A Passively Wavelength-Stabilized Mid-Infrared Optical Parametric Oscillator
Abstract
1. Introduction
2. Experimental Setup
3. Results and Discussion
3.1. Emission Range and Output Power
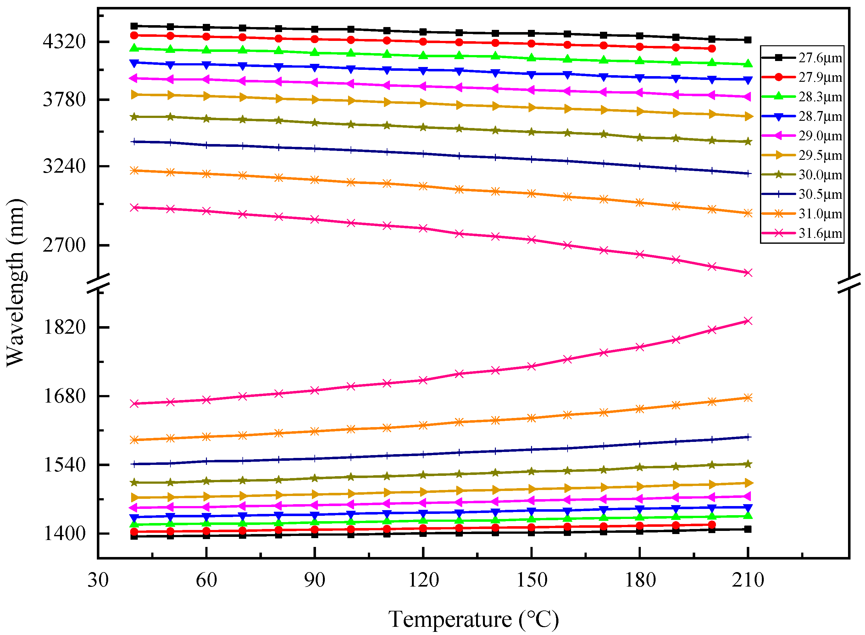
3.2. Parameters Affecting Frequency Shift
3.3. Mode Hops and Frequency Stability
4. Conclusions
Author Contributions
Funding
Institutional Review Board Statement
Informed Consent Statement
Data Availability Statement
Conflicts of Interest
References
- De Escobar, Y.N.M.; Mickelson, P.G.; Pellegrini, P.; Nagel, S.B.; Traverso, A.; Yan, M.; Cote, R.; Killian, T.C. Two-photon photoassociative spectroscopy of ultracold Sr-88. Phys. Rev. A 2008, 78, 062708. [Google Scholar] [CrossRef]
- Tittel, F.K.; Richter, D.; Fried, A. Mid-Infrared Laser Applications in Spectroscopy; Springer: Berlin/Heidelberg, Germany, 2003; pp. 458–529. [Google Scholar]
- Seiter, M.; Sigrist, M.W. Trace-gas sensor based on mid-IR difference-frequency generation in PPLN with saturated output power. Infrared Phys. Technol. 2000, 41, 259–269. [Google Scholar] [CrossRef]
- Dunn, M.H.; Ebrahimzadeh, M. Parametric generation of tunable light from continuous-wave to femtosecond pulses. Science 1999, 286, 1513–1517. [Google Scholar] [CrossRef]
- Lindsay, I.D.; Petridis, C.; Dunn, M.H.; Ebrahimzadeh, M. Continuous-wave pump-enhanced singly resonant optical parametric oscillator pumped by an extended-cavity diode laser. Appl. Phys. Lett. 2001, 78, 871–873. [Google Scholar] [CrossRef]
- Henderson, A.J.; Roper, P.M.; Borschowa, L.A.; Mead, R.D. Stable, continuously tunable operation of a diode-pumped doubly resonant optical parametric oscillator. Opt. Lett. 2000, 25, 1264–1266. [Google Scholar] [CrossRef] [PubMed]
- Siltanen, M.; Vainio, M.; Halonen, L. Pump-tunable continuous-wave singly resonant optical parametric oscillator from 2.5 to 4.4 μm. Opt. Express 2010, 18, 14087–14092. [Google Scholar] [CrossRef] [PubMed]
- Zhang, Y.C.; Duan, Y.M.; Wang, Z.G.; Zhang, D.; Zhang, J.; Zhang, Y.J.; Zhu, H.Y. Continuous-Wave Widely Tunable MgO:PPLN Optical Parametric Oscillator With Compact Linear Cavity. IEEE Photonics Technol. Lett. 2018, 30, 1756–1759. [Google Scholar] [CrossRef]
- Van Herpen, M.; Bisson, S.E.; Harren, F.J.M. Continuous-wave operation of a single-frequency optical parametric oscillator at 4–5 μm based on periodically poled LiNbO3. Opt. Lett. 2003, 28, 2497–2499. [Google Scholar] [CrossRef]
- Bosenberg, W.R.; Drobshoff, A.; Alexander, J.I.; Myers, L.E.; Byer, R.L. 93% pump depletion, 3.5-W continuous-wave, singly resonant optical parametric oscillator. Opt. Lett. 1996, 21, 1336–1338. [Google Scholar] [CrossRef]
- Liu, Y.C.; Xie, X.K.; Ning, J.; Lv, X.J.; Zhao, G.; Xie, Z.D.; Zhu, S.N. A High-Power Continuous-Wave Mid-Infrared Optical Parametric Oscillator Module. Appl. Sci. 2018, 8, 1. [Google Scholar] [CrossRef]
- Shukla, M.K.; Das, R. High-Power Single-Frequency Source in the Mid-Infrared Using a Singly Resonant Optical Parametric Oscillator Pumped by Yb-Fiber Laser. IEEE J. Sel. Top. Quantum Electron. 2018, 24, 1–6. [Google Scholar] [CrossRef]
