Abstract
The emergence of visible light communication technology has alleviated the pressure of wireless network communication and provided new ways for vehicle networking technology. Therefore, it is necessary to analyze the performance changes in visible light communication in vehicle networking communication. This article mainly considers the impact of vehicle speed on the quality of visible light communication technology services during the driving duration. Firstly, the impact of vehicle speed on signal-to-noise ratio changes was analyzed. Secondly, the channel states in different V2I/V2V scenarios were analyzed. Finally, the transformation in signal-to-noise ratio in V2I/V2V scenarios was analyzed through simulation.
1. Introduction
With the development of wired and wireless network technology, communication methods in daily life have greatly improved. In addition, with the development of 5G technology and the demand for the Internet for everything, the coverage of wireless networks and Wi-Fi networks is becoming unavoidably complicated, resulting in increasingly serious signal interference between wireless networks. Furthermore, due to the increasing number of people’s smart devices and the demand for the Internet for everything, the burden of wireless networks is increasing. Therefore, a new communication mode is needed to assist wireless networks in meeting their increasing communication needs [1].
In order to support the next generation of wireless communication systems, along with the emerging 5G network technology, visible light communication (VLC) technology has attracted the attention of researchers [2]. Due to the fact that VLC communicates through light-emitting diodes, which have many differences from radio frequency technology, the visible spectrum can provide most of the unlicensed and uncongested band, which provides satisfactory spectral efficiency. Also, it has the advantage of being low-cost and energy-efficient. In addition, VLC does not need to consider electromagnetic interference issues in wireless networks. And due to the spatial limitations of the beam, VLC can provide higher data rates and better security performance. Due to the fact that LEDs can achieve higher switching speeds than human eyes, they can realize data transmission to meet the communication requirement while guaranteeing light performance. In addition to the high throughput and high reliability brought by the above advantages, VLC also has a high directional and predictable channel, which means VLC communication technology does not rely on other technologies to accurately locate nearby users with high accuracy, greatly reducing interference sources. At the same time, the predictable channel also ensures communication security. Therefore, VLC is considered one of the greenest communication technologies and has enormous market potential and social demand due to its excellent performance.
However, due to the unique nature of visible light communication, VLC has obvious limitations. For example, the high directivity of VLC mentioned above means that an extremely clear line of sight is required during communication, which limits the use of VLC to open areas without obstacles. At the same time, if the light needs to be transmitted by directing or reflecting it, for example, if there is a wall or other object blocking, it will cause serious interference to the service performance of the VLC. Therefore, the transmission conditions of VLC technology are limited by the geographical location of users. In addition, because VLC is generally implemented by LED lights and directly deployed on household lighting equipment, there is only a downlink in VLC without a corresponding uplink transmission link. Therefore, VLC technology generally exists as an auxiliary communication technology. This is caused by the higher transmission rate and pollution-free transmission conditions of VLC downlink transmission, which enables VLC to provide auxiliary communication and satisfy people’s daily business requirements. Hence, more emphasis is placed on combining wireless networks with VLC to achieve nonstacked communication data transmission in indoor scenarios [3].
The indoor application of VLC technology has achieved certain results, and positive progress has been made by using optical fidelity technology as an auxiliary communication method to assist wireless network communication in data transmission [4]. In addition, researchers have also proposed applying VLC technology to vehicle networking technology. They focus on the channel modeling of VLC and study the channel characteristics of V2V/V2I to assist the wireless communication between vehicles and base stations and between vehicles. Reference [5] considered the probability of longitudinal and transverse spacing between vehicles in order to calculate the path loss between vehicles. In addition, it also considers the impact of different weather conditions on VLC communication transmission. Reference [6] maximized the signal-to-noise ratio of the receiver. Reference [7] combined VLC and visible light positioning to propose the problem of intelligent vehicles using lighting systems to achieve vehicle lighting and signal, reliable communication, and precise positioning. Reference [8] analyzed the received signal-to-noise ratio and achievable data rate of vehicles by using traffic lights as V2I communication’s base stations. Reference [9] analyzed the vehicle motion modeling and channel changes in different scenarios by measuring the results of different image sensors and pixel illumination modeling under V2I, I2V, and V2V conditions. Based on the results of the above researchers, it can be concluded that VLC has a wide range of application scenarios in the context of vehicle networking. It can not only alleviate the pressure of wireless network communication but also improve the communication ability between V2Vs, providing more powerful guarantees for the safe travel of vehicles.
