Critical Laser Intensity of Phase-Matched High-Order Harmonic Generation in Noble Gases
Abstract
1. Introduction
2. Model and Method
2.1. Phase Matching of High-Order Harmonic Radiation
2.2. ADK Model: Critical Field Intensity
2.2.1. Critical Field Intensity as Phase Matching Condition
2.2.2. Derivation of the Critical Intensity
- : The ionization potential is much larger than the peak amplitude of the incident laser pulse .
- : The number of optical cycles of the laser pulse is sufficiently large.
- : Contributions to the ionization rate from atomic states with magnetic quantum number can be neglected.
2.3. PPT: Critical Field Intensity
3. Results and Discussion
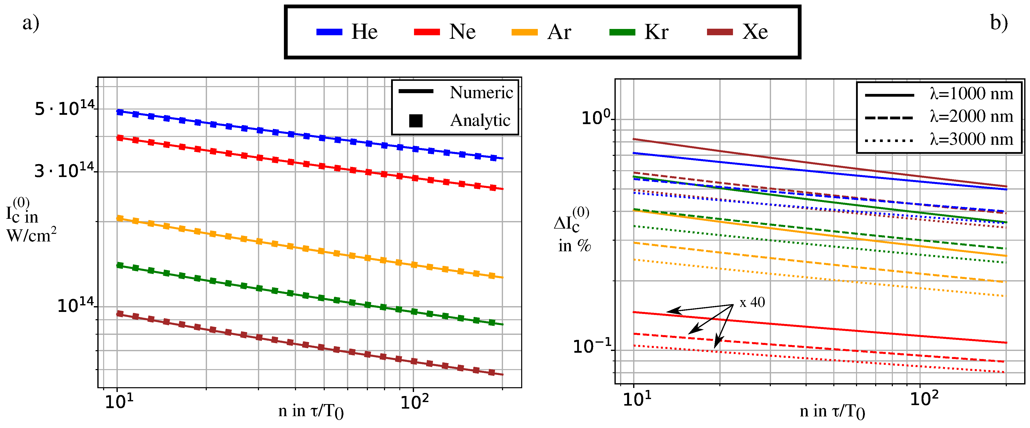
3.1. Accuracy Critical Intensity: Tunnel Ionization (ADK)
3.2. Accuracy Critical Intensity: Tunnel and Multi-Photon Ionization (PPT)
3.3. Critical Intensity: Comparison ADK—PPT
4. Conclusions
Author Contributions
Funding
Conflicts of Interest
References
- Klas, R.; Kirsche, A.; Gebhardt, M.; Buldt, J.; Stark, H.; Hädrich, S.; Rothhardt, J.; Limpert, J. Ultra-short-pulse high-average-power megahertz-repetition-rate coherent extreme-ultraviolet light source. PhotoniX 2021, 2, 4. [Google Scholar] [CrossRef]
- Popmintchev, D.; Galloway, B.R.; Chen, M.C.; Dollar, F.; Mancuso, C.A.; Hankla, A.; Miaja-Avila, L.; O’Neil, G.; Shaw, J.M.; Fan, G.; et al. Near-and extended-edge X-ray-absorption fine-structure spectroscopy using ultrafast coherent high-order harmonic supercontinua. Phys. Rev. Lett. 2018, 120, 093002. [Google Scholar] [CrossRef] [PubMed]
- Minneker, B.; Böning, B.; Fritzsche, S. Generalized nondipole strong-field approximation of high-order harmonic generation. Phys. Rev. A 2022, 106, 053109. [Google Scholar] [CrossRef]
- Chen, M.C.; Mancuso, C.; Hernández-García, C.; Dollar, F.; Galloway, B.; Popmintchev, D.; Huang, P.C.; Walker, B.; Plaja, L.; Jaroń-Becker, A.A.; et al. Generation of bright isolated attosecond soft X-ray pulses driven by multicycle midinfrared lasers. Proc. Natl. Acad. Sci. USA 2014, 111, E2361–E2367. [Google Scholar] [CrossRef] [PubMed]
- Popmintchev, T.; Chen, M.C.; Popmintchev, D.; Arpin, P.; Brown, S.; Ališauskas, S.; Andriukaitis, G.; Balčiunas, T.; Mücke, O.D.; Pugzlys, A.; et al. Bright coherent ultrahigh harmonics in the keV X-ray regime from mid-infrared femtosecond lasers. Science 2012, 336, 1287–1291. [Google Scholar] [CrossRef]
- Lewenstein, M.; Balcou, P.; Ivanov, M.Y.; L’huillier, A.; Corkum, P.B. Theory of high-harmonic generation by low-frequency laser fields. Phys. Rev. A 1994, 49, 2117. [Google Scholar] [CrossRef]
- Shiner, A.; Trallero-Herrero, C.; Kajumba, N.; Bandulet, H.C.; Comtois, D.; Légaré, F.; Giguère, M.; Kieffer, J.; Corkum, P.; Villeneuve, D. Wavelength scaling of high harmonic generation efficiency. Phys. Rev. Lett. 2009, 103, 073902. [Google Scholar] [CrossRef]
- Falcao-Filho, E.L.; Gkortsas, V.M.; Gordon, A.; Kärtner, F.X. Analytic scaling analysis of high harmonic generation conversion efficiency. Opt. Express 2009, 17, 11217–11229. [Google Scholar] [CrossRef]
