Propagation of a Lorentz Non-Uniformly Correlated Beam in a Turbulent Ocean
Abstract
1. Introduction
2. Theoretical Model of a LNUC Beam
3. CSD of a LNUC Beam Propagating in Oceanic Turbulence
4. Numerical Calculation and Analysis of Propagation Characteristics of LNUC Beams
4.1. In Free Space
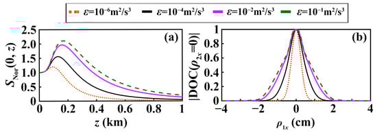
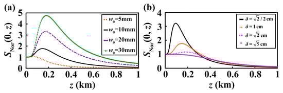
4.2. In Turbulent Ocean
4.2.1. Turbulence Parameters
4.2.2. Beam Parameters
5. Discussion
6. Conclusions
Author Contributions
Funding
Institutional Review Board Statement
Informed Consent Statement
Data Availability Statement
Conflicts of Interest
References
- Garceschavez, V.; Mcgloin, D.; Melville, H.; Sibbett, W.; Dholakia, K. Simultaneous micromanipulation in multiple planes using a self-reconstructing light beam. Nature 2002, 419, 145–147. [Google Scholar] [CrossRef] [PubMed]
- Lavery, M.P.; Speirits, F.C.; Barnett, S.M.; Padgett, M.J. Detection of a Spinning Object Using Light’s Orbital Angular Momentum. Science 2013, 34, 537–540. [Google Scholar] [CrossRef] [PubMed]
- Andrews, L.C.; Phillips, R.L. Laser Beam Propagation through Random Media, 2nd ed.; SPIE: Bellingham, WA, USA, 2005; pp. 35–56. [Google Scholar]
- Gbur, G. Partially coherent beam propagation in atmospheric turbulence. J. Opt. Soc. Am. A 2014, 31, 2038–2045. [Google Scholar] [CrossRef] [PubMed]
- Thorpe, S.A. The Turbulent Ocean; Cambridge University: Cambridge, MA, USA, 2005; pp. 1–37. [Google Scholar]
- Korotkova, O. Light Propagation in a Turbulent Ocean. Prog. Opt. 2019, 64, 1–43. [Google Scholar]
- Cai, Y.; Chen, Y.; Yu, J.; Liu, X.; Liu, L. Generation of partially coherent beams. Prog. Opt. 2017, 62, 157–223. [Google Scholar]
- Wang, F.; Liu, X.; Cai, Y. Propagation of partially coherent beam in turbulent atmosphere: A review (Invited review). Prog. Electromagn. Res. 2015, 150, 123–143. [Google Scholar] [CrossRef]
- Gbur, G.; Wolf, E. Spreading of partially coherent beams in random media. J. Opt. Soc. Am. A 2002, 8, 1592–1598. [Google Scholar] [CrossRef] [PubMed]
- Shirai, T.; Dogariu, A.; Wolf, E. Mode analysis of spreading of partially coherent beams propagating through atmospheric turbulence. J. Opt. Soc. Am. A 2003, 20, 1094–1102. [Google Scholar] [CrossRef] [PubMed]
- Wolf, E. Introduction to the Theory of Coherence and Polarization of Light; Cambridge University: Cambridge, MA, USA, 2007; pp. 174–197. [Google Scholar]
- Chen, Y.; Wang, F.; Liu, L.; Zhao, C.; Cai, Y.; Korotkova, O. Generation and propagation of partially coherent beams with nonconventional correlation functions: A review. J. Opt. Soc. Am. A 2014, 31, 2083–2096. [Google Scholar]
- Liu, X.; Zhou, G.; Shen, Y. Effect of oceanic turbulence with anisotropy on the propagation of multi-sinc Schell-model beams. Results Phys. 2022, 36, 105447. [Google Scholar] [CrossRef]
- Sun, C.; Lv, X.; Ma, B.; Zhang, J.; Deng, D.; Hong, W. Statistical properties of partially coherent radially and azimuthally polarized rotating elliptical Gaussian beams in oceanic turbulence with anisotropy. Opt. Express 2019, 27, A245–A256. [Google Scholar] [CrossRef] [PubMed]
- Song, Z.; Han, Z.; Ye, J.; Liu, Z.; Liu, S.; Liu, B. Propagation properties of radially polarized multi-Gaussian Schell-model beams in oceanic turbulence. J. Opt. Soc. Am. A 2019, 36, 1719–1726. [Google Scholar] [CrossRef] [PubMed]
