Wavelength-Tunable Single-Longitudinal-Mode Narrow-Linewidth Thulium/Holmium Co-Doped Fiber Laser with Phase-Shifted Fiber Bragg Grating and Dual-Coupler-Ring Filter
Abstract
1. Introduction
2. Experimental Setup and Principle
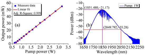
3. Experimental Results and Discussion
4. Conclusions
Author Contributions
Funding
Institutional Review Board Statement
Informed Consent Statement
Data Availability Statement
Conflicts of Interest
References
- Taczak, T.M.; Killinger, D.K. Development of a tunable, narrow-linewidth, cw 2.066-μm Ho: YLF laser for remote sensing of atmospheric CO2 and H2O. Appl. Opt. 1998, 37, 8460–8476. [Google Scholar] [CrossRef]
- McComb, T.S.; Sims, R.A.; Willis, C.C.C.; Kadwani, P.; Sudesh, V.; Shah, L.; Richardson, M. High-power widely tunable thulium fiber lasers. Appl. Opt. 2010, 49, 6236–6242. [Google Scholar] [CrossRef]
- Jihong, G.; Qing, W.; Yinwen, L.; Shibin, J. Development of eye-safe fiber lasers near 2 μm. IEEE J. Sel. Top. Quantum Electron. 2014, 20, 150–160. [Google Scholar] [CrossRef]
- Tendean, M.; Mambu, T.D.B.; Tjandra, F.; Panelewen, J. The use of thulium-doped fiber laser (TDFL) 1940 nm as an energy device in liver parenchyma resection, a-pilot-study in Indonesia. Ann. Med. Surg. 2020, 60, 491–497. [Google Scholar] [CrossRef]
- Janeczek, M.; Rybak, Z.; Lipińska, A.; Bujok, J.; Czerski, A.; Szymonowicz, M.; Dobrzyński, M.; Swiderski, J.; Żywicka, B. Local effects of a 1940 nm thulium-doped fiber laser and a 1470 nm diode laser on the pulmonary parenchyma: An experimental study in a pig model. Materials 2021, 14, 5457. [Google Scholar] [CrossRef]
- Fried, N.M. Thulium fiber laser lithotripsy: An in vitro analysis of stone fragmentation using a modulated 110-watt thulium fiber laser at 1.94 μm. Lasers Surg. Med. 2005, 37, 53–58. [Google Scholar] [CrossRef]
- Cariou, J.-P.; Augere, B.; Valla, M. Laser source requirements for coherent lidars based on fiber technology. Comptes Rendus Phys. 2006, 7, 213–223. [Google Scholar] [CrossRef]
- Koch, G.; Beyon, J.; Barnes, B.; Petros, M.; Yu, J.; Amzajerdian, F.; Kavaya, M.; Singh, U. High-energy 2 μm Doppler lidar for wind measurements. Opt. Eng. 2007, 46, 116201. [Google Scholar] [CrossRef]
- Tao, M.; Tao, B.; Hu, Z.; Feng, G.; Ye, X.; Zhao, J. Development of a 2 μm Tm-doped fiber laser for hyperspectral absorption spectroscopy applications. Opt. Express 2017, 25, 32386–32394. [Google Scholar] [CrossRef]
- Lahyani, J.; Le Gouet, J.; Gibert, F.; Cezard, N. 2.05-μm all-fiber laser source designed for CO2 and wind coherent lidar measurement. Appl. Opt. 2021, 60, C12–C19. [Google Scholar] [CrossRef]
- Walasik, W.; Traore, D.; Amavigan, A.; Tench, R.E.; Delavaux, J.-M.; Pinsard, E. 2-μm narrow linewidth all-fiber DFB fiber Bragg grating lasers for Ho- and Tm-doped fiber-amplifier applications. J. Light. Technol. 2021, 39, 5096–5102. [Google Scholar] [CrossRef]
- Guan, X.; Yang, C.; Gu, Q.; Wang, W.; Tan, T.; Zhao, Q.; Lin, W.; Wei, X.; Yang, Z.; Xu, S. 55 W kilohertz-linewidth core- and in-band-pumped linearly polarized single-frequency fiber laser at 1950 nm. Opt. Lett. 2020, 45, 2343–2346. [Google Scholar] [CrossRef] [PubMed]
