Millisecond-Response Nematic Liquid Crystal for Augmented Reality Displays
Abstract
:1. Introduction
2. Materials and Methods
2.1. Characterization and Measurements
2.2. Materials
2.3. Preparation of LC Mixture
3. Results
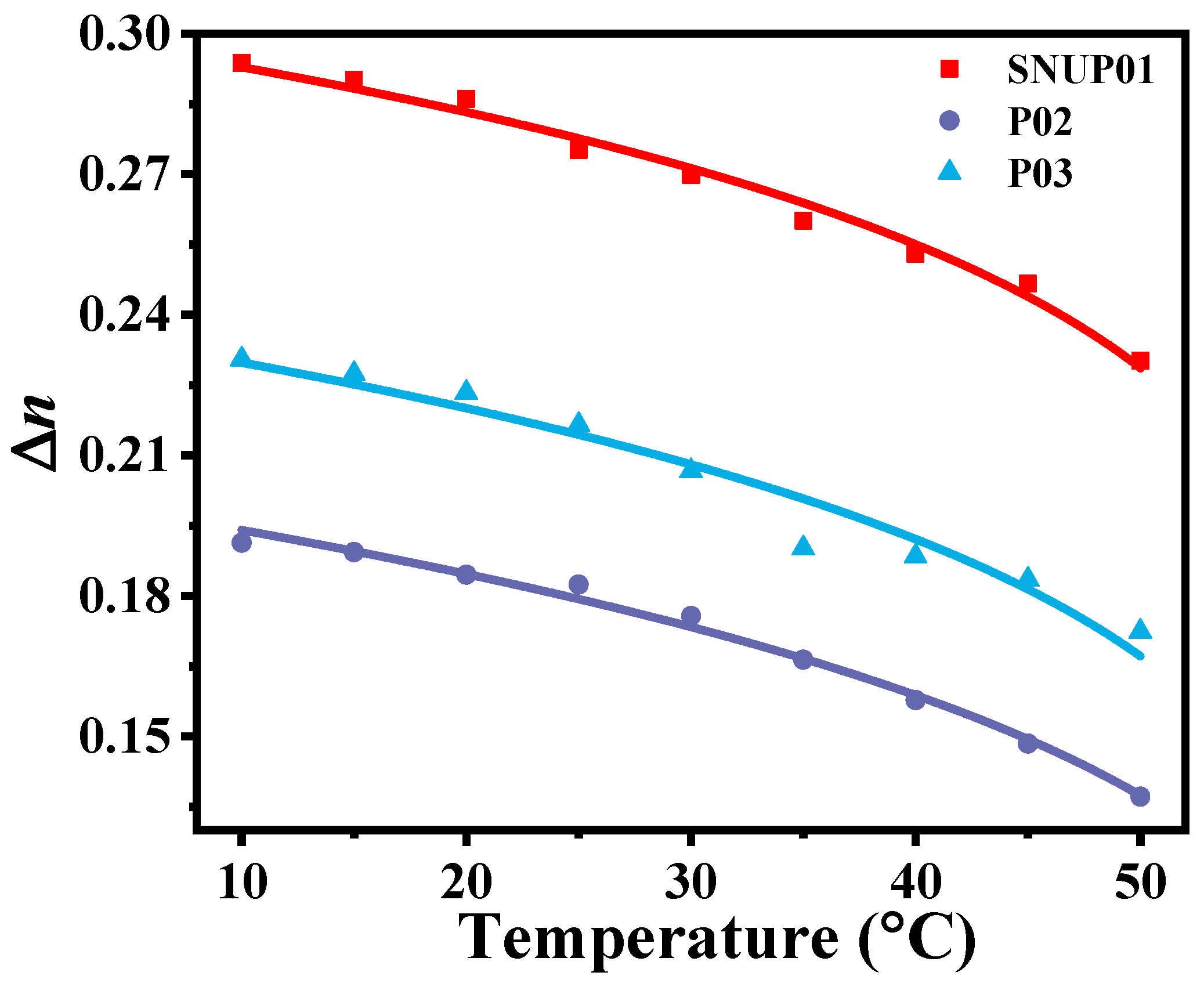
3.1. Birefringence
3.2. Viscoelastic Coefficient
3.3. Dielectric Anisotropy
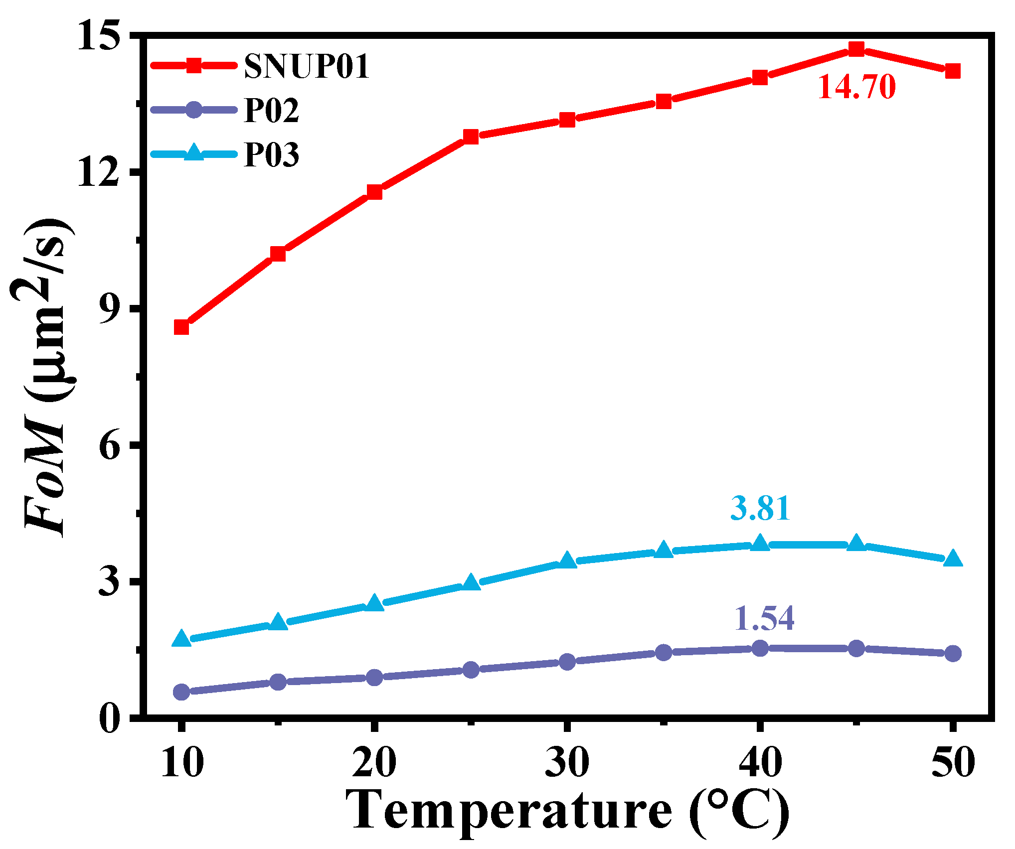
3.4. Figure of Merit
3.5. Comprehensive Evaluations
3.6. Response Time
4. Conclusions
Supplementary Materials
Author Contributions
Funding
Institutional Review Board Statement
Informed Consent Statement
Data Availability Statement
Acknowledgments
Conflicts of Interest
References
- Zhang, Z.; Jeziorska-Chapman, A.M.; Collings, N.; Pivnenko, M.; Moore, J.; Milne, W.I.; Crossland, W.A.; Chu, D. High quality assembly of phase-only liquid crystal on silicon (LCOS) devices. J. Disp. Technol. 2011, 7, 120–126. [Google Scholar] [CrossRef]
- Zhang, Z.; You, Z.; Chu, D. Fundamentals of phase-only liquid crystal on silicon (LCOS) devices. Light Sci. Appl. 2014, 3, e213. [Google Scholar] [CrossRef]
- Li, P.K. LCOS and AR/VR. Inf. Disp. 2018, 34, 12–15. [Google Scholar] [CrossRef]
- Huang, Y.; Liao, E.; Chen, R.; Wu, S.T. Liquid-crystal-on-silicon for augmented reality displays. Appl. Sci. 2018, 8, 2366. [Google Scholar] [CrossRef]
- Maimone, A.; Georgiou, A.; Kollin, J.S. Holographic near-eye displays for virtual and augmented reality. ACM Trans. Graph. 2017, 36, 85. [Google Scholar] [CrossRef]
- Yin, K.; Hsiang, E.L.; Zou, J.; Li, Y.; Yang, Z.; Yang, Q.; Lai, P.C.; Lin, C.L.; Wu, S.T. Advanced liquid crystal devices for augmented reality and virtual reality displays: Principles and applications. Light Sci. Appl. 2022, 11, 161. [Google Scholar] [CrossRef]
- Koulieris, G.A.; Akşit, K.; Stengel, M.; Mantiuk, R.K.; Mania, K.; Richardt, C. Near-eye display and tracking technologies for virtual and augmented reality. Comput. Graph. Forum 2019, 38, 493–519. [Google Scholar] [CrossRef]
- Jin, Y.; Elston, S.J.; Fells, J.A.; Booth, M.; Welch, C.; Mehl, G.; Morris, S. Millisecond optical phase modulation using multipass configurations with liquid-crystal devices. Phys. Rev. Appl. 2020, 14, 024007. [Google Scholar] [CrossRef]
