The Surface Temperature of Water in Polish and Belarusian Lakes during the Period of Climate Change
Abstract
1. Introduction
2. Materials and Methods
| No | Lake | Geographic Location (°) | Area (ha) | Volume (hm3) | Depth (m) | Average Width (m) | ||
|---|---|---|---|---|---|---|---|---|
| Maximum | Mean | Latitude | Longitude | |||||
| 1 | Lubie | 52.5 | 15.9 | 1487.5 | 169.88 | 46.2 | 11.6 | 1040 |
| 2 | Sławskie | 51.9 | 16.0 | 822.5 | 42.66 | 12.3 | 5.2 | 898 |
| 3 | Gardno | 54.7 | 17.1 | 2337.5 | 30.95 | 2.6 | 1.3 | 3682 |
| 4 | Łebsko | 54.7 | 17.4 | 7020.0 | 117.52 | 6.3 | 1.6 | 4366 |
| 5 | Charzykowskie | 53.8 | 17.5 | 1336.0 | 134.53 | 30.5 | 9.8 | 1360 |
| 6 | Raduńskie Górne | 54.2 | 18.0 | 362.5 | 60.16 | 43.0 | 15.5 | 521 |
| 7 | Gopło | 52.6 | 18.4 | 2121.5 | 78.5 | 16.6 | 3.6 | 295 |
| 8 | Jeziorak | 53.7 | 19.6 | 3152.5 | 141.59 | 12.9 | 4.1 | 1172 |
| 9 | Mikołajskie | 53.8 | 21.6 | 424.0 | 55.74 | 25.9 | 11.2 | 866 |
| 10 | Nidzkie | 53.6 | 21.6 | 1750.0 | 113.87 | 23.7 | 6.2 | 790 |
| 11 | Hańcza | 54.3 | 22.8 | 291.5 | 120.36 | 106.1 | 38.7 | 688 |
| 12 | Studzieniczne | 53.9 | 23.1 | 244.0 | 22.07 | 30.5 | 8.7 | 730 |
| 13 | Vygonoshchanskoe | 52.7 | 26.0 | 2600.0 | 32.1 | 2.3 | 1.2 | 3710 |
| 14 | Naroch | 54.9 | 26.8 | 7960.0 | 710.4 | 24.8 | 8.9 | 6200 |
| 15 | Driviaty | 55.6 | 27.0 | 3614.0 | 223.52 | 12.0 | 6.1 | 3570 |
| 16 | Chervonoe | 52.4 | 28.0 | 4032.0 | 27.35 | 2.9 | 0.7 | 3500 |
| 17 | Lukomskoe | 54.7 | 29.1 | 3771.0 | 249.0 | 11.5 | 6.6 | 3500 |
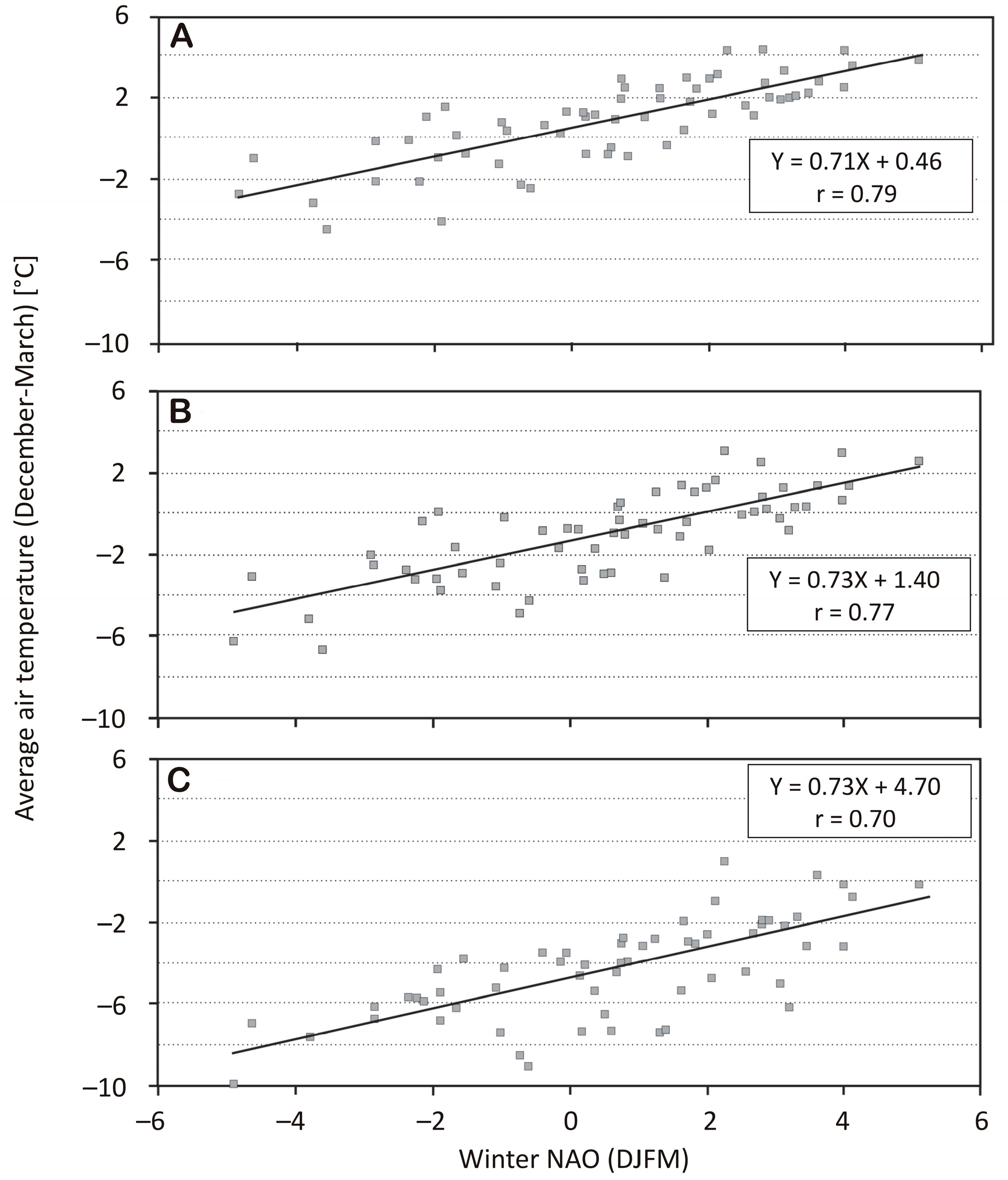
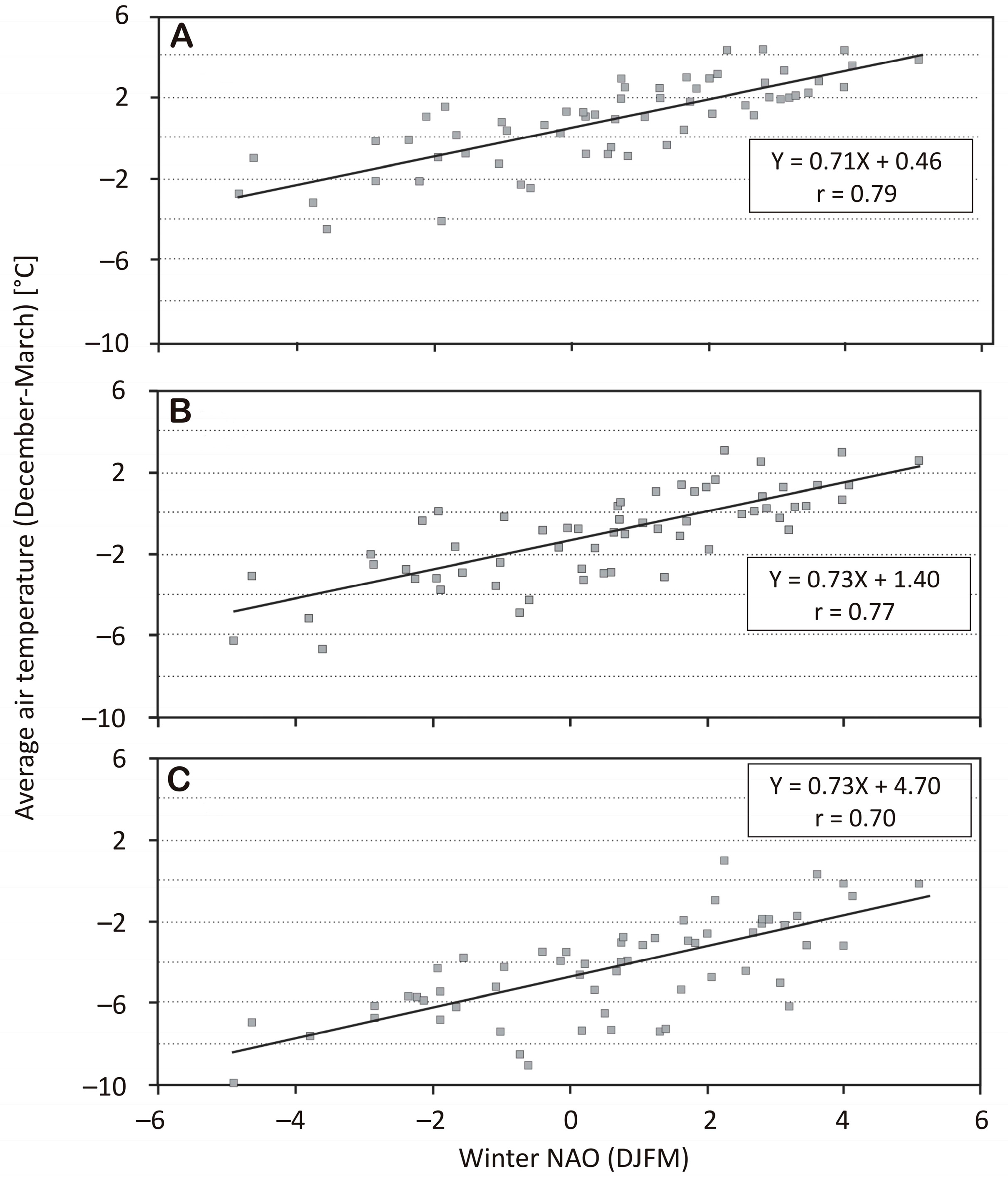
3. Results
4. Discussion
5. Conclusions
Author Contributions
Funding
Institutional Review Board Statement
Informed Consent Statement
Data Availability Statement
Conflicts of Interest
References
- Lampert, W.; Sommer, U. Ekologia Wód Śródlądowych (Ecology of Inland Waters); Wydaw. Nauk. PWN: Warszawa, Poland, 1996; 390p. (In Polish) [Google Scholar]
- Skowron, R. Zróżnicowanie i Zmienność Wybranych Elementów Reżimu Termicznego w Jeziorach na Niżu Polskim (The Differentiation and the Changeability of Chosen of Elements the Thermal Regime of Water in Lakes on Polish Lowland); Wydaw. UMK: Toruń, Poland, 2011; 345p. (In Polish) [Google Scholar]
