Broad Tunable and High-Purity Photonic Microwave Generation Based on an Optically Pumped QD Spin-VCSEL with Optical Feedback
Abstract
1. Introduction
2. Theoretical Model
3. Results and Discussion
3.1. P1 Oscillation in a Solitary Optically Pumped QD Spin-VCSEL
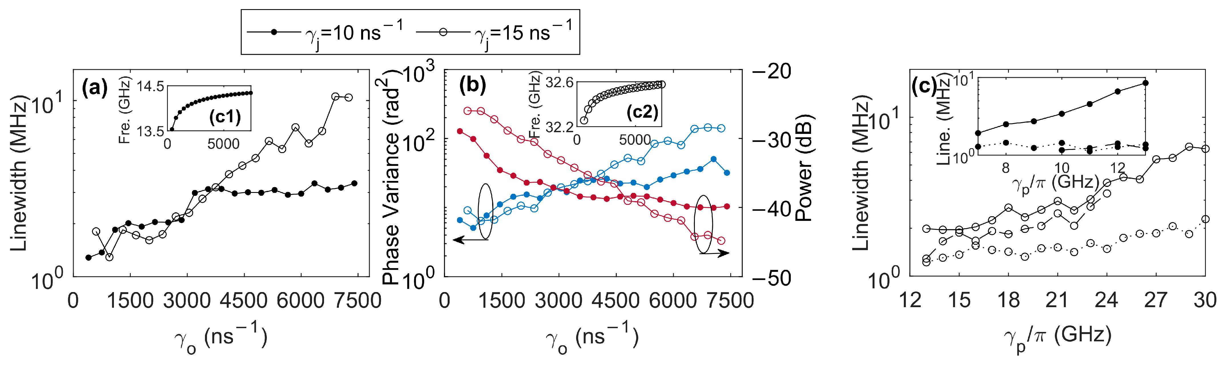
3.2. The Effect of Intrinsic Parameters on the Microwave Characteristics
3.3. P1 Oscillation in the Optically Pumped QD Spin-VCSEL with Optical Feedback
4. Conclusions
Author Contributions
Funding
Institutional Review Board Statement
Informed Consent Statement
Data Availability Statement
Conflicts of Interest
References
- Yao, J. Microwave Photonics. J. Light. Technol. 2009, 27, 314–335. [Google Scholar] [CrossRef]
- Marpaung, D.; Yao, J.; Capmany, J. Integrated microwave photonics. Nat. Photonics 2019, 13, 80–90. [Google Scholar] [CrossRef]
- Qi, X.-Q.; Liu, J.-M. Photonic Microwave Applications of the Dynamics of Semiconductor Lasers. IEEE J. Sel. Top. Quantum Electron. 2011, 17, 1198–1211. [Google Scholar] [CrossRef]
- Chan, S.C.; Liu, J.M. Tunable Narrow-Linewidth Photonic Microwave Generation Using Semiconductor Laser Dynamics. IEEE J. Sel. Top. Quantum Electron. 2004, 10, 1025–1032. [Google Scholar] [CrossRef]
- Hwang, S.K.; Liu, J.M.; White, J.K. 35-GHz intrinsic bandwidth for direct modulation in 1.3-/spl mu/m semiconductor lasers subject to strong injection locking. IEEE Photonics Technol. Lett. 2004, 16, 972–974. [Google Scholar] [CrossRef]
- Kjebon, O.; Schatz, R.; Lourdudoss, S.; Nilsson, S.; Stalnacke, B.; Backbom, L. 30GHz direct modulation bandwidth in detuned loaded InGaAsP DBR lasers at 1.55 mu m wavelength. Electron. Lett. 1997, 33, 488–489. [Google Scholar] [CrossRef]
- Bortnik, B.; Hung, Y.C.; Tazawa, H.; Seo, B.J.; Luo, J.; Jen, A.K.Y.; Steier, W.H.; Fetterman, H.R. Electrooptic Polymer Ring Resonator Modulation up to 165 GHz. IEEE J. Sel. Top. Quantum Electron. 2007, 13, 104–110. [Google Scholar] [CrossRef]
- Fan, L.; Xia, G.; Chen, J.; Tang, X.; Liang, Q.; Wu, Z. High-purity 60GHz band millimeter-wave generation based on optically injected semiconductor laser under subharmonic microwave modulation. Opt. Express 2016, 24, 18252–18265. [Google Scholar] [CrossRef]
- Maleki, L. The optoelectronic oscillator. Nat. Photonics 2011, 5, 728–730. [Google Scholar] [CrossRef]
- Yao, X.S.; Maleki, L. Multiloop optoelectronic oscillator. IEEE J. Quantum Electron. 2000, 36, 79–84. [Google Scholar] [CrossRef]
- Pan, S.; Yao, J. Wideband and frequency-tunable microwave generation using an optoelectronic oscillator incorporating a Fabry-Perot laser diode with external optical injection. Opt. Lett. 2010, 35, 1911–1913. [Google Scholar] [CrossRef]
- Pan, B.; Lu, D.; Sun, Y.; Yu, L.; Zhang, L.; Zhao, L. Tunable optical microwave generation using self-injection locked monolithic dual-wavelength amplified feedback laser. Opt. Lett. 2014, 39, 6395–6398. [Google Scholar] [CrossRef] [PubMed]
- Chan, S.-C.; Hwang, S.-K.; Liu, J.-M. Period-one oscillation for photonic microwave transmission using an optically injected semiconductor laser. Opt. Express 2007, 15, 14921–14935. [Google Scholar] [CrossRef] [PubMed]