This paper mainly studies the effect of vehicle behavior on VLC communication. First of all, we notice that in V2I links, the residence time of vehicles in the effective communication range is different due to different vehicle speeds, and insufficient residence time will have a great impact on the service quality of VLC. Secondly, different vehicle speeds are bound to change the safety distance between vehicles, so for V2V links, this change in safety distance will eventually be reflected in vehicle density. To this end, we analyzed the signal-to-noise ratio (SNR) reception of vehicle motion in different communication links and the change of a channel state of VLC under different circumstances so as to predict the data reception rate of vehicles and guarantee the communication service quality of VLC.
The remainder of this paper is organized as follows: In Section 2, we describe the VLC communication model and consider two different communication scenarios, V2I and V2V. In Section 3, we elaborate on the effects of vehicle speed and vehicle density on V2I and V2V communication links, respectively. Simulation results are provided in Section 4, and the conclusions are presented in Section 5.
2. The VLC Channel Model
Consider two different communication scenarios, V2I and V2V. In the V2I scenario, signal lights in road traffic are used as the transmit (Tx) of the VLC [8], and a photodetector-based receiver (Rx) is arranged on the front and rear bumpers of the vehicle. In addition, both the front and rear vehicles are used as the transmitter and receiver, while the front and rear headlights of the vehicle can be used as the Tx; the Rx is also arranged on the front and rear bumpers of the vehicle. The specific scenario is shown in Figure 1. The serious impact of the distance between the Tx and Rx on the VLC communication system during the transmission process of the VLC, along with the strong impact on light transmission in outdoor and daytime scenarios, make it necessary to consider the achievable signal-to-noise ratio and transmission rate during the VLC transmission.
Figure 1.
The scenarios of V2V and V2I.
As shown in Figure 1, when the middle vehicle has not passed the traffic signal light, the traffic signal light serves as the base station of the VLC for data transmission. is the distance between the vehicle and the traffic signal, is the height of the traffic signal light, and is the transmission distance of the signal channel. As the vehicle moves forward, the value of will gradually decrease as decreases, and the signal-to-noise ratio will gradually increase. In the V2V communication process, due to the following behavior of vehicles, the distance between vehicles on the same lane has only small changes. However, because of the influence of speed, the spacing between vehicles is different. The higher the speed of the vehicle, the longer the distance between vehicles needs to be maintained to ensure safe driving.
In the VLC transmission process, the direct channel is selected as the reference channel for the VLC transmission, and the channel gain of the VLC channel is [[10], Equation (1)]:
where represents the physical area of the receiver device, is the transmission distance between the LED target access point and the surface of the receiver device, and is the irradiation angle between the LED target access point and the surface of the receiver device. represents the angle of incidence, and represents the gain of the optical filter. represents the gain from the receiver optical concentrator, which is given by the following equation [[10], Equation (2)]:
where and , respectively, represent the refractive index and half angle of the internal lens of the receiver. represents the order of Lambert emission, defined as follows [[11], Equation (7)]:
where is the half power angle. Therefore, in VLC systems, the signal-to-noise ratio is defined as [[11], Equation (12)]:
where and are, respectively, the modulation bandwidth and noise power spectral density of the VLC channel, is the transmission power, and is the photoelectric conversion coefficient of the relay. The transmission rate of the VLC is defined as follows [[11], Equation (20)]:
with being the constant exponential (Euler number).
As the bandwidth of the VLC devices is determined by the frequency of light, the signal-to-noise ratio of the VLC communication system is considered the standard for measuring channel quality.
3. The V2I/V2V Communication Channel
In the V2I communication link, we mainly study the impact of vehicle motion on VLC communication service quality. We use the signal-to-noise ratio as a parameter to measure the quality of service. Because the length of the communication link constantly changes, it results in significant changes in the signal-to-noise ratio. Moreover, due to the different driving speeds of vehicles, the residence time of vehicles in a single V2I communication scenario varies. The longer the residence time of vehicle-connected users at a single base station, the longer the time it takes for vehicle-connected users to receive data transmission. Therefore, the main impact considered in V2I includes the driving speed of connected vehicle users. When the driving speed of the vehicle is too fast, the transmission time of the vehicle within a single VLC base station will decrease, resulting in a shorter service time for vehicle networking users to receive VLC base stations, which in turn affects the quality of service of VLC.