- Sobolewski, W.; Borowiak, D.; Borowiak, M.; Skowron, R. Baza danych Jezior Polski i Jej Wykorzystanie w Badaniach Limnologicznych (Database of Polish Lakes and Its Use in Limnological Studies); Wydaw. Picador—UMCS: Lublin, Poland, 2014; 198p. (In Polish) [Google Scholar]
- Tikhomirov, A.I. Termika Krupnykh Ozer (Thermal Regime of Large Lakes); Izdat. Nauka: Leningrad, Russia, 1982; 208p. (In Russian) [Google Scholar]
- Skowron, R. Surface water thermal seasons in Polish lakes, their distribution and spatial differentiation. Limnol. Rev. 2001, 1, 251–263. [Google Scholar]
- Skowron, R. Roczny cykl temperatury wody powierzchniowej w jeziorach na Niżu Polskim i jego zmienność (Annual cycle of surface water temperature in the lakes in the Polish Lowland and its changeability). In Obieg Wody w Środowisku Naturalnym i Przekształconym (Water Circulation in Natural and Transformed Environment); Michalczyk, Z., Ed.; Badania Hydrograficzne w Poznaniu Środowiska: Lublin, Poland, 2007; Volume 8, pp. 452–461, (In Polish, English summary). [Google Scholar]
- Gosudarstvennyy Vodnyy Kadastr (State Water Cadaster). Ezhegodnye Dannye o Rezhime i Resursah Poverhnostnykh Vod. (Annual Data on the Regime and Resources of Inland Waters); State Water Cadaster: Minsk, Belarus, 1971–2021; Volume 3. (In Russian) [Google Scholar]
- Choiński, A. Limnologia Fizyczna Polski (Physical Limnology of Poland); Wydaw. UAM: Poznań, Poland, 2007; 548p. (In Polish) [Google Scholar]
- Vlasov, B.P.; Yakushko, O.F.; Gigevich, G.S.; Rachevskij, A.N.; Loginova, E.V. Oziora Belarusi: Spravochnik (Lakes of Belarus: Handbook); RUP Minsktipproekt: Minsk, Belarus, 2004; 284p. (In Russian) [Google Scholar]
- Efremova, T.; Palshin, N.; Belashev, B. Water temperature of different types of lakes in Karelia under changing climate based on data of instrumental measurements in 1953–2011. Water Resour. 2016, 43, 228–238. [Google Scholar] [CrossRef]
- Hurrell, J.W. Decadal trends in the North Atlantic Oscillation: Regional temperatures and precipitation. Science 1995, 269, 676–679. [Google Scholar] [CrossRef] [PubMed]