- Kowerdziej, R.; Wróbel, J.; Kula, P. Ultrafast electrical switching of nanostructured metadevice with dual-frequency liquid crystal. Sci. Rep. 2019, 9, 20367. [Google Scholar] [CrossRef]
- Gupta, S.; Budaszewski, D.; Singh, D. Ferroelectric liquid crystals: Futuristic mesogens for photonic applications. Eur. Phys. J. Spec. Top. 2022, 231, 673–694. [Google Scholar] [CrossRef]
- Jeon, B.; Choi, T.; Do, S.; Woo, J.; Yoon, T. Effects of curing temperature on switching between transparent and translucent states in a polymer-stabilized liquid-crystal cell. IEEE Trans. Electron Devices 2018, 65, 4387–4393. [Google Scholar] [CrossRef]
- Uchida, E.; Ishinabe, T.; Fujikake, H. Local dimming light-guiding plate type backlight system using alignment-controlled polymer-dispersed liquid crystals. J. Soc. Inf. Disp. 2017, 25, 258–265. [Google Scholar] [CrossRef]
- Srivastava, A.K.; Chigrinov, V.G.; Kwok, H.S. Ferroelectric liquid crystals: Excellent tool for modern displays and photonics. J. Soc. Inf. Disp. 2015, 23, 253–272. [Google Scholar] [CrossRef]
- Sun, J.; Wu, S.-T. Recent advances in polymer network liquid crystal spatial light modulators. J. Polym. Sci. Pol. Phys. 2013, 52, 183–192. [Google Scholar] [CrossRef]
- Siemianowski, S.; Bremer, M.; Plummer, E.; Fiebranz, B.; Klasen-Memmer, M.; Canisius, J. Liquid crystal technologies towards realising a field sequential colour (FSC) display. SID Int. Symp. Dig. Tech. Pap. 2016, 47, 175–178. [Google Scholar] [CrossRef]
- Chen, H.; Gou, F.; Wu, S.T. Submillisecond-response nematic liquid crystals for augmented reality displays. Opt. Mater. Express 2017, 7, 195–201. [Google Scholar] [CrossRef]
- Huang, Y.; He, Z.; Wu, S.T. Fast-response liquid crystal phase modulators for augmented reality displays. Opt. Express 2017, 25, 32757–32766. [Google Scholar] [CrossRef]
- Chen, R.; Huang, Y.; Li, J.; Hu, M.; Li, J.; Chen, X.; Chen, P.; Wu, S.T.; An, Z. High-frame-rate liquid crystal phase modulator for augmented reality displays. Liq. Cryst. 2019, 46, 309–315. [Google Scholar] [CrossRef]
- Kowerdziej, R.; Olifierczuk, M.; Parka, J. Thermally induced tunability of a terahertz metamaterial by using a specially designed nematic liquid crystal mixture. Opt. Express 2018, 26, 2443–2452. [Google Scholar] [CrossRef]
- Dąbrowski, R.; Kula, P.; Herman, J. High birefringence liquid crystals. Crystals 2013, 3, 443–482. [Google Scholar] [CrossRef]