Firstly, we analyze the variation in the signal-to-noise ratio of vehicles. By integrating (1) and (3), we can obtain the following formula:
In the V2I link, based on the relationship between triangles, the distance between vehicles and traffic lights is:
During the driving process of the vehicle, the channel gain generated by distance will change due to the vehicle’s movement. As the signal-to-noise ratio of the vehicle is different in each location, the transmission rate at each location is also constantly changing. In addition, it is necessary to determine the values of the transmission angle and reception angle . Assuming that the signal lights and vehicle receivers are both perpendicular to the ground, during the V2I process, due to the height difference between the vehicle and the traffic signal, the transmission and reception angles are also constantly changing. And based on the positional relationship between and , it can be concluded that . According to the trigonometric formula, it can be found that . At the same time, since , .
Therefore, in the VLC communication process, the signal-to-noise ratio of the VLC channel is:
where . According to reference [10], is taken as 60 degrees, and can be obtained through calculation. The signal-to-noise ratio term is then given by incorporating and .
where .
In the road section with a length of , the positions of vehicles are evenly distributed. Assuming that the position of the traffic signal is at the origin 0, it is easy to conclude that the probability density function of the vehicle position is . Therefore, the SNR distribution in V2I scenarios can be expressed as :
During the V2V process, the distance between vehicles is affected by their speed. Due to the mutual influence between vehicle speed and distance between vehicles, the driving speed of vehicles is related to vehicle density, and the distance between vehicles can be related to the density between vehicles. When the speed of vehicles is high and a large distance is needed between vehicles to ensure a safe distance, the density of vehicles is low. However, when the driving speed of vehicles is slow, there is no need for a large safe distance between vehicles, and the distance between vehicles is small. VLC can also provide a good signal transmission environment. Using the Green-Shields model [12] as the correlation model between vehicle speed and vehicle density, the relationship between speed and density is as follows:
similarly, the relationship between density and velocity can be expressed as follows:
where is the free flow velocity and is the blocking density.
Assuming that the distribution of vehicles on a single lane follows the Poisson distribution [13], the distance distribution function between vehicles is:
Therefore, on a section of road with a length of , the average distance between vehicles is:
Since there is no height difference between V2Vs, the transmission angle and reception angle are stable and unchanged, and , therefore:
To sum up, we first analyze the different signal-to-noise ratio changes between V2I and V2V. In the V2I scenario, we analyze the effect of the distance between the vehicle and the traffic signal on the signal-to-noise ratio, and the impact of vehicle speed on the total amount of VLC data transmission is also analyzed. At the same time, vehicle speed is the main factor affecting communication quality in the V2V scenario. The change in vehicle speed causes a change in vehicle density, which in turn changes the communication distance between vehicles. Then we considered the channel state changes in the VLC under different conditions. Finally, the data reception rate of the vehicle was predicted. Therefore, by analyzing the signal-to-noise ratio, we can understand the impact of vehicle motion and map the quality of the VLC service that the vehicle can obtain through the signal-to-noise ratio. At the same time, through the evaluation of the signal-to-noise ratio, we can infer the VLC service quality that the vehicle can obtain in different scenarios. In addition, we can also correlate the motion state of the vehicle with the VLC service quality to analyze the influence of the motion state on the transmission capability of the VLC.
4. The Simulation Analysis
This article analyzes the impact of vehicle speed on VLC communication under different communication conditions between V2I and V2V scenarios. This chapter only analyzes the impact of vehicles on distance and does not consider the influence of other factors. Therefore, it is assumed that all other conditions are ideal. The value of is 1 cm2, is 1 dB, is 2 Watt, is 40 MHz, and is 10−21A2/Hz [14]. By analyzing the signal-to-noise ratio of vehicles at different positions and the distribution probability of communication distance, we aim to understand the impact of VLC technology on the distance between transmitters and receivers in V2I and V2V scenarios.