- Fang, S.; Zhang, Z.; Yang, C.; Lin, W.; Cen, X.; Zhao, Q.; Feng, Z.; Yang, Z.; Xu, S. Gain-switched single-frequency DBR pulsed fiber laser at 2.0 μm. IEEE Photonics Technol. Lett. 2022, 34, 255–258. [Google Scholar] [CrossRef]
- Khamis, M.A.; Ennser, K. Enhancement on the generation of amplified spontaneous emission in thulium-doped silica fiber at 2 μm. Opt. Commun. 2017, 403, 127–132. [Google Scholar] [CrossRef]
- Miluski, P.; Kochanowicz, M.; Żmojda, J.; Dorosz, D.; Łodziński, M.; Baranowska, A.; Dorosz, J. Eye safe emission in Tm3+/Ho3+ and Yb3+/Tm3+ co-doped optical fibers fabricated using MCVD-CDS system. Opt. Mater. 2020, 101, 109711. [Google Scholar] [CrossRef]
- Zhou, D.; Bai, X.; Zhou, H. Preparation of Ho3+/Tm3+ co-doped lanthanum tungsten germanium tellurite glass fiber and its laser performance for 2.0 μm. Light-Sci. Appl. 2017, 7, 44747. [Google Scholar] [CrossRef]
- Shi, C.; Fu, S.; Shi, G.; Sun, S.; Sheng, Q.; Shi, W.; Yao, J. All-fiberized single-frequency silica fiber laser operating above 2 μm based on SMS fiber devices. Optik 2019, 187, 291–296. [Google Scholar] [CrossRef]
- Guo, Y.; Yan, F.; Feng, T.; Qin, Q.; Zhang, L.; Guan, B.; Han, W.; Bai, Z.; Zhou, H.; Suo, Y. Stable multi-wavelength thulium-doped fiber laser with two cascaded single-mode-four-mode-single-mode fiber interferometers. IEEE Access 2021, 9, 1197–1204. [Google Scholar] [CrossRef]
- Soltanian, M.R.; Ahmad, H.; Khodaie, A.; Amiri, I.S.; Ismail, M.F.; Harun, S.W. A stable dual-wavelength thulium-doped fiber laser at 1.9 μm using photonic crystal fiber. Light-Sci. Appl. 2015, 5, 14537. [Google Scholar] [CrossRef]
- Zhang, K.; Peter, Y.-A.; Rochette, M. Chalcogenide Fabry–Perot fiber tunable filter. IEEE Photonics Technol. Lett. 2018, 30, 2013–2016. [Google Scholar] [CrossRef]
- Camarillo-Aviles, A.; Jauregui-Vazquez, D.; Estudillo-Ayala, J.M.; Hernandez-Escobar, E.; Sierra-Hernandez, J.M.; Pottiez, O.; Duran-Sanchez, M.; Ibarra-Escamilla, B.; Bello-Jimenez, M. Stable multi-wavelength thulium-doped all-fiber laser incorporating a multi-cavity Fabry–Perot filter. IEEE Photonics J. 2019, 11, 7105307. [Google Scholar] [CrossRef]
- Guo, Y.; Yan, F.; Feng, T.; Qin, Q.; Han, W.; Cheng, D.; Yu, C.; Yang, D.; Zhou, H.; Suo, Y. Wavelength-switchable single-longitudinal-mode thulium-doped fiber laser at 2.05 µm using a superimposed fiber Bragg grating. Infrared Phys. Technol. 2022, 122, 104058. [Google Scholar] [CrossRef]
- Yan, F.; Peng, W.; Liu, S.; Feng, T.; Dong, Z.; Chang, G.-K. Dual-wavelength single-longitudinal-mode Tm-doped fiber laser using PM-CMFBG. IEEE Photonics Technol. Lett. 2015, 27, 951–954. [Google Scholar] [CrossRef]
- Wang, L.; Shen, Z.; Feng, X.; Li, F.; Cao, Y.; Wang, X.; Guan, B.-O. Tunable single-longitudinal-mode fiber laser based on a chirped fiber Bragg grating. Opt. Laser Technol. 2020, 121, 105775. [Google Scholar] [CrossRef]
- Zhang, L.; Yan, F.; Feng, T.; Guo, Y.; Qin, Q.; Zhou, H.; Suo, Y. Switchable multi-wavelength thulium-doped fiber laser employing a polarization-maintaining sampled fiber Bragg grating. IEEE Access 2019, 7, 155437–155445. [Google Scholar] [CrossRef]