- Gauza, S.; Wang, H.; Wen, C.-H.; Wu, S.-T.; Seed, A.J.; Dąbrowski, R. High birefringence isothiocyanato tolane liquid crystals. Jpn. J. Appl. Phys. 2003, 42, 3463–3466. [Google Scholar] [CrossRef]
- Arakawa, Y.; Kang, S.; Tsuji, H.; Watanabe, J.; Konishi, G. Development of novel bistolane-based liquid crystalline molecules with an alkylsulfanyl group for highly birefringent materials. RSC Adv. 2016, 6, 16568–16574. [Google Scholar] [CrossRef]
- Kirsch, P. Fluorine in liquid crystal design for display applications. J. Fluor. Chem. 2015, 177, 29–36. [Google Scholar] [CrossRef]
- Tang, J.; Yao, C.; An, Z.; Chen, R.; Mao, Z.; Chen, X.; Chen, P. Balance the trade-offs between high birefringence, large dielectric anisotropy and low viscosity in nematic liquid crystals through molecular splicing strategy. Liq. Cryst. 2023, 1–9. [Google Scholar] [CrossRef]
- Chen, T.; Liu, M.; Ouyang, H.; Guan, J.; Zhang, Z.; Wang, X. Study on dielectrics and low-temperature viscosity performance of high-frequency difluorovinyl liquid crystals. Proc. SCIE 2019, 10841, 97–105. [Google Scholar]
- Scherger, B.; Reuter, M.; Scheller, M.; Altmann, K.; Vieweg, N.; Dąbrowski, R.; Deibel, J.; Koch, M. Discrete terahertz beam steering with an electrically controlled liquid crystal device. J. Infrared Millim. Terahertz Waves 2012, 33, 1117–1122. [Google Scholar] [CrossRef]
- Urruchi, V.; Marcos, C.; Torrecilla, J.; Sánchez-Pena, J.M.; Garbat, K. Note: Tunable notch filter based on liquid crystal technology for microwave applications. Rev. Sci. Instrum. 2013, 84, 026102. [Google Scholar] [CrossRef] [PubMed]
- Beeckman, J. Liquid-crystal photonic applications. Opt. Eng. 2011, 50, 081202. [Google Scholar] [CrossRef]
- Wu, S.T.; Efron, U.; Hess, L.D. Birefringence measurements of liquid crystals. Appl. Opt. 1984, 23, 3911–3915. [Google Scholar] [CrossRef]
- Wu, S.T.; Wu, C.S. Experimental confirmation of the Osipov-Terentjev theory on the viscosity of nematic liquid crystals. Phys. Rev. A 1990, 42, 2219–2227. [Google Scholar] [CrossRef]
- Haller, I. Thermodynamic and static properties of liquid crystals. Prog. Solid State Chem. 1975, 10, 103–118. [Google Scholar] [CrossRef]