- Cui, C.; Chan, S.-C. Performance analysis on using period-one oscillation of optically injected semiconductor lasers for radio-over-fiber uplinks. IEEE J. Quantum Electron. 2012, 48, 490–499. [Google Scholar] [CrossRef]
- Lin, L.C.; Liu, S.H.; Lin, F.Y. Stability of period-one (P1) oscillations generated by semiconductor lasers subject to optical injection or optical feedback. Opt. Express 2017, 25, 25523–25532. [Google Scholar] [CrossRef]
- Li, S.S.; Zou, X.; Wang, L.; Wang, A.; Pan, W.; Yan, L. Stable period-one oscillations in a semiconductor laser under optical feedback from a narrowband fiber Bragg grating. Opt. Express 2020, 28, 21286–21299. [Google Scholar] [CrossRef] [PubMed]
- Hung, Y.-H.; Hwang, S.-K. Photonic microwave stabilization for period-one nonlinear dynamics of semiconductor lasers using optical modulation sideband injection locking. Opt. Express 2015, 23, 6520–6532. [Google Scholar] [CrossRef] [PubMed]
- Ji, S.; Hong, Y.; Spencer, P.S.; Benedikt, J.; Davies, I. Broad tunable photonic microwave generation based on period-one dynamics of optical injection vertical-cavity surface-emitting lasers. Opt. Express 2017, 25, 19863–19871. [Google Scholar] [CrossRef]
- Tseng, C.H.; Hwang, S.K. Broadband chaotic microwave generation through destabilization of period-one nonlinear dynamics in semiconductor lasers for radar applications. Opt. Lett. 2020, 45, 3777–3780. [Google Scholar] [CrossRef]
- Tseng, C.-H.; Liao, B.-K.; Hwang, S.-K. All-optical, tunable, V- and W-band microwave generation using semiconductor lasers at period-one nonlinear dynamics with asymmetric mutual injection stabilization. Opt. Lett. 2022, 47, 4648–4651. [Google Scholar] [CrossRef]
- Lo, K.-H.; Hwang, S.-K.; Donati, S. Numerical study of ultrashort-optical-feedback-enhanced photonic microwave generation using optically injected semiconductor lasers at period-one nonlinear dynamics. Opt. Express 2017, 25, 31595–31611. [Google Scholar] [CrossRef] [PubMed]
- Zhuang, J.P.; Chan, S.C. Phase noise characteristics of microwave signals generated by semiconductor laser dynamics. Opt. Express 2015, 23, 2777–2797. [Google Scholar] [CrossRef] [PubMed]
- Carpintero, G.; Balakier, K.; Yang, Z.; Guzmán, R.C.; Corradi, A.; Jimenez, A.; Kervella, G.; Fice, M.J.; Lamponi, M.; Chitoui, M.; et al. Microwave Photonic Integrated Circuits for Millimeter-Wave Wireless Communications. J. Light. Technol. 2014, 32, 3495–3501. [Google Scholar] [CrossRef]
- Zeb, K.; Lu, Z.; Liu, J.; Mao, Y.; Liu, G.; Poole, P.J.; Rahim, M.; Pakulski, G.; Barrios, P.; Vachon, M.; et al. Broadband Optical Heterodyne Millimeter-Wave-over-Fiber Wireless Links Based on a Quantum Dash Dual-Wavelength DFB Laser. J. Light. Technol. 2022, 40, 3698–3708. [Google Scholar] [CrossRef]
- Zhou, P.; Zhang, R.; Li, N.; Jiang, Z.; Pan, S. An RF-Source-Free Reconfigurable Microwave Photonic Radar With High-Resolution and Fast Detection Capability. J. Light. Technol. 2022, 40, 2862–2869. [Google Scholar] [CrossRef]
- Lo, K.H.; Hwang, S.K.; Donati, S. Optical feedback stabilization of photonic microwave generation using period-one nonlinear dynamics of semiconductor lasers. Opt. Express 2014, 22, 18648–18661. [Google Scholar] [CrossRef] [PubMed]
