Optical Angular Momentum Beam Generation Using Coherent Beam Combination
Abstract
1. Introduction
2. Tilted and Phased CBC for Optical Angular Momentum Generation
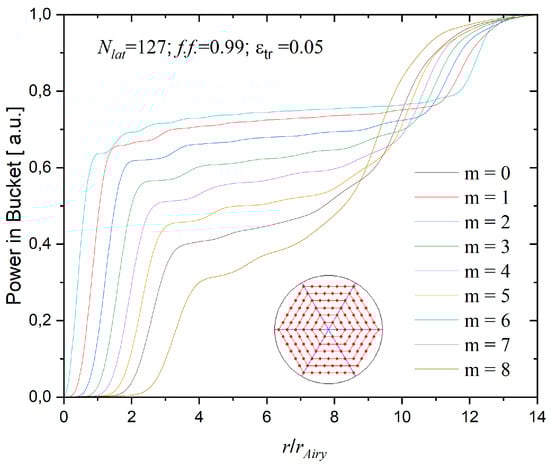
3. Results
4. Conclusions
Author Contributions
Funding
Institutional Review Board Statement
Informed Consent Statement
Data Availability Statement
Acknowledgments
Conflicts of Interest
References
- Brignon, A. Coherent Laser Beam Combining, 2013th ed.; Brignon, A., Ed.; Wiley-VCH, Verlag GmbH & Co. KGaA: Weinheim, Germany, 2013; ISBN 978-3-527-65280-8. [Google Scholar]
- Fathi, H.; Närhi, M.; Gumenyuk, R. Towards Ultimate High-Power Scaling: Coherent Beam Combining of Fiber Lasers. Photonics 2021, 8, 566. [Google Scholar] [CrossRef]
- Fan, T.Y. Laser Beam Combining for High-Power, High-Radiance Sources. IEEE J. Sel. Top. Quantum Electron. 2005, 11, 567–577. [Google Scholar] [CrossRef]
- Van Zandt, N.R.; Cusumano, S.J.; Bartell, R.J.; Basu, S.; McCrae, J.E.; Fiorino, S.T. Comparison of Coherent and Incoherent Laser Beam Combination for Tactical Engagements. Opt. Eng. 2012, 51, 104301. [Google Scholar] [CrossRef]
- Shpakovych, M.; Maulion, G.; Kermene, V.; Boju, A.; Armand, P.; Desfarges-Berthelemot, A.; Barthélemy, A. Experimental Phase Control of a 100 Laser Beam Array with Quasi-Reinforcement Learning of a Neural Network in an Error Reduction Loop. Opt. Express 2021, 29, 12307. [Google Scholar] [CrossRef]
- Mourou, G.; Brocklesby, B.; Tajima, T.; Limpert, J. The Future Is Fibre Accelerators. Nat. Photonics 2013, 7, 258–261. [Google Scholar] [CrossRef]
- Leshchenko, V.E. Coherent Combining Efficiency in Tiled and Filled Aperture Approaches. Opt. Express 2015, 23, 15944. [Google Scholar] [CrossRef] [PubMed]
- Jabczyński, J.K.; Gontar, P. Impact of Atmospheric Turbulence on Coherent Beam Combining for Laser Weapon Systems. Def. Technol. 2021, 17, 1160–1167. [Google Scholar] [CrossRef]
- Weyrauch, T.; Vorontsov, M.; Mangano, J.; Ovchinnikov, V.; Bricker, D.; Polnau, E.; Rostov, A. Deep Turbulence Effects Mitigation with Coherent Combining of 21 Laser Beams over 7 Km. Opt. Lett. 2016, 41, 840. [Google Scholar] [CrossRef]
- Fsaifes, I.; Daniault, L.; Bellanger, S.; Veinhard, M.; Bourderionnet, J.; Larat, C.; Lallier, E.; Durand, E.; Brignon, A.; Chanteloup, J.-C. Coherent Beam Combining of 61 Femtosecond Fiber Amplifiers. Opt. Express 2020, 28, 20152. [Google Scholar] [CrossRef]
- Chang, H.; Chang, Q.; Xi, J.; Hou, T.; Su, R.; Ma, P.; Wu, J.; Li, C.; Jiang, M.; Ma, Y.; et al. First Experimental Demonstration of Coherent Beam Combining of More than 100 Beams. Photonics Res. 2020, 8, 1943. [Google Scholar] [CrossRef]
- Sprangle, P.; Ting, A.; Peñano, J.; Fischer, R.; Hafizi, B. Incoherent Combining and Atmospheric Propagation of High-Power Fiber Lasers for Directed-Energy Applications. IEEE J. Quantum Electron. 2009, 45, 138–148. [Google Scholar] [CrossRef]
- Müller, M.; Aleshire, C.; Klenke, A.; Haddad, E.; Légaré, F.; Tünnermann, A.; Limpert, J. 10.4 KW Coherently Combined Ultrafast Fiber Laser. Opt. Lett. 2020, 45, 3083. [Google Scholar] [CrossRef] [PubMed]