- Wu, S.T. Birefringence dispersions of liquid crystals. Phys. Rev. A Gen. Phys. 1986, 33, 1270–1274. [Google Scholar] [CrossRef] [PubMed]
- Wu, S.T. Design of a liquid crystal based tunable electrooptic filter. Appl. Opt. 1989, 28, 48. [Google Scholar] [CrossRef] [PubMed]
- Wu, S.T.; Lackner, A.M.; Efron, U. Optimal operation temperature of liquid crystal modulators. Appl. Opt. 1987, 26, 3441–3445. [Google Scholar] [CrossRef]
- Chen, H.; Hu, M.; Peng, F.; Li, J.; An, Z.; Wu, S.T. Ultra-low viscosity liquid crystal materials. Opt. Mater. Express 2015, 5, 655–660. [Google Scholar] [CrossRef]
- Blinov, L.M.; Chigrinov, V.G.; Patel, J.S. Electro-Optic effects in liquid crystal materials. Phys. Today 1995, 48, 85–87. [Google Scholar] [CrossRef]
- Zou, J.; Yang, Z.; Mao, C.; Wu, S.-T. Fast-Response liquid crystals for 6G optical communications. Crystals 2021, 11, 797. [Google Scholar] [CrossRef]
- Tang, J.; Mao, Z.; An, Z.; Chen, R.; Chen, X.; Chen, P. Difluorovinyl liquid crystal diluters improve the electro-optical properties of high-∆n liquid crystal mixture for AR displays. Molecules 2023, 28, 2458. [Google Scholar] [CrossRef]
- Zou, J.; Yang, Q.; Hsiang, E.-L.; Ooishi, H.; Yang, Z.; Yoshidaya, K.; Wu, S.T. Fast-response liquid crystal for spatial light modulator and LiDAR applications. Crystals 2021, 11, 93. [Google Scholar] [CrossRef]






| Compounds | 3PTGVF | 3GTPVF | 3OGTPVF | 3GTGVF |
|---|---|---|---|---|
| Structures | ![]() | ![]() | ![]() | ![]() |
| Percentage | 25% | 25% | 25% | 25% |
| Tm (°C) | 43.46 | 33.67 | 55.39 | 19.23 |
| Tc (°C) | no data | 61.84 | 103.51 | 28.29 |
| Δn | 0.284 | 0.285 | 0.320 | 0.243 |
| Δε | 10.35 | 7.76 | 9.75 | 13.16 |
| LC Mixtures | ∆n (λ = 633 nm) | ∆n0 | β | G (µm−2) | λ* (µm) | |||
|---|---|---|---|---|---|---|---|---|
| 25 °C | 40 °C | 25 °C | 40 °C | 25 °C | 40 °C | |||
| SNUP01 | 0.275 | 0.253 | 0.387 | 0.146 | 2.87 | 2.69 | 0.277 | 0.275 |
| P02 | 0.182 | 0.158 | 0.297 | 0.228 | 2.15 | 2.24 | 0.262 | 0.244 |
| P03 | 0.217 | 0.188 | 0.331 | 0.191 | 2.70 | 1.84 | 0.258 | 0.287 |
| LC Mixture | γ1/K11 (ms/µm2) | A | Ea (meV) |
|---|---|---|---|
| SNUP01 | 5.93 | 4.17 × 10−4 | 238.78 |
| P02 | 31.33 | 5.62 × 10−6 | 388.62 |
| P03 | 15.94 | 1.29 × 10−5 | 350.14 |
| Parameters | SNUP01 | P02 | P03 | P04 |
|---|---|---|---|---|