- Wang, C.; Raghunathan, R.; Schires, K.; Chan, S.-C.; Lester, L.F.; Grillot, F. Optically injected InAs/GaAs quantum dot laser for tunable photonic microwave generation. Opt. Lett. 2016, 41, 1153–1156. [Google Scholar] [CrossRef]
- Hurtado, A.; Raghunathan, R.; Henning, I.D.; Adams, M.J.; Lester, L.F. Simultaneous microwave- and millimeter-Wave mignal generation with a 1310-nm quantum-dot-distributed feedback laser. IEEE J. Sel. Top. Quantum Electron. 2015, 21, 568–574. [Google Scholar] [CrossRef]
- Ji, S.; Xue, C.; Valle, A.; Spencer, P.S.; Li, H.; Hong, Y. Stabilization of photonic microwave generation in vertical-cavity surface-emitting lasers with optical injection and feedback. J. Light. Technol. 2018, 36, 4347–4353. [Google Scholar] [CrossRef]
- Xue, C.; Chang, D.; Fan, Y.; Ji, S.; Zhang, Z.; Lin, H.; Spencer, P.S.; Hong, Y. Characteristics of microwave photonic signal generation using vertical-cavity surface-emitting lasers with optical injection and feedback. J. Opt. Soc. Am. B 2020, 37, 1394–1400. [Google Scholar] [CrossRef]
- Gerhardt, N.C.; Hofmann, M.R. Spin-Controlled Vertical-Cavity Surface-Emitting Lasers. Adv. Opt. Technol. 2012, 2012, 268949 . [Google Scholar] [CrossRef]
- Lindemann, M.; Xu, G.; Pusch, T.; Michalzik, R.; Hofmann, M.R.; Zutic, I.; Gerhardt, N.C. Ultrafast spin-lasers. Nature 2019, 568, 212–215. [Google Scholar] [CrossRef] [PubMed]
- Pusch, T.; Lindemann, M.; Gerhardt, N.C.; Hofmann, M.R.; Michalzik, R. Vertical-cavity surface-emitting lasers with birefringence splitting above 250 GHz. Electron. Lett. 2015, 51, 1600–1602. [Google Scholar] [CrossRef]
- Huang, Y.; Zhou, P.; Li, N. Broad tunable photonic microwave generation in an optically pumped spin-VCSEL with optical feedback stabilization. Opt. Lett. 2021, 46, 3147–3150. [Google Scholar] [CrossRef] [PubMed]
- Torre, M.S.; Susanto, H.; Li, N.; Schires, K.; Salvide, M.F.; Henning, I.D.; Adams, M.J.; Hurtado, A. High frequency continuous birefringence-induced oscillations in spin-polarized vertical-cavity surface-emitting lasers. Opt. Lett. 2017, 42, 1628–1631. [Google Scholar] [CrossRef]
- Alharthi, S.S. Broad tunable photonic microwave signal generation using optically-injected 1310 nm spin-VCSELs. Results Phys. 2022, 42, 106007. [Google Scholar] [CrossRef]
- Paranthoen, C.; Levallois, C.; Brevalle, G.; Perrin, M.; Le Corre, A.; Chevalier, N.; Turban, P.; Cornet, C.; Folliot, H.; Alouini, M. Low Threshold 1550-nm Emitting QD Optically Pumped VCSEL. IEEE Photonics Technol. Lett. 2021, 33, 69–72. [Google Scholar] [CrossRef]
- Alharthi, S.S.; Orchard, J.; Clarke, E.; Henning, I.D.; Adams, M.J. 1300 nm optically pumped quantum dot spin vertical external-cavity surface-emitting laser. Appl. Phys. Lett. 2015, 107, 151109. [Google Scholar] [CrossRef]
- Adams, M.J.; Alexandropoulos, D. Analysis of Quantum-Dot Spin-VCSELs. IEEE Photonics J. 2012, 4, 1124–1132. [Google Scholar] [CrossRef]
- Georgiou, P.; Tselios, C.; Mourkioti, G.; Skokos, C.; Alexandropoulos, D. Effect of excited state lasing on the chaotic dynamics of spin QD-VCSELs. Nonlinear Dyn. 2021, 106, 3637–3646. [Google Scholar] [CrossRef]