- Vorontsov, M.; Filimonov, G.; Ovchinnikov, V.; Polnau, E.; Lachinova, S.; Weyrauch, T.; Mangano, J. Comparative Efficiency Analysis of Fiber-Array and Conventional Beam Director Systems in Volume Turbulence. Appl. Opt. 2016, 55, 4170. [Google Scholar] [CrossRef] [PubMed]
- Weyrauch, T.; Vorontsov, M.A.; Carhart, G.W.; Beresnev, L.A.; Rostov, A.P.; Polnau, E.E.; Liu, J.J. Experimental Demonstration of Coherent Beam Combining over a 7 km Propagation Path. Opt. Lett. 2011, 36, 4455–4457. [Google Scholar] [CrossRef] [PubMed]
- Meric, H. Atmospheric Turbulence Modeling and Aperture Analysis for Optimizing Receiver Design and System Performance on Free Space Optical Communication Links. Master’s Thesis, Bilkent Universitesi, Ankara, Türkiye, 2012. [Google Scholar]
- Andrews, L.C.; Phillips, R.L. Laser Beam Propagation through Random Media; SPIE: Bellingham, WA, USA, 2005; ISBN 0-8194-5948-8. [Google Scholar]
- Stotts, L.B.; Andrews, L.C. Optical Communications in Turbulence: A Tutorial. Opt. Eng. 2023, 63, 041207. [Google Scholar] [CrossRef]
- Allen, L.; Barnett, S.M.; Padgett, M.J. Optical Angular Momentum; CRC Press: Boca Raton, FL, USA, 2016; ISBN 9781482269017. [Google Scholar]
- Lian, Y.; Qi, X.; Wang, Y.; Bai, Z.; Wang, Y.; Lu, Z. OAM Beam Generation in Space and Its Applications: A Review. Opt. Lasers Eng. 2022, 151, 106923. [Google Scholar] [CrossRef]
- Shiri, A.; Gbur, G. Orbital Angular Momentum Spectrum of Model Partially Coherent Beams in Turbulence. Opt. Express 2024, 32, 18175. [Google Scholar] [CrossRef] [PubMed]
- Hou, T.; Zhang, Y.; Chang, Q.; Ma, P.; Su, R.; Wu, J.; Ma, Y.; Zhou, P. High-Power Vortex Beam Generation Enabled by a Phased Beam Array Fed at the Nonfocal-Plane. Opt. Express 2019, 27, 4046. [Google Scholar] [CrossRef]
- Yu, T.; Xia, H.; Xie, W.; Peng, Y. Orbital Angular Momentum Mode Detection of the Combined Vortex Beam Generated by Coherent Combining Technology. Opt. Express 2020, 28, 35795. [Google Scholar] [CrossRef] [PubMed]
- Vetter, C.; Steinkopf, R.; Bergner, K.; Ornigotti, M.; Nolte, S.; Gross, H.; Szameit, A. Realization of Free-Space Long-Distance Self-Healing Bessel Beams. Laser Photonics Rev. 2019, 13, 1900103. [Google Scholar] [CrossRef]
- Rouzé, B.; Lombard, L.; Jacqmin, H.; Liméry, A.; Durécu, A.; Bourdon, P. Coherent Beam Combination of Seven 1.5 Μm Fiber Amplifiers through up to 1 Km Atmospheric Turbulence: Near- and Far-Field Experimental Analysis. Appl. Opt. 2021, 60, 8524. [Google Scholar] [CrossRef] [PubMed]
- Doster, T.; Watnik, A.T. Laguerre–Gauss and Bessel–Gauss Beams Propagation through Turbulence: Analysis of Channel Efficiency. Appl. Opt. 2016, 55, 10239. [Google Scholar] [CrossRef] [PubMed]
- Fiorino, S.T.; Bartell, R.J.; Krizo, M.J.; Caylor, G.L.; Moore, K.P.; Harris, T.R.; Cusumano, S.J. A First Principles Atmospheric Propagation & Characterization Tool: The Laser Environmental Effects Definition and Reference (LEEDR). In Atmospheric Propagation of Electromagnetic Waves II; SPIE: Bellingham, WA, USA, 2008; Volume 6878, pp. 57–68. [Google Scholar]
- Aksenov, V.P.; Dudorov, V.V.; Filimonov, G.A.; Kolosov, V.V.; Venediktov, V.Y. Vortex Beams with Zero Orbital Angular Momentum and Non-Zero Topological Charge. Opt. Laser Technol. 2018, 104, 159–163. [Google Scholar] [CrossRef]