- Zhang, L.; Yan, F.; Feng, T.; Han, W.; Guan, B.; Qin, Q.; Guo, Y.; Wang, W.; Bai, Z.; Zhou, H.; et al. Six-wavelength-switchable narrow-linewidth thulium-doped fiber laser with polarization-maintaining sampled fiber Bragg grating. Opt. Laser Technol. 2021, 136, 106788. [Google Scholar] [CrossRef]
- Qin, Q.; Yan, F.; Liu, Y.; Cui, Z.; Dan, C.; Yu, C.; Jiang, Y.; Suo, Y.; Zhou, H.; Feng, T. Twelve-wavelength-switchable thulium-doped fiber laser with a multimode fiber Bragg grating. IEEE Photonics J. 2021, 13, 7100710. [Google Scholar] [CrossRef]
- Li, Q.; Yan, F.P.; Peng, W.J.; Yin, G.L.; Feng, T.; Tan, S.Y.; Liu, S. A single frequency, linear cavity Tm-doped fiber laser based on phase-shifted FBG filter. Opt. Laser Technol. 2014, 56, 304–306. [Google Scholar] [CrossRef]
- Yang, D.; Yan, F.; Feng, T.; Qin, Q.; Li, T.; Yu, C.; Wang, X.; Jiang, Y.; Kumamoto, K.; Suo, Y. Stable narrow-linewidth single-longitudinal-mode thulium-doped fiber laser by exploiting double-coupler-based double-ring filter. Infrared Phys. Technol. 2023, 129, 104568. [Google Scholar] [CrossRef]
- Feng, T.; Wei, D.; Bi, W.; Sun, W.; Wu, S.; Jiang, M.; Yan, F.; Suo, Y.; Yao, X.S. Wavelength-switchable ultra-narrow linewidth fiber laser enabled by a figure-8 compound-ring-cavity filter and a polarization-managed four-channel filter. Opt. Express 2021, 29, 31179–31200. [Google Scholar] [CrossRef] [PubMed]
- Zhang, L.; Zhang, J.; Sheng, Q.; Shi, C.; Shi, W.; Yao, J. Watt-level 1.7-μm single-frequency thulium-doped fiber oscillator. Opt. Express 2021, 29, 27048–27056. [Google Scholar] [CrossRef] [PubMed]
- Cheng, D.; Yan, F.; Feng, T.; Han, W.; Zhang, L.; Qin, Q.; Li, T.; Bai, Z.; Yang, D.; Guo, Y.; et al. Five-wavelength-switchable single-longitudinal-mode thulium-doped fiber laser based on a passive cascaded triple-ring cavity filter. IEEE Photonics J. 2022, 14, 1503608. [Google Scholar] [CrossRef]
- Feng, T.; Su, J.; Wei, D.; Li, D.; Li, C.; Yan, F.; Steve Yao, X. Effective linewidth compression of a single-longitudinal-mode fiber laser with randomly distributed high scattering centers in the fiber induced by femtosecond laser pulses. Opt. Express 2023, 31, 4238–4252. [Google Scholar] [CrossRef]
- Zhang, J.; Sheng, Q.; Zhang, L.; Shi, C.; Sun, S.; Bai, X.; Shi, W.; Yao, J. Single-frequency 1.7-μm Tm-doped fiber laser with optical bistability of both power and longitudinal mode behavior. Opt. Express 2021, 29, 21409–21417. [Google Scholar] [CrossRef]
- Jiang, K.; Yang, C.; Zhao, Q.; Gu, Q.; Li, J.; Jiang, W.; Deng, C.; Peng, Y.; Zhou, K.; Feng, Z.; et al. Widely tunable sub-kHz linewidth Tm3+-doped single-frequency fiber laser. Appl. Phys. Express 2022, 15, 112001. [Google Scholar] [CrossRef]
- Zhang, L.; Sheng, Q.; Chen, L.; Zhang, J.; Fu, S.; Fang, Q.; Wang, Y.; Shi, W.; Yao, J. Single-frequency Tm-doped fiber laser with 215 mW at 2.05 μm based on a Tm/Ho-codoped fiber saturable absorber. Opt. Lett. 2022, 47, 3964–3967. [Google Scholar] [CrossRef]
- Erdogan, T. Fiber grating spectra. J. Light. Technol. 1997, 15, 1277–1294. [Google Scholar] [CrossRef]