- Straile, D.; Livingstone, D.M.; Weyhenmeyer, G.A.; George, D.G. The response of freshwater ecosystems to climate variability associated with the North Atlantic Oscillation. In The North Atlantic Oscillation: Climatic Significance and Environmental Impact; Hurrell, J.W., Kushnir, Y., Ottersen, G., Visbeck, M., Visbeck, M.H., Eds.; American Geophysical Union: Washington, DC, USA, 2003; pp. 263–279. [Google Scholar]
- Naumenko, M.A.; Guzivaty, V.V.; Karetnikov, S.G. O klimticheskikh trendakh temperatury poverkhnsti vody Ladozhskogo ozera v bezledny period (Climatic trends of the water surface temperature in Lake Ladoga during ice-free periods). In Doklady Earth Sciences; Springer: Berlin/Heidelberg, Germany, 2006; Volume 408, pp. 1–4. (In Russian) [Google Scholar]
- Dokulil, M.T. Impact of climate warming on European inland waters. Inland Waters 2013, 4, 27–40. [Google Scholar] [CrossRef]
- Skowron, R. Thermal structure of water during the summer in the lakes in the Polish Lowlands as a result of their varied morphometry. Limnol. Rev. 2020, 20, 89–95. [Google Scholar] [CrossRef]
- Skowron, R. Ice phenomena in investigations of Polish lakes. Bull. Geogr. Phys. Geogr. Ser. 2021, 20, 15–29. [Google Scholar] [CrossRef]
- Wrzesiński, D.; Choiński, A.; Ptak, M. Effect of the North Atlantic Oscillation on the thermal characteristics of lakes in Poland. Acta Geophys. 2015, 63, 863–883. [Google Scholar] [CrossRef]
- Gronskaya, T.P.; Lemeshko, N.A.; Arvola, L.; Jarvinen, M. Lakes of European Russia and Finland as indicators of climate change. World Resour. Rev. 2002, 14, 189–203. [Google Scholar]
- Järvet, A. Influence of Hydrological Factors and Human Impact on the Ecological State of Shallow Lake Võrtsjärv in Estonia. Ph.D. Thesis, Tartu University Press, Tartu, Estonia, 2004; 119p. [Google Scholar]
- Pernaravičiūtė, B. The impact of climate change on thermal regime of Lithuanian lakes. Ekologija 2004, 2, 58–63. [Google Scholar]
- Nõges, T.; Tuvikene, L.; Nõges, P. Contemporary trends of temperature, nutrient loading, and water quality in large Lakes Peipsi and Võrtsjärv, Estonia. Aquat. Ecosyst. Health Manag. 2010, 13, 143–153. [Google Scholar] [CrossRef]
- Woolway, R.I.; Dokulil, M.T.; Marszelewski, W.; Schmid, M.; Bouffard, D.; Merchant, C.J. Warming of Central European lakes and their response to the 1980s climate regime shift. Clim. Change 2017, 142, 505–520. [Google Scholar] [CrossRef]