Figure 2 mainly shows the variation trend of the signal-to-noise ratio of V2I in different positions at different traffic light heights. The horizontal axis represents the distance between the vehicle and the traffic signal light, and the vertical axis represents the signal-to-noise ratio of the vehicle’s receiving location. Due to the use of traffic signals, VLC technology can only transmit on one side. When a vehicle passes the current traffic signal light, the VLC transmission opportunity changes. By comparing the changes in signal-to-noise ratio under traffic lights of different heights, it can be seen from Figure 2 that different heights lead to different positions of the maximum signal-to-noise ratio. In addition, it can also be noted that, due to the influence of emission and reception angles, when the distance decreases to the maximum value, it is affected by the emission and reception angles, resulting in a decrease in the signal-to-noise ratio value. Therefore, when the transmission and reception angles of the VLC channel constantly change, the signal-to-noise ratio will first increase when the vehicle approaches the transmission point and then reach its maximum value. As the distance decreases, the signal-to-noise ratio will also decrease. So in the V2I scenario, if the transmission and reception angles are constantly changing, the signal-to-noise ratio and distance changes are not monotonic.
Figure 2.
Signal-to-noise ratio of V2I communication.
Figure 3 shows the total data transmission capacity of vehicles passing through traffic lights at different heights at different driving speeds, with the travel speed of vehicles on the horizontal axis and the transmission capacity of vehicles passing through the same base station at different travel speeds on the vertical axis. By comparing the changes in transmission volume under traffic lights of different heights, it can be concluded from Figure 3 that as the driving speed increases, the transmission volume of vehicles passing through the same base station gradually decreases. In addition, different heights of traffic lights can lead to different transmission volumes through analysis. Therefore, in V2I communication, a fast vehicle speed will result in lower transmission volume because of the short residence time of the vehicle within the transmission range of the VLC transmitter, which makes the vehicle have insufficient time for data transmission. When the driving speed is low, the vehicle stays within the transmission range of the transmitter for a longer time, so there is more time to receive more data and thus more transmission volumes.
Figure 3.
Analysis of transmission capacity at different driving speeds.
In the V2V scenario, vehicle distance is one of the main factors affecting VLC communication, and different vehicle speeds will also lead to changes in the distance between vehicles, so we first analyze the average distance between vehicles at different speeds. As shown in Figure 4, the horizontal axis represents the length of the road, and the vertical axis represents the average distance between vehicles. Due to the different vehicle speeds, different distances are needed between vehicles to ensure the safe driving of vehicles, which will lead to the distance between vehicles changing with the change in vehicle speed. To measure this change, we analyze the average vehicle distance of the vehicles at different speeds by density analysis. Through result analysis, it can be seen that the higher the driving speed, the greater the average distance between vehicles; the lower the driving speed, the smaller the average distance between vehicles. In VLC communication, the greater the distance between vehicles, the lesser the vehicle density will be, which will lead to the receiver’s signal-to-noise ratio being reduced, and the transmission capacity of the VLC channel will also be reduced. At the same time, the influence of density on the signal-to-noise ratio of VLC communication will be further explained in Figure 5. In a word, when the vehicle is traveling at high speed, the quality of service provided by VLC communication will decrease, while at low speed, the vehicle can obtain better data transmission services.
Figure 4.
Vehicle spacing at different driving speeds.
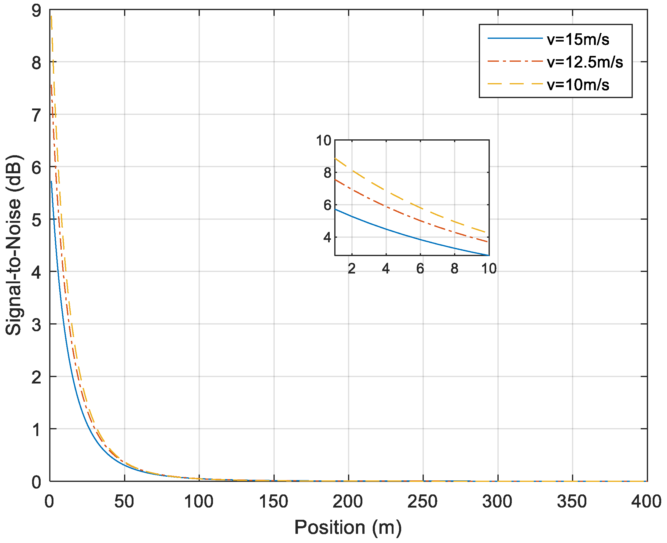
Figure 5.
Distribution of signal-to-noise ratio at V2V.