- Li, N.; Susanto, H.; Cemlyn, B.R.; Henning, I.D.; Adams, M.J. Mapping bifurcation structure and parameter dependence in quantum dot spin-VCSELs. Opt. Express 2018, 26, 14636–14649. [Google Scholar] [CrossRef] [PubMed]
- Qasaimeh, O. Effect of doping on the polarization characteristics of spin-injected quantum dot VCSEL. Opt. Quantum Electron. 2014, 47, 465–476. [Google Scholar] [CrossRef]
- Chen, C.-Y.; Cheng, C.-H.; Lin, F.-Y. Single-sideband photonic microwave generation with an optically injected quantum-dot semiconductor laser. Opt. Express 2016, 24, 30537–30546. [Google Scholar] [CrossRef] [PubMed]
- Jiang, Z.; Wu, Z.; Yang, W.; Hu, C.; Jin, Y.; Xiao, Z.; Xia, G. Numerical investigation on photonic microwave generation by a sole excited-state emitting quantum dot laser with optical injection and optical feedback. Chin. Phys. B 2021, 30, 050504. [Google Scholar] [CrossRef]
- Olejniczak, L.; Panajotov, K.; Thienpont, H.; Sciamanna, M. Self-pulsations and excitability in optically injected quantum-dot lasers: Impact of the excited states and spontaneous emission noise. Phys. Rev. A 2010, 82, 023807. [Google Scholar] [CrossRef]
- Alexandropoulos, D.; Al-Seyab, R.; Henning, I.; Adams, M. Instabilities in quantum-dot spin-VCSELs. Opt. Lett. 2012, 37, 1700–1702. [Google Scholar] [CrossRef]
- Homayounfar, A.; Adams, M.J. Analysis of SFM dynamics in solitary and optically-injected VCSELs. Opt. Express 2007, 15, 10504–10519. [Google Scholar] [CrossRef]









Disclaimer/Publisher’s Note: The statements, opinions and data contained in all publications are solely those of the individual author(s) and contributor(s) and not of MDPI and/or the editor(s). MDPI and/or the editor(s) disclaim responsibility for any injury to people or property resulting from any ideas, methods, instructions or products referred to in the content. |
© 2023 by the authors. Licensee MDPI, Basel, Switzerland. This article is an open access article distributed under the terms and conditions of the Creative Commons Attribution (CC BY) license (https://creativecommons.org/licenses/by/4.0/).
Share and Cite
Shen, Z.; Huang, Y.; Zhu, X.; Zhou, P.; Mu, P.; Li, N. Broad Tunable and High-Purity Photonic Microwave Generation Based on an Optically Pumped QD Spin-VCSEL with Optical Feedback. Photonics 2023, 10, 326. https://doi.org/10.3390/photonics10030326
Shen Z, Huang Y, Zhu X, Zhou P, Mu P, Li N. Broad Tunable and High-Purity Photonic Microwave Generation Based on an Optically Pumped QD Spin-VCSEL with Optical Feedback. Photonics. 2023; 10(3):326. https://doi.org/10.3390/photonics10030326
Chicago/Turabian StyleShen, Zhenye, Yu Huang, Xin Zhu, Pei Zhou, Penghua Mu, and Nianqiang Li. 2023. "Broad Tunable and High-Purity Photonic Microwave Generation Based on an Optically Pumped QD Spin-VCSEL with Optical Feedback" Photonics 10, no. 3: 326. https://doi.org/10.3390/photonics10030326
APA StyleShen, Z., Huang, Y., Zhu, X., Zhou, P., Mu, P., & Li, N. (2023). Broad Tunable and High-Purity Photonic Microwave Generation Based on an Optically Pumped QD Spin-VCSEL with Optical Feedback. Photonics, 10(3), 326. https://doi.org/10.3390/photonics10030326