- Dąbrowski, M.; Marszelewski, W.; Skowron, R. The trends and dependencies between air and water temperatures in the lakes located in Northern Poland in the years 1961–2000. Hydrol. Earth Syst. Sci. 2004, 8, 79–87. [Google Scholar] [CrossRef]
- Kilkus, K. Dimiktinų Ežerų Terminės Struktūros (Thermal Structures of Dimictic Lakes); VU Leid.: Vilnius, Lithuania, 2000; 200p. (In Lithuanian) [Google Scholar]
- Choiński, A.; Ptak, M.; Strzelczak, A. Changeability of accumulated heat content in Alpine-type lakes. Pol. J. Environ. Stud. 2015, 24, 2363–2369. [Google Scholar] [CrossRef]
- Adrian, R.; O’Reilly, C.M.; Zagarese, H.; Baines, S.B.; Essen, D.O.; Keller, W.; Livingstone, D.M.; Sommaruga, R.; Strable, D.; Van Donk, E.; et al. Lakes as sentinels of climate change. Limnol. Oceanogr. 2009, 54 Pt 2, 2283–2297. [Google Scholar] [CrossRef] [PubMed]
- Arvola, L.; George, G.; Livingstone, D.M.; Järvinen, M.; Blenckner, T.; Dokulil, M.T.; Jennings, E.; Aonghusa, C.N.; Nõges, P.; Nõges, T.; et al. The impact of the changing climate on the thermal characteristics of lakes. In The Impact of Climate Change on European Lakes; George, D.G., Ed.; Aquatic Ecology Series 4; Springer: Dordrecht, The Netherlands, 2010; pp. 85–101. [Google Scholar]
- Lieberherr, G.; Wunderle, S. Lake Surface Water Temperature Derived from 35 Years of AVHRR Sensor Data for European Lakes. Remote Sens. 2018, 10, 990. [Google Scholar] [CrossRef]
- Livingstone, D.M.; Dokuli, M.T. Eighty years of spatially coherent Austrian lake surface temperatures and their relationship to regional air temperature and the North Atlantic Oscillation. Limnol. Oceanogr. 2001, 46, 1220–1227. [Google Scholar] [CrossRef]
- Sukhovilo, N.Y. Wliyanie mietieorologiczeskich i klimaticzeskich uslowiy na tiermodinamiczeskie processy w raznotipnych oziorach Bielarusi (Influence of meteorological and climatic conditions on thermodynamic processes in different types of Belarusian lakes). Acta Geogr. Sil. 2019, 13, 47–60, (In Russian, English summary). [Google Scholar]
- Apsīte, E.; Elferts, D.; Zubaničs, A.; Latkovska, I. Long-term changes in hydrological regime of the lakes in Latvia. Hydrol. Res. 2014, 45, 308–321. [Google Scholar] [CrossRef]