- Lv, B.; Zhang, W.; Huang, W.; Li, F. Low frequency-noise ring random fiber laser with a dual-cavity FBG Fabry-Perot filter. J. Light. Technol. 2022, 40, 5286–5293. [Google Scholar] [CrossRef]
- Wei, D.; Feng, T.; Sun, W.; Yan, F.; Yao, X.S. Widely wavelength-swept single-longitudinal-mode fiber laser with ultra-narrow linewidth in C+L-band. IEEE Photonics J. 2022, 14, 7134810. [Google Scholar] [CrossRef]
- Bai, Z.; Zhao, Z.; Qi, Y.; Ding, J.; Li, S.; Yan, X.; Wang, Y.; Lu, Z. Narrow-linewidth laser linewidth measurement technology. Front. Phys. 2021, 9, 768165. [Google Scholar] [CrossRef]
- Luo, Y.; Tang, Y.; Yang, J.; Wang, Y.; Wang, S.; Tao, K.; Zhan, L.; Xu, J. High signal-to-noise ratio, single-frequency 2 μm Brillouin fiber laser. Opt. Lett. 2014, 39, 2626–2628. [Google Scholar] [CrossRef] [PubMed]
- Yin, T.; Mao, B.M.; Wei, Y.; Chen, D. Widely wavelength-tunable 2 μm Brillouin fiber laser incorporating a highly germania-doped fiber. Appl. Opt. 2018, 57, 6831–6834. [Google Scholar] [CrossRef] [PubMed]
- Debut, A.; Zemmouri, J.; Randoux, S. Linewidth narrowing in Brillouin lasers: Theoretical analysis. Phys. Rev. A 2000, 62, 023803. [Google Scholar] [CrossRef]
- Cowle, G.J.; Morkel, P.R.; Laming, R.I.; Payne, D.N. Spectral broadening due to fibre amplifier phase noise. Electron. Lett. 1990, 26, 424–425. [Google Scholar] [CrossRef]















Disclaimer/Publisher’s Note: The statements, opinions and data contained in all publications are solely those of the individual author(s) and contributor(s) and not of MDPI and/or the editor(s). MDPI and/or the editor(s) disclaim responsibility for any injury to people or property resulting from any ideas, methods, instructions or products referred to in the content. |
© 2023 by the authors. Licensee MDPI, Basel, Switzerland. This article is an open access article distributed under the terms and conditions of the Creative Commons Attribution (CC BY) license (https://creativecommons.org/licenses/by/4.0/).
Share and Cite
Li, D.; Feng, T.; Guo, S.; Wu, S.; Yan, F.; Li, Q.; Yao, X.S. Wavelength-Tunable Single-Longitudinal-Mode Narrow-Linewidth Thulium/Holmium Co-Doped Fiber Laser with Phase-Shifted Fiber Bragg Grating and Dual-Coupler-Ring Filter. Photonics 2023, 10, 693. https://doi.org/10.3390/photonics10060693
Li D, Feng T, Guo S, Wu S, Yan F, Li Q, Yao XS. Wavelength-Tunable Single-Longitudinal-Mode Narrow-Linewidth Thulium/Holmium Co-Doped Fiber Laser with Phase-Shifted Fiber Bragg Grating and Dual-Coupler-Ring Filter. Photonics. 2023; 10(6):693. https://doi.org/10.3390/photonics10060693
Chicago/Turabian StyleLi, Dongyuan, Ting Feng, Shaoheng Guo, Shengbao Wu, Fengping Yan, Qi Li, and Xiaotian Steve Yao. 2023. "Wavelength-Tunable Single-Longitudinal-Mode Narrow-Linewidth Thulium/Holmium Co-Doped Fiber Laser with Phase-Shifted Fiber Bragg Grating and Dual-Coupler-Ring Filter" Photonics 10, no. 6: 693. https://doi.org/10.3390/photonics10060693
APA StyleLi, D., Feng, T., Guo, S., Wu, S., Yan, F., Li, Q., & Yao, X. S. (2023). Wavelength-Tunable Single-Longitudinal-Mode Narrow-Linewidth Thulium/Holmium Co-Doped Fiber Laser with Phase-Shifted Fiber Bragg Grating and Dual-Coupler-Ring Filter. Photonics, 10(6), 693. https://doi.org/10.3390/photonics10060693

