.; Grann, E.B.; Pommet, D.A.; Gaylord, T.K. Formulation for Stable and Efficient Implementation of the Rigorous Coupled-Wave Analysis of Binary Gratings. JOSA A 1995, 12, 1068–1076. [Google Scholar] [CrossRef]
- Moharam, M.G.; Pommet, D.A.; Grann, E.B.; Gaylord, T.K. Stable Implementation of the Rigorous Coupled-Wave Analysis for Surface-Relief Gratings: Enhanced Transmittance Matrix Approach. JOSA A 1995, 12, 1077–1086. [Google Scholar] [CrossRef]
- Koelling, D.; Freeman, A.; Mueller, F.; Johnson, P.B.; Christy, R.W. Optical Constants of the Noble Metals. Phys. Rev. B 1963, 11, 541. [Google Scholar]
- Li, H.; Fu, L.; Frenner, K.; Osten, W. Cascaded DBR plasmonic cavity lens for far-field subwavelength imaging at a visible wavelength. Opt. Express 2018, 26, 19574–19582. [Google Scholar] [CrossRef] [PubMed]
- Li, H.; Fu, L.; Frenner, K.; Osten, W. Cascaded Plasmonic Superlens for Far-Field Imaging with Magnification at Visible Wavelength. Opt. Express 2018, 26, 10888. [Google Scholar] [CrossRef] [PubMed]
- Axelevitch, A.; Gorenstein, B.; Golan, G. Investigation of Optical Transmission in Thin Metal Films. Phys. Procedia 2012, 32, 1–13. [Google Scholar] [CrossRef]










Disclaimer/Publisher’s Note: The statements, opinions and data contained in all publications are solely those of the individual author(s) and contributor(s) and not of MDPI and/or the editor(s). MDPI and/or the editor(s) disclaim responsibility for any injury to people or property resulting from any ideas, methods, instructions or products referred to in the content. |
© 2024 by the authors. Licensee MDPI, Basel, Switzerland. This article is an open access article distributed under the terms and conditions of the Creative Commons Attribution (CC BY) license (https://creativecommons.org/licenses/by/4.0/).
Share and Cite
Li, H.; Zhao, L.; Chen, G.; Hu, G.; Zhou, Z. Multilayer Metamaterials with Vertical Cavities for High-Efficiency Transmittance with Metallic Components in the Visible Spectrum. Photonics 2024, 11, 956. https://doi.org/10.3390/photonics11100956
Li H, Zhao L, Chen G, Hu G, Zhou Z. Multilayer Metamaterials with Vertical Cavities for High-Efficiency Transmittance with Metallic Components in the Visible Spectrum. Photonics. 2024; 11(10):956. https://doi.org/10.3390/photonics11100956
Chicago/Turabian StyleLi, Huiyu, Lin Zhao, Guangwei Chen, Guoqing Hu, and Zhehai Zhou. 2024. "Multilayer Metamaterials with Vertical Cavities for High-Efficiency Transmittance with Metallic Components in the Visible Spectrum" Photonics 11, no. 10: 956. https://doi.org/10.3390/photonics11100956
APA StyleLi, H., Zhao, L., Chen, G., Hu, G., & Zhou, Z. (2024). Multilayer Metamaterials with Vertical Cavities for High-Efficiency Transmittance with Metallic Components in the Visible Spectrum. Photonics, 11(10), 956. https://doi.org/10.3390/photonics11100956