- Naumenko, M.A.; Guzivaty, V.V.; Karetnikov, S.G. Surface temperature climatic trends in Lake Ladoga: Do they exist during ice-free period? Limnol. Rev. 2008, 8, 103–108. [Google Scholar]
- Kilkus, K.; Valiuškevičius, G. Klimato svyravimų atspindţiai eţerų ir upių hidrologiniuose bei hidrofizikiniuose rodikliuose (Reflections of climate fluctuations in the hydrological and hydrophysical indicators of lakes and rivers). In Klimato Svyravimų Poveikis Fiziniams Geografiniams Procesams Lietuvoje (Impact of Climate Fluctuations on Physical Geographical Processes in Lithuania); Bukantis, A., Gulbinas, Z., Kazakevičius, S., Kilkus, K., Mikelinskienė, A., Morkūnaitė, R., Rimkus, E., Samuila, M., Stankūnavičius, G., Valiuškevičius, G., et al., Eds.; Geografijos Institutas, Vilniaus Universitetas: Vilnius, Lithuania, 2001; pp. 194–232. (In Lithuanian) [Google Scholar]
- Danilovish, I. Influence of climate warming on hydrological regime of lakes and reservoirs in Belarus. In Lakes and Artificial Water Reservoirs. Natural Processes and Socio-Economic Importance; Jankowski, A.T., Rzętała, M., Eds.; University of Silesia-Faculty of Earth Sciences, Polish Limnological Society: Sosnowiec, Poland, 2005; pp. 53–58. [Google Scholar]
- Skowron, R. Extreme thermal phenomena of surface water in the lakes of Northern Poland. Limnol. Rev. 2008, 9, 27–39. [Google Scholar]
- Skowron, R. Criteria of thermal classifications of lakes. Bull. Geography. Phys. Geogr. Ser. 2009, 93–108. [Google Scholar] [CrossRef]
- Schindler, D.W. The effects of climate warming on the properties of boreal lakes and streams at the Experimental Lakes Area, northwestern Ontario. Limnol. Oceanogr. 1996, 41, 1004–1017. [Google Scholar] [CrossRef]
- Blenckner, T. Climate Related Impacts on a Lake: From Physics to Biology. Ph.D. Thesis, Acta Universitatis Upsaliensis, Uppsala, Sweden, 2001; 37p. [Google Scholar]


| Station | Nov | Dec | Jan | Feb | Mar | Apr | May | Jun | Jul | Aug | Sep | Oct | Year | Ampl. |
|---|---|---|---|---|---|---|---|---|---|---|---|---|---|---|
| Szczecin | 4.5 | 1.2 | −0.4 | 0.4 | 3.5 | 8.2 | 13.1 | 16.4 | 18.2 | 17.7 | 13.8 | 9.2 | 8.8 | 20.6 |
| Gorzów Wielkopolski | 4.0 | 0.5 | −1.0 | 0.1 | 3.5 | 8.5 | 13.5 | 16.8 | 18.5 | 18.1 | 13.9 | 9.0 | 8.8 | 21.4 |