- Gu, Y.; Gbur, G. Scintillation of nonuniformly correlated beams in atmospheric turbulence. Opt. Lett. 2013, 38, 1395–1397. [Google Scholar] [CrossRef] [PubMed]
- Yu, J.; Wang, F.; Liu, L.; Cai, Y.; Gbur, G. Propagation properties of Hermite non-uniformly correlated beams in turbulence. Opt. Express 2018, 26, 16333–16343. [Google Scholar] [CrossRef] [PubMed]
- Yu, J.; Cai, Y.; Gbur, G. Rectangular Hermite nonuniformly correlated beams and its propagation properties. Opt. Express 2018, 26, 27894–27906. [Google Scholar] [CrossRef] [PubMed]
- Lin, S.; Wang, C.; Zhu, X.; Lin, R.; Wang, F.; Gbur, G.; Cai, Y.; Yu, J. Propagation of radially polarized Hermite non-uniformly correlated beams in a turbulent atmosphere. Opt. Express 2020, 28, 27238–27249. [Google Scholar] [CrossRef] [PubMed]
- Lin, S.; Wu, J.; Xu, Y.; Zhu, X.; Gbur, G.; Cai, Y.; Yu, J. Analysis and experimental demonstration of propagation features of radially polarized specific non-uniformly correlated beams. Opt. Lett. 2022, 47, 305–308. [Google Scholar] [CrossRef] [PubMed]
- Ding, C.; Koivurova, M.; Turunen, J.; Pan, L. Self-focusing of a partially coherent beam with circular coherence. J. Opt. Soc. Am. A 2017, 34, 1441–1447. [Google Scholar] [CrossRef] [PubMed]
- Gori, F.; Santarsiero, M. Devising genuine spatial correlation functions. Opt. Lett. 2007, 32, 3531–3533. [Google Scholar] [CrossRef] [PubMed]
- Nikishov, V.V.; Nikishov, V.I. Spectrum of Turbulent Fluctuations of the Sea-Water Refraction Index. Int. J. Fluid Mech. Res. 2000, 27, 82–98. [Google Scholar] [CrossRef]









Disclaimer/Publisher’s Note: The statements, opinions and data contained in all publications are solely those of the individual author(s) and contributor(s) and not of MDPI and/or the editor(s). MDPI and/or the editor(s) disclaim responsibility for any injury to people or property resulting from any ideas, methods, instructions or products referred to in the content. |
© 2023 by the authors. Licensee MDPI, Basel, Switzerland. This article is an open access article distributed under the terms and conditions of the Creative Commons Attribution (CC BY) license (https://creativecommons.org/licenses/by/4.0/).
Share and Cite
Wei, D.; Wang, K.; Xu, Y.; Du, Q.; Liu, F.; Liu, J.; Dong, Y.; Zhang, L.; Yu, J.; Cai, Y.; et al. Propagation of a Lorentz Non-Uniformly Correlated Beam in a Turbulent Ocean. Photonics 2023, 10, 49. https://doi.org/10.3390/photonics10010049
Wei D, Wang K, Xu Y, Du Q, Liu F, Liu J, Dong Y, Zhang L, Yu J, Cai Y, et al. Propagation of a Lorentz Non-Uniformly Correlated Beam in a Turbulent Ocean. Photonics. 2023; 10(1):49. https://doi.org/10.3390/photonics10010049
Chicago/Turabian StyleWei, Dongmei, Ke Wang, Ying Xu, Qian Du, Fangning Liu, Juan Liu, Yiming Dong, Liying Zhang, Jiayi Yu, Yangjian Cai, and et al. 2023. "Propagation of a Lorentz Non-Uniformly Correlated Beam in a Turbulent Ocean" Photonics 10, no. 1: 49. https://doi.org/10.3390/photonics10010049
APA StyleWei, D., Wang, K., Xu, Y., Du, Q., Liu, F., Liu, J., Dong, Y., Zhang, L., Yu, J., Cai, Y., & Zhu, X. (2023). Propagation of a Lorentz Non-Uniformly Correlated Beam in a Turbulent Ocean. Photonics, 10(1), 49. https://doi.org/10.3390/photonics10010049