- Gkortsas, V.M.; Bhardwaj, S.; Falcao-Filho, E.L.; Hong, K.H.; Gordon, A.; Kärtner, F.X. Scaling of high harmonic generation conversion efficiency. J. Phys. At. Mol. Opt. Phys. 2011, 44, 045601. [Google Scholar] [CrossRef]
- Weissenbilder, R.; Carlström, S.; Rego, L.; Guo, C.; Heyl, C.; Smorenburg, P.; Constant, E.; Arnold, C.; L’Huillier, A. How to optimize high-order harmonic generation in gases. Nat. Rev. Phys. 2022, 4, 713–722. [Google Scholar] [CrossRef]
- Constant, E.; Garzella, D.; Breger, P.; Mével, E.; Dorrer, C.; Le Blanc, C.; Salin, F.; Agostini, P. Optimizing High Harmonic Generation in Absorbing Gases: Model and Experiment. Phys. Rev. Lett. 1999, 82, 1668–1671. [Google Scholar] [CrossRef]
- Balcou, P.; L’Huillier, A. Phase-matching effects in strong-field harmonic generation. Phys. Rev. A 1993, 47, 1447–1459. [Google Scholar] [CrossRef]
- Altucci, C.; Starczewski, T.; Mevel, E.; Wahlström, C.G.; Carré, B.; L’Huillier, A. Influence of atomic density in high-order harmonic generation. JOSA B 1996, 13, 148–156. [Google Scholar] [CrossRef]
- Popmintchev, T.; Chen, M.C.; Arpin, P.; Murnane, M.M.; Kapteyn, H.C. The attosecond nonlinear optics of bright coherent X-ray generation. Nat. Photonics 2010, 4, 822–832. [Google Scholar] [CrossRef]
- Rothhardt, J.; Krebs, M.; Hädrich, S.; Demmler, S.; Limpert, J.; Tünnermann, A. Absorption-limited and phase-matched high harmonic generation in the tight focusing regime. New J. Phys. 2014, 16, 033022. [Google Scholar] [CrossRef]
- Paufler, W.; Böning, B.; Fritzsche, S. Coherence control in high-order harmonic generation with Laguerre-Gaussian beams. Phys. Rev. A 2019, 100, 013422. [Google Scholar] [CrossRef]
- Minneker, B.; Böning, B.; Weber, A.; Fritzsche, S. Torus-knot angular momentum in twisted attosecond pulses from high-order harmonic generation. Phys. Rev. A 2021, 104, 053116. [Google Scholar] [CrossRef]
- Balcou, P.; Salieres, P.; L’Huillier, A.; Lewenstein, M. Generalized phase-matching conditions for high harmonics: The role of field-gradient forces. Phys. Rev. A 1997, 55, 3204. [Google Scholar] [CrossRef]
- Klas, R. Efficiency Scaling of High Harmonic Generation Using Ultrashort Fiber Lasers. Ph.D. Thesis, Friedrich Schiller University Jena, Jena, Germany, 2021. [Google Scholar]
- Chang, Z. Fundamentals of Attosecond Optics; CRC Press: Boca Raton, FL, USA, 2016. [Google Scholar]
- Salières, P.; L’Huillier, A.; Lewenstein, M. Coherence Control of High-Order Harmonics. Phys. Rev. Lett. 1995, 74, 3776–3779. [Google Scholar] [CrossRef]
- Dalgarno, A.; Kingston, A. The refractive indices and Verdet constants of the inert gases. Proc. R. Soc. Lond. 1960, 259, 424–431. [Google Scholar]
- Born, M.; Wolf, E. Principles of Optics: Electromagnetic Theory of Propagation, Interference and Diffraction of Light; Elsevier: Amsterdam, The Netherlands, 2013. [Google Scholar]
- Chantler, C.; Olsen, K.; Dragoset, R.; Chang, J.; Kishore, A.; Kotochigova, S.; Zucker, D. X-ray Form Factor, Attenuation and Scattering Tables (Version 2.1); National Institute of Standards and Technology: Gaithersburg, MD, USA. Available online: http://physics.nist.gov/ffast (accessed on 20 June 2022).