| Łeba | 4.6 | 1.2 | −0.6 | −0.1 | 2.2 | 6.1 | 10.7 | 14.5 | 16.9 | 16.9 | 13.5 | 9.2 | 7.9 | 19.0 |
| Chojnice | 3.0 | −0.6 | −2.4 | −1.5 | 1.7 | 7.0 | 12.2 | 15.4 | 17.2 | 16.8 | 12.7 | 7.9 | 7.4 | 21.5 |
| Toruń | 3.6 | −0.2 | −-2.0 | −1.0 | 2.6 | 7.9 | 13.4 | 16.7 | 18.5 | 17.9 | 13.4 | 8.5 | 8.3 | 22.7 |
| Olsztyn | 2.7 | −1.0 | −2.8 | −2.0 | 1.5 | 6.5 | 11.7 | 14.6 | 16.7 | 16.1 | 12.0 | 7.5 | 7.0 | 22.8 |
| Mikołajki | 3.0 | −1.2 | −3.4 | −-2.5 | 0.9 | 6.9 | 12.8 | 16.1 | 18.0 | 17.5 | 13.1 | 8.0 | 7.4 | 23.4 |
| Suwałki | 2.0 | −2.2 | −4.4 | −3.7 | 0.1 | 6.5 | 12.4 | 15.6 | 17.3 | 16.7 | 12.0 | 6.8 | 6.6 | 24.0 |
| Liepel | 0.6 | −3.7 | −6.2 | −5.5 | −1.0 | 6.3 | 12.9 | 16.3 | 17.9 | 16.7 | 11.6 | 5.9 | 6.1 | 24.1 |
| Lyntupy | 1.0 | −3.2 | −4.9 | −4.8 | −0.6 | 6.1 | 12.2 | 15.3 | 17.3 | 16.2 | 11.3 | 5.9 | 6.0 | 22.2 |
| Sharkovshchina | 1.2 | −2.7 | −4.1 | −4.0 | 0.1 | 7.1 | 12.8 | 16.2 | 18.5 | 17.2 | 12.1 | 6.2 | 6.8 | 22.7 |
| Ivatsevichi | 2.1 | −2.0 | −3.6 | −2.9 | 1.5 | 8.1 | 14.0 | 17.1 | 18.8 | 18.0 | 12.9 | 7.4 | 7.7 | 22.4 |
| Zhitkovichi | 1.9 | −2.5 | −4.9 | −3.8 | 0.8 | 8.1 | 14.1 | 17.3 | 18.8 | 17.8 | 12.7 | 7.1 | 7.3 | 23.7 |
| No | Lake | Nov | Dec | Jan | Feb | Mar | Apr | May | Jun | Jul | Aug | Sep | Oct | Year |
|---|---|---|---|---|---|---|---|---|---|---|---|---|---|---|
| 1 | Lubie | 6.05 | 2.66 | 1.42 | 1.47 | 2.94 | 6.71 | 12.87 | 17.62 | 19.79 | 19.63 | 15.54 | 10.80 | 9.79 |
| 2 | Sławskie | 6.46 | 2.81 | 1.76 | 2.07 | 4.15 | 8.90 | 15.22 | 19.43 | 21.16 | 21.19 | 17.23 | 12.06 | 11.04 |
| 3 | Gardno | 4.63 | 2.12 | 1.26 | 1.28 | 2.79 | 7.13 | 12.95 | 16.75 | 18.53 | 17.90 | 13.74 | 8.97 | 9.02 |
| 4 | Łebsko | 4.98 | 2.46 | 1.60 | 1.62 | 3.38 | 7.88 | 13.31 | 16.93 | 18.91 | 18.37 | 14.08 | 9.33 | 9.41 |
| 5 | Charzykowskie | 6.55 | 3.11 | 1.50 | 1.31 | 2.43 | 5.98 | 12.70 | 17.46 | 19.62 | 19.61 | 15.81 | 11.28 | 9.78 |
| 6 | Raduńskie Górne | 6.29 | 3.27 | 1.73 | 1.54 | 2.49 | 5.41 | 11.24 | 16.45 | 18.59 | 18.81 | 15.23 | 10.67 | 9.31 |
| 7 | Gopło | 7.04 | 3.93 | 2.46 | 2.56 | 4.35 | 8.24 | 14.49 | 19.01 | 20.64 | 20.41 | 16.63 | 12.10 | 11.04 |
| 8 | Jeziorak | 5.24 | 2.17 | 1.30 | 1.34 | 2.95 | 7.97 | 14.96 | 19.34 | 21.05 | 20.88 | 16.25 | 10.61 | 10.40 |