- Radiant Light S.L. Homepage. Available online: https://radiantis.com/products/titan-cw-opo-based-laser-system/ (accessed on 10 December 2022).
- Van Herpen, M.; Bisson, S.E.; Ngai, A.K.Y.; Harren, F.J.M. Combined wide pump tuning and high power of a continuous-wave, singly resonant optical parametric oscillator. Appl. Phys. B-Lasers Opt. 2004, 78, 281–286. [Google Scholar] [CrossRef]
- Vainio, M.; Siltanen, M.; Peltola, J.; Halonen, L. Grating-cavity continuous-wave optical parametric oscillators for high-resolution mid-infrared spectroscopy. Appl. Opt. 2011, 50, A1–A10. [Google Scholar] [CrossRef] [PubMed]
- Von Basum, G.; Halmer, D.; Hering, P.; Murtz, M.; Schiller, S.; Muller, F.; Popp, A.; Kuhnemann, F. Parts per trillion sensitivity for ethane in air with an optical parametric oscillator cavity leak-out spectrometer. Opt. Lett. 2004, 29, 797–799. [Google Scholar] [CrossRef] [PubMed]
- Al-Tahtamouni, R.; Bencheikh, K.; Storz, R.; Schneider, K.; Lang, M.; Mlynek, J.; Schiller, S. Long-term stable operation and absolute frequency stabilization of a doubly resonant parametric oscillator. Appl. Phys. B-Lasers Opt. 1998, 66, 733–739. [Google Scholar] [CrossRef]
- Li, P.; Li, Y.; Feng, J.; Zhang, K. Theoretical and experimental investigation of singly resonant optical parametric oscillator under double-pass pumping. Appl. Opt. 2015, 54, 4374–4379. [Google Scholar] [CrossRef] [PubMed]
- Ikegami, T.; Slyusarev, S.; Ohshima, S.I. Long-term, mode-hop-free operation of a continuous-wave, doubly resonant, monolithic optical parametric oscillator. Opt. Commun. 2000, 184, 13–17. [Google Scholar] [CrossRef]
- Vainio, M.; Peltola, J.; Persijn, S.; Harren, F.J.M.; Halonen, L. Singly resonant cw OPO with simple wavelength tuning. Opt. Express 2008, 16, 11141–11146. [Google Scholar] [CrossRef]
- Vainio, M.; Peltola, J.; Persijn, S.; Harren, F.J.M.; Halonen, L. Thermal effects in singly resonant continuous-wave optical parametric oscillators. Appl. Phys. B-Lasers Opt. 2009, 94, 411–427. [Google Scholar] [CrossRef]
- Henderson, A.; Stafford, R. Intra-cavity power effects in singly resonant cw OPOs. Appl. Phys. B-Lasers Opt. 2006, 85, 181–184. [Google Scholar] [CrossRef]
- Zheng, X.H.; He, G.Y.; Zhang, B.F.; Guo, J.; Jiao, Z.X.; Wang, B.A. Joint Thermal Effects of VBG and Nonlinear Crystal in a Singly Resonant OPO. IEEE Photonics Technol. Lett. 2016, 28, 1107–1110. [Google Scholar] [CrossRef]
- Lin, D.; Shaif-ul, A.; Shen, Y.H.; Chen, T.; Wu, B.; Richardson, D.J. Large aperture PPMgLN based high-power optical parametric oscillator at 3.8 μm pumped by a nanosecond linearly polarized fiber MOPA. Opt. Express 2012, 20, 15008–15014. [Google Scholar] [CrossRef] [PubMed]
- Moore, R.O.; Biondini, G.; Kath, W.L. Self-induced thermal effects and modal competition in continuous-wave optical parametric oscillators. J. Opt. Soc. Am. B-Opt. Phys. 2002, 19, 802–811. [Google Scholar] [CrossRef]
- Khabbaz, M.; Sabaeian, M.; Nadgaran, H. Heat-coupled Gaussian continuous-wave double-pass optical parametric oscillator: Thermally induced phase mismatching for periodically poled MgO:LiNbO3 crystal. Appl. Opt. 2017, 56, 6419–6426. [Google Scholar] [CrossRef]