Finally, the results of the correlation between signal-to-noise ratio and vehicle distribution probability at different driving speeds were analyzed, as shown in Figure 5. The horizontal axis represents the distance between vehicles, and the vertical axis represents the signal-to-noise ratio under V2V transmission. Through analysis, it can be concluded that there is a difference in signal-to-noise ratio due to the influence of probability distribution under different vehicle densities for different driving speeds. This is because different densities result in different distribution densities under the same vehicle spacing, which in turn affects the communication quality between V2Vs. At low speeds, vehicles can achieve higher VLC communication service quality due to their low driving speed and small distribution distance between vehicles. At high speeds, vehicles need to maintain a larger transmission distance, and with low vehicle density, the communication link between vehicles is easily affected, which reduces communication quality. IoV users need to maintain a small distance for VLC data transmission, so they need to have a low driving speed to ensure sufficient safety distance for the vehicle to effectively transmit data.
From the above analysis, it can be concluded that, whether in V2I or V2V scenarios, excessively high vehicle speeds can lead to a decrease in the quality of service of VLC. Due to the fact that the transmitting and receiving angles of V2I are not zero, there is a situation where the signal-to-noise ratio decreases when the distance decreases in V2I scenarios. In the V2V scenario, the signal-to-noise ratio is related to distance, but due to different vehicle speeds, the distribution probability of vehicles varies, resulting in a decrease in the service capacity of VLC in scenarios with high driving speeds. So when the driving speed of the vehicle is high, the service capacity of VLC decreases, and when the driving speed of the vehicle is low, the service capacity of VLC is high. In addition, if the two angles between the transmitter and receiver are symmetrical, the distance between the transmitter and receiver is small and not necessarily positive. If the transmission and reception angles are asymmetric, further analysis may be necessary.
In summary, VLC technology has significant application value for some special usage scenarios in the IoV. When waiting for a red light, vehicles are stationary between each other. In this scenario, vehicles under V2I have a longer residence time and will have sufficient time for data transmission, while V2V will ensure a good data communication link due to the short distance between vehicles. Therefore, the application of VLC technology in vehicle networking scenarios is still worth researching and exploring.
5. Conclusions
In this paper, we apply optical communication technology to the field of vehicle networking and mainly analyze the impact of vehicle speed changes on visible light communication in vehicle networking. First of all, in V2I scenarios, vehicle speed will affect the residence time of vehicles within the range of communication services, and the change in residence time will directly affect the total data transmission volume. In the case of relatively low vehicle speeds, the longer vehicle residence time will increase the total data transmission volume of VLC and thus improve the service quality of VLC. Secondly, in V2V scenarios, vehicle following behavior makes vehicle spacing the main factor affecting the communication quality of VLC, and vehicle speed also affects vehicle spacing. The analysis shows that the communication service quality of VLC can be significantly improved under the conditions of low vehicle speed and low vehicle spacing. Finally, we use the analysis of the signal-to-noise ratio to understand the impact of vehicle motion on signal quality. At the same time, through the evaluation of the signal-to-noise ratio, we can infer the VLC service quality that the vehicle can obtain in different scenarios. Our research elucidates the relationship between vehicle motion state and VLC service quality and provides help for the application of optical communication in the field of vehicle networking. At the same time, further realistic situations such as adverse atmospheric conditions (e.g., rain, fog) and the influence of relative motion between vehicles in real driving scenarios should be considered in future work.
Author Contributions
Conceptualization, X.L. and H.Z.; methodology and software, H.Z. and C.D.; resources, Q.M.; validation, X.Z. and C.D.; writing—original draft preparation, H.Z.; writing—review and editing, X.Z., C.D. and X.L.; supervision, C.D., X.Z. and X.L. All authors have read and agreed to the published version of the manuscript.
Funding
Supported by the Key Research and Development Program of Shaanxi (Program No. 2022GY-105), the Fundamental Research Funds for the Central Universities, CHD (No. 300102243204), and the Joint Fund of the Ministry of Education and Equipment Pre-research (NO. 8091B032226).
Institutional Review Board Statement
Not applicable.
Informed Consent Statement
Not applicable.
Data Availability Statement
Not applicable.
Conflicts of Interest
The authors declare no conflict of interest.