| 9 | Mikołajskie | 6.94 | 2.85 | 1.13 | 0.96 | 1.77 | 5.17 | 12.27 | 17.68 | 19.91 | 20.31 | 16.53 | 11.80 | 9.81 |
| 10 | Nidzkie | 5.44 | 1.88 | 0.90 | 0.94 | 2.38 | 7.08 | 14.13 | 18.67 | 20.58 | 20.51 | 16.25 | 10.82 | 9.97 |
| 11 | Hańcza | 4.75 | 2.35 | 1.13 | 0.89 | 1.48 | 3.73 | 9.76 | 16.91 | 19.32 | 19.28 | 14.70 | 9.47 | 8.65 |
| 12 | Studzieniczne | 5.40 | 2.14 | 1.23 | 1.20 | 1.95 | 5.84 | 13.72 | 18.58 | 20.44 | 20.32 | 15.87 | 10.45 | 9.76 |
| 13 | Wygonoszczanskoe | 2.74 | 0.62 | 0.19 | 0.20 | 1.20 | 7.71 | 14.65 | 18.61 | 20.00 | 19.16 | 13.85 | 8.36 | 8.99 |
| 14 | Narocz | 3.18 | 0.66 | 0.18 | 0.14 | 0.43 | 4.78 | 12.58 | 17.70 | 19.90 | 19.72 | 14.90 | 8.42 | 8.55 |
| 15 | Drywiaty | 2.72 | 0.62 | 0.20 | 0.15 | 0.71 | 5.02 | 12.24 | 17.83 | 19.93 | 19.27 | 14.62 | 8.12 | 8.45 |
| 16 | Chervonoe | 2.85 | 0.55 | 0.15 | 0.24 | 1.58 | 7.93 | 15.66 | 20.18 | 21.84 | 20.98 | 15.55 | 8.45 | 9.66 |
| 17 | Łukomskoe * | 4.26 | 1.32 | 0.32 | 0.33 | 1.46 | 6.51 | 13.88 | 19.06 | 21.35 | 20.85 | 16.12 | 10.27 | 9.49 |
| No | Lake | Spring | Max | Autumn | ||||||||
|---|---|---|---|---|---|---|---|---|---|---|---|---|
| 2 °C | 4 °C | 10 °C | 15 °C | 20 °C | 20 °C | 15 °C | 10 °C | 4 °C | 2 °C | |||
| 1 | Lubie | 8 Mar | 25 Mar | 4 May | 27 May | 30 Jun | 27 Jul | 19 Aug | 20 Sep | 22 Oct | 2 Dec | 26 Dec |
| 2 | Sławskie | 22 Feb Feb | 12 Mar | 22 Apr | 14 May | 12 Jun | 24 Jul | 1 Sep | 29 Sep | 27 Oct | 3 Dec | 26 Dec |
| 3 | Gardno | 9 Mar | 23 Mar | 30 Apr | 30 May | 24 Jun | 25 Jul | 10 Aug | 7 Sep | 10 Oct | 20 Nov | 13 Dec |
| 4 | Łebsko | 1 Mar | 20 Mar | 27 Apr | 25 May | 19 Jun | 24 Jul | 15 Aug | 10 Sep | 13 Oct | 23 Nov | 19 Dec |
| 5 | Charzykowskie | 12 Mar | 1 Apr | 6 May | 29 May | 26 Jun | 30 Jul | 18 Aug | 20 Sep | 24 Oct | 9 Dec | 29 Dec |
| 6 | Raduńskie Górne | 8 Mar | 3 Apr | 12 May | 3 Jun | 3 Jul | 23 Jul | 12 Aug | 17 Sep | 21 Oct | 9 Dec | 4Jan |
| 7 | Gopło | 23 Feb | 10 Mar | 28 Apr | 20 May | 20 Jun | 14 Jul | 25 Aug | 28 Sep | 30 Oct | 14 Dec | 24 Dec |
| 8 | Jeziorak | 7 Mar | 24 Mar | 26 Apr | 16 May | 11 Jun | 27 Jul | 27 Aug | 22 Sep | 21 Oct | 25 Nov | 19 Dec |
| 9 | Mikołajskie | 18 Mar | 8 Apr | 8 May | 28 May | 19 Jun | 29 Jul | 25 Aug | 28 Sep | 28 Oct | 8 Dec | 25 Dec |