- Yudin, G.L.; Ivanov, M.Y. Nonadiabatic tunnel ionization: Looking inside a laser cycle. Phys. Rev. A 2001, 64, 013409. [Google Scholar] [CrossRef]
- Ammosov, M.V.; Delone, N.B.; Krainov, V.P. Tunnel ionization of complex atoms and of atomic ions in an alternating electromagnetic field. Sov. J. Exp. Theor. Phys. 1986, 64, 1191. [Google Scholar]
- Veberic, D. Having fun with Lambert W (x) function. arXiv 2010, arXiv:1003.1628. [Google Scholar]
- Perelomov, A.; Popov, V.; Terent’Ev, M. Ionization of atoms in an alternating electric field. Sov. Phys. JETP 1966, 23, 924–934. [Google Scholar]
- Bezanson, J.; Edelman, A.; Karpinski, S.; Shah, V.B. Julia: A fresh approach to numerical computing. SIAM Rev. 2017, 59, 65–98. [Google Scholar] [CrossRef]
- Johnson, S.G. QuadGK.jl: Gauss–Kronrod Integration in Julia. 2013. Available online: https://github.com/JuliaMath/QuadGK.jl (accessed on 20 June 2022).
- Mogensen, P.K.; Riseth, A.N. Optim: A mathematical optimization package for Julia. J. Open Source Softw. 2018, 3. [Google Scholar] [CrossRef]




| He | Ne | Ar | Kr | Xe | |
|---|---|---|---|---|---|
| −0.5122 | −0.4114 | −0.1417 | −0.0283 | 0.1182 | |
| 1.6196 | 1.3303 | 0.8311 | 0.6958 | 0.5612 | |
| 6.5714 | 6.4204 | 6.1200 | 6.0226 | 5.9116 |
| Element | in nm | in fs | ||
|---|---|---|---|---|
| He | 800 | 7 | 18.7 | |
| 1600 | 10 | 53.4 | ||
| 3200 | 5 | 53.4 | ||
| Ne | 800 | 3 | 8.0 | |
| 1600 | 3 | 16.0 | ||
| 3200 | 3 | 32.0 | ||
| Ar | 800 | 3 | 8.0 | |
| 1600 | 3 | 16.0 | ||
| 3200 | 3 | 32.0 | ||
| Kr | 800 | 4 | 10.7 | |
| 1600 | 4 | 21.4 | ||
| 3200 | 4 | 42.7 | ||
| Xe | 800 | 5 | 13.3 | |
| 1600 | 5 | 26.7 | ||
| 3200 | 5 | 53.4 |
| Element | in nm | in fs | ||
|---|---|---|---|---|
| He | 250 | 5 | 4.2 | |
| 515 | 5 | 8.6 | ||
| 800 | 10 | 26.7 | ||
| Ne | 250 | 9 | 7.5 | |
| 515 | 5 | 8.6 | ||
| 800 | 8 | 21.4 | ||
| Ar | 250 | 10 | 8.3 | |
| 515 | 3 | 5.2 | ||
| 800 | 4 | 10.7 | ||
| Kr | 250 | 5 | 4.2 | |
| 515 | 3 | 5.2 | ||
| 800 | 3 | 8.0 | ||
| Xe | 250 | 3 | 2.5 | |
| 515 | 3 | 5.2 | ||
| 800 | 3 | 8.0 |
Disclaimer/Publisher’s Note: The statements, opinions and data contained in all publications are solely those of the individual author(s) and contributor(s) and not of MDPI and/or the editor(s). MDPI and/or the editor(s) disclaim responsibility for any injury to people or property resulting from any ideas, methods, instructions or products referred to in the content. |
© 2022 by the authors. Licensee MDPI, Basel, Switzerland. This article is an open access article distributed under the terms and conditions of the Creative Commons Attribution (CC BY) license (https://creativecommons.org/licenses/by/4.0/).
Share and Cite
Minneker, B.; Klas, R.; Rothhardt, J.; Fritzsche, S. Critical Laser Intensity of Phase-Matched High-Order Harmonic Generation in Noble Gases. Photonics 2023, 10, 24. https://doi.org/10.3390/photonics10010024
Minneker B, Klas R, Rothhardt J, Fritzsche S. Critical Laser Intensity of Phase-Matched High-Order Harmonic Generation in Noble Gases. Photonics. 2023; 10(1):24. https://doi.org/10.3390/photonics10010024
Chicago/Turabian StyleMinneker, Björn, Robert Klas, Jan Rothhardt, and Stephan Fritzsche. 2023. "Critical Laser Intensity of Phase-Matched High-Order Harmonic Generation in Noble Gases" Photonics 10, no. 1: 24. https://doi.org/10.3390/photonics10010024
APA StyleMinneker, B., Klas, R., Rothhardt, J., & Fritzsche, S. (2023). Critical Laser Intensity of Phase-Matched High-Order Harmonic Generation in Noble Gases. Photonics, 10(1), 24. https://doi.org/10.3390/photonics10010024