| ∆n | 0.275 | 0.182 | 0.217 | 0.262 |
| Δε | 5.29 | 11.37 | 10.77 | 7.41 |
| γ1/K11 (ms/µm2) | 5.93 | 31.33 | 15.94 | 16.09 |
| Ea (meV) | 238.78 | 388.62 | 350.14 | 268.30 |
| FoM (μm2/s) | 12.77 | 1.06 | 2.95 | 4.27 |
| LC Mixture | d (µm) | Vth (V) | V2π (V) | τon (ms) | τoff (ms) | τtotal (ms) Transmissive | τtotal (ms) Reflective |
|---|---|---|---|---|---|---|---|
| SNUP01 | 5.18 | 1.30 | 2.05 | 35.00 | 15.00 | 50.00 | 12.50 |
| 2.66 | 1.30 | 5.00 | 0.99 | 3.94 | 4.93 | 1.23 | |
| P02 | 5.18 | 0.69 | 1.90 | 36.05 | 64.00 | 100.05 | 25.01 |
| 4.13 | 0.69 | 5.00 | 2.92 | 40.63 | 43.55 | 10.89 | |
| P03 | 5.18 | 0.88 | 2.10 | 31.56 | 43.06 | 74.62 | 18.66 |
| 3.52 | 0.88 | 5.00 | 2.09 | 19.93 | 22.02 | 5.51 | |
| P04 | 5.18 | 1.13 | 2.20 | 56.14 | 44.22 | 100.36 | 25.09 |
| 2.93 | 1.13 | 5.00 | 2.69 | 14.11 | 16.80 | 4.20 |
Disclaimer/Publisher’s Note: The statements, opinions and data contained in all publications are solely those of the individual author(s) and contributor(s) and not of MDPI and/or the editor(s). MDPI and/or the editor(s) disclaim responsibility for any injury to people or property resulting from any ideas, methods, instructions or products referred to in the content. |
© 2023 by the authors. Licensee MDPI, Basel, Switzerland. This article is an open access article distributed under the terms and conditions of the Creative Commons Attribution (CC BY) license (https://creativecommons.org/licenses/by/4.0/).
Share and Cite
Tang, J.; Chen, R.; An, Z.; Chen, X.; Chen, P. Millisecond-Response Nematic Liquid Crystal for Augmented Reality Displays. Photonics 2023, 10, 1062. https://doi.org/10.3390/photonics10091062
Tang J, Chen R, An Z, Chen X, Chen P. Millisecond-Response Nematic Liquid Crystal for Augmented Reality Displays. Photonics. 2023; 10(9):1062. https://doi.org/10.3390/photonics10091062
Chicago/Turabian StyleTang, Jiaxing, Ran Chen, Zhongwei An, Xinbing Chen, and Pei Chen. 2023. "Millisecond-Response Nematic Liquid Crystal for Augmented Reality Displays" Photonics 10, no. 9: 1062. https://doi.org/10.3390/photonics10091062
APA StyleTang, J., Chen, R., An, Z., Chen, X., & Chen, P. (2023). Millisecond-Response Nematic Liquid Crystal for Augmented Reality Displays. Photonics, 10(9), 1062. https://doi.org/10.3390/photonics10091062