References
- Abuella, H.; Elamassie, M.; Uysal, M.; Xu, Z.; Serpedin, E.; Qaraqe, K.A.; Ekin, S. Hybrid RF/VLC systems: A comprehensive survey on network topologies, performance analyses, applications, and future directions. IEEE Access 2021, 9, 160402–160436. [Google Scholar] [CrossRef]
- Chen, J.; Wang, Z.; Mao, T. Resource Management for Hybrid RF/VLC V2I Wireless Communication System. IEEE Commun. Lett. 2020, 24, 868–871. [Google Scholar] [CrossRef]
- Yarbrough, P.; Welker, T.; Silva, D.; Islam, R.; Patamsetti, V.V.; Abiona, O. Analyzing Li-Fi Communication Benefits Compared to Wi-Fi. Int. J. Commun. Netw. Syst. Sci. 2022, 15, 67–77. [Google Scholar] [CrossRef]
- Zeshan, A.; Baykas, T. Location Aware Vertical Handover in a VLC/WLAN Hybrid Network. IEEE Access 2021, 9, 129810–129819. [Google Scholar] [CrossRef]
- Sharda, P.; Reddy, G.S.; Bhatnagar, M.R.; Ghassemlooy, Z. A comprehensive modeling of vehicle-to-vehicle based VLC system under practical considerations, an investigation of performance, and diversity property. IEEE Trans. Commun. 2022, 70, 3320–3332. [Google Scholar] [CrossRef]
- Sharda, P.; Bhatnagar, M.R.; Ghassemlooy, Z. Modeling of a Vehicle-to-Vehicle Based Visible Light Communication System Under Shadowing and Investigation of the Diversity-Multiplexing Tradeoff. IEEE Trans. Veh. Technol. 2022, 71, 9460–9474. [Google Scholar] [CrossRef]
- Yu, S.-H.; Shih, O.; Tsai, H.-M.; Wisitpongphan, N.; Roberts, R.D. Smart automotive lighting for vehicle safety. IEEE Commun. Mag. 2013, 51, 50–59. [Google Scholar] [CrossRef]
- Eldeeb, H.B.; Elamassie, M.; Uysal, M. Vehicle-to-infrastructure visible light communications: Channel modelling and capacity calculations. In Proceedings of the 2020 12th International Symposium on Communication Systems, Networks and Digital Signal Processing (CSNDSP), Porto, Portugal, 20–22 July 2020; pp. 1–6. [Google Scholar]
- Yamazato, T.; Kinoshita, M.; Arai, S.; Souke, E.; Yendo, T.; Fujii, T.; Kamakura, K.; Okada, H. Vehicle motion and pixel illumination modeling for image sensor based visible light communication. IEEE J. Sel. Areas Commun. 2015, 33, 1793–1805. [Google Scholar] [CrossRef]
- Wu, X.; Safari, M.; Haas, H. Access point selection for hybrid Li-Fi and Wi-Fi networks. IEEE Trans. Commun. 2017, 65, 5375–5385. [Google Scholar] [CrossRef]
- Guo, Y.; Xiong, K.; Lu, Y.; Wang, D.; Fan, P.; Ben Letaief, K. Achievable Information Rate in Hybrid VLC-RF Networks with Lighting Energy Harvesting. IEEE Trans. Commun. 2021, 69, 6852–6864. [Google Scholar] [CrossRef]
- Agarwal, S.; Kachroo, P.; Contreras, S. A Dynamic Network Modeling-Based Approach for Traffic Observability Problem. IEEE Trans. Intell. Transp. Syst. 2015, 17, 1168–1178. [Google Scholar] [CrossRef]
- Liu, X.; Xu, Z.; Meng, Y.; Wang, W.; Xie, J.; Li, Y. An Elastic-Segment-Based V2V/V2I Cooperative Strategy for Throughput Enhancement. IEEE Trans. Veh. Technol. 2022, 71, 5272–5283. [Google Scholar] [CrossRef]
- Eso, E.; Ghassemlooy, Z.; Zvanovec, S.; Gholami, A.; Burton, A.; Hassan, N.B.; Younus, O.I. Experimental Demonstration of Vehicle to Road Side Infrastructure Visible Light Communications. In Proceedings of the 2nd West Asian Colloquium on Optical Wireless Communications (WACOWC), Tehran, Iran, 27–28 April 2019; pp. 85–89. [Google Scholar]
Disclaimer/Publisher’s Note: The statements, opinions and data contained in all publications are solely those of the individual author(s) and contributor(s) and not of MDPI and/or the editor(s). MDPI and/or the editor(s) disclaim responsibility for any injury to people or property resulting from any ideas, methods, instructions or products referred to in the content. |
© 2023 by the authors. Licensee MDPI, Basel, Switzerland. This article is an open access article distributed under the terms and conditions of the Creative Commons Attribution (CC BY) license (https://creativecommons.org/licenses/by/4.0/).