- Hutcheon, R.J.; Perrett, B.J.; Mason, P.D. Modelling of Thermal Effects within a 2 μm Pumped ZGP Optical Parametric Oscillator Operating in the Mid-Infrared. In Proceedings of the Conference on Solid State Laser Technologies and Femtosecond Phenomena, London, UK, 25–27 October 2004; pp. 264–274. [Google Scholar]
- Lin, S.T.; Lin, Y.Y.; Huang, Y.C.; Chiang, A.C.; Shy, J.T. Observation of thermal-induced optical guiding and bistability in a mid-IR continuous-wave, singly resonant optical parametric oscillator. Opt. Lett. 2008, 33, 2338–2340. [Google Scholar] [CrossRef]
- Ivanov, G.Y.; Cherpak, P.S.; Konyashkin, A.V.; Ryabushkin, O.A. Accurate measurements of longitudinal temperature distribution of PPLN crystal in the process of second-harmonic generation. Appl. Opt. 2020, 59, 7330–7337. [Google Scholar] [CrossRef]
- Davis, C.C. Lasers and Electro-Optics: Fundamentals and Engineering, 2nd ed.; Cambridge University Press: Cambridge, UK, 2014. [Google Scholar]
- Niu, Y.R.; Yan, X.; Chen, J.X.; Ma, Y.X.; Zhou, Y.D.; Chen, H.; Wu, Y.; Bai, Z.X. Research progress on periodically poled lithium niobate for nonlinear frequency conversion. Infrared Phys. Technol. 2022, 125, 104243. [Google Scholar] [CrossRef]
- Jones, F.E. The Refractivity of Air. J. Res. Nat. Bur. Stand. 1981, 86, 27–32. [Google Scholar] [CrossRef]
- Peck, E.R.; Reeder, K. Dispersion of Air. J. Opt. Soc. Am. 1972, 62, 958–962. [Google Scholar] [CrossRef]
- Cverna, F. ASM Ready Reference: Thermal Properties of Metals; ASM International: Almere, The Netherlands, 2002; p. 560. [Google Scholar]









Disclaimer/Publisher’s Note: The statements, opinions and data contained in all publications are solely those of the individual author(s) and contributor(s) and not of MDPI and/or the editor(s). MDPI and/or the editor(s) disclaim responsibility for any injury to people or property resulting from any ideas, methods, instructions or products referred to in the content. |
© 2022 by the authors. Licensee MDPI, Basel, Switzerland. This article is an open access article distributed under the terms and conditions of the Creative Commons Attribution (CC BY) license (https://creativecommons.org/licenses/by/4.0/).
Share and Cite
Hu, L.; He, Y.; Lv, X.; Ning, J.; Zhao, G.; Zhu, S. A Passively Wavelength-Stabilized Mid-Infrared Optical Parametric Oscillator. Photonics 2023, 10, 5. https://doi.org/10.3390/photonics10010005
Hu L, He Y, Lv X, Ning J, Zhao G, Zhu S. A Passively Wavelength-Stabilized Mid-Infrared Optical Parametric Oscillator. Photonics. 2023; 10(1):5. https://doi.org/10.3390/photonics10010005
Chicago/Turabian StyleHu, Liemao, Yunze He, Xinjie Lv, Jian Ning, Gang Zhao, and Shining Zhu. 2023. "A Passively Wavelength-Stabilized Mid-Infrared Optical Parametric Oscillator" Photonics 10, no. 1: 5. https://doi.org/10.3390/photonics10010005
APA StyleHu, L., He, Y., Lv, X., Ning, J., Zhao, G., & Zhu, S. (2023). A Passively Wavelength-Stabilized Mid-Infrared Optical Parametric Oscillator. Photonics, 10(1), 5. https://doi.org/10.3390/photonics10010005