- Jabczynski, J.K.; Gontar, P.; Gorajek, L.; Zendzian, W. Segmented Vortex Wavefront Coherent Beam Combining. AIP Adv. 2022, 12, 045223. [Google Scholar] [CrossRef]
- Jabczynski, J.K.; Gontar, P. Analysis of the Caustics of Partially Coherently Combined Truncated Gaussian Beams. Appl. Opt. 2020, 59, 3340. [Google Scholar] [CrossRef]
- Jabczyński, J.K.; Gontar, P.; Gorajek, Ł.; Żendzian, W. Simplified Sensitivity Analysis of Coherent Beam Combining in a Tiled Aperture Architecture. Appl. Opt. 2021, 60, 5012–5019. [Google Scholar] [CrossRef] [PubMed]
- Ding, D.; Liu, X. Approximate Description for Bessel, Bessel-Gauss, and Gaussian Beams with Finite Aperture. JOSA A 1999, 16, 1286–1293. [Google Scholar] [CrossRef]




| 0 | 1 | 2 | 3 | 4 | 5 | 6 | 7 | 8 | |
|---|---|---|---|---|---|---|---|---|---|
| 0 | 1.00000 | 0.00844 | 0.00875 | 0.00924 | 0.00986 | 0.01000 | 0.10100 | 0.01200 | 0.01200 |
| 1 | 0.00844 | 1.00000 | 0.00484 | 0.00507 | 0.00541 | 0.00570 | 0.00848 | 0.08800 | 0.00701 |
| 2 | 0.00875 | 0.00484 | 1.00000 | 0.00530 | 0.00562 | 0.00599 | 0.00862 | 0.00681 | 0.09500 |
| 3 | 0.00924 | 0.00507 | 0.00530 | 1.00000 | 0.00592 | 0.00621 | 0.00918 | 0.00770 | 0.00768 |
| 4 | 0.00986 | 0.00541 | 0.00562 | 0.00592 | 1.00000 | 0.00669 | 0.00958 | 0.00761 | 0.00843 |
| 5 | 0.01000 | 0.00570 | 0.00599 | 0.00621 | 0.00669 | 1.00000 | 0.01000 | 0.00846 | 0.00868 |
| 6 | 0.10100 | 0.00848 | 0.00862 | 0.00918 | 0.00958 | 0.01000 | 1.00000 | 0.01100 | 0.01200 |
| 7 | 0.01200 | 0.08800 | 0.00681 | 0.00770 | 0.00761 | 0.00846 | 0.01100 | 1.00000 | 0.00987 |
| 8 | 0.01200 | 0.00701 | 0.09500 | 0.00768 | 0.00843 | 0.00868 | 0.01200 | 0.00987 | 1.00000 |
Disclaimer/Publisher’s Note: The statements, opinions and data contained in all publications are solely those of the individual author(s) and contributor(s) and not of MDPI and/or the editor(s). MDPI and/or the editor(s) disclaim responsibility for any injury to people or property resulting from any ideas, methods, instructions or products referred to in the content. |
© 2024 by the authors. Licensee MDPI, Basel, Switzerland. This article is an open access article distributed under the terms and conditions of the Creative Commons Attribution (CC BY) license (https://creativecommons.org/licenses/by/4.0/).
Share and Cite
Gontar, P.; Gorajek, L.; Zendzian, W.; Jabczyński, J. Optical Angular Momentum Beam Generation Using Coherent Beam Combination. Photonics 2024, 11, 907. https://doi.org/10.3390/photonics11100907
Gontar P, Gorajek L, Zendzian W, Jabczyński J. Optical Angular Momentum Beam Generation Using Coherent Beam Combination. Photonics. 2024; 11(10):907. https://doi.org/10.3390/photonics11100907
Chicago/Turabian StyleGontar, Przemyslaw, Lukasz Gorajek, Waldemar Zendzian, and Jan Jabczyński. 2024. "Optical Angular Momentum Beam Generation Using Coherent Beam Combination" Photonics 11, no. 10: 907. https://doi.org/10.3390/photonics11100907
APA StyleGontar, P., Gorajek, L., Zendzian, W., & Jabczyński, J. (2024). Optical Angular Momentum Beam Generation Using Coherent Beam Combination. Photonics, 11(10), 907. https://doi.org/10.3390/photonics11100907