| 10 | Nidzkie | 13 Mar | 28 Mar | 29 Apr | 21 May | 16 Jun | 26 Jul | 26 Aug | 23 Sep | 21 Oct | 25 Nov | 14 Dec |
| 11 | Hańcza | 23 Mar | 19 Apr | 18 May | 4 Jun | 2 Jul | 1 Aug | 15 Aug | 14 Sep | 13 Oct | 23 Nov | 23 Dec |
| 12 | Studzieniczne | 15 Mar | 6 Apr | 3 May | 22 May | 15 Jun | 24 Jul | 23 Aug | 21 Sep | 19 Oct | 27 Nov | 15 Dec |
| 13 | Vygonoshchanskoe | – | 6 Apr | 28 Apr | – | – | 15 Jul | – | – | 11 Oct | 10 Nov | – |
| 14 | Naroch | – | 20 Apr | 11 May | – | – | 18 Jul | – | – | 11 Oct | 13 Nov | – |
| 15 | Driviaty | – | 15 Apr | 7 May | – | – | 16 Jul | – | – | 10 Oct | 09 Nov | – |
| 16 | Chervonoe | – | 4 Apr | 28 Apr | – | – | 20 Jul | – | – | 13 Oct | 11 Nov | – |
| 17 | Lukomskoe * | – | 5 Apr | 3 May | – | – | 17 Jul | – | – | 17 Oct | 19 Nov | – |
| No | Lake | Mean Annual | Extremal | |
|---|---|---|---|---|
| Maximal (Year) | Minimal (Year) | Maximal (Date) | ||
| 1 | Lubie | 11.74 (2016) | 7.93 (1980) | 26.9 (17 July 2010) |
| 2 | Sławskie | 12.35 (2014) | 9.47 (1980) | 27.8 (27 July 2007) |
| 3 | Gardno | 10.26 (2016) | 7.54 (1996) | 25.4 (15 July 1995) |
| 4 | Łebsko | 10.56 (2014) | 8.18 (1987) | 26.2 (30 July 1994) |
| 5 | Charzykowskie | 11.98 (2018) | 8.23 (1984) | 26.7 (4 August 2018) |
| 6 | Raduńskie Górne | 10.38 (2014) | 7.85 (1980) | 24.8 (12 July 2010) |
| 7 | Gopło | 13.05 (2009) | 9.25 (1974) | 27.8 (29 July 1994) |
| 8 | Jeziorak | 11.67 (2014) | 8.56 (1984) | 29.2 (16 August 1994) |
| 9 | Mikołajskie | 12.05 (2014) | 8.39 (1980) | 27.6 (1 August 1994) |
| 10 | Nidzkie | 11.85 (2018) | 8.06 (1980) | 27.6 (3 August 2018) |
| 11 | Hańcza | 9.66 (2010) | 7.18 (1977) | 26.4 (6 August 1994) |
| 12 | Studzieniczne | 11.83 (2014) | 8.17 (1980) | 27.4 (18 July 2010) |
| 13 | Vygonoshchanskoe | 10.50 (2019) | 7.27 (1993) | 28.5 (18 July 2010) |
| 14 | Naroch | 10.39 (2020) | 6.62 (1976) | 29.7 (16 August 2010) |
| 15 | Driviaty | 10.00(2019) | 6.88 (1977) | 28.8 (31 July 1994) |
| 16 | Chervonoe | 11.66 (2019) | 7.18 (1980) | 32.7 (15 July 2014) |
| 17 | Lukomskoe * | 11.03 (2010) | 7.83 (1980) | 30.1 (23 July 2010) |
| No | Lake | Nov | Dec | Jan | Feb | Mar | Apr | May | Jun | Jul | Aug | Sep | Oct | Year |
|---|---|---|---|---|---|---|---|---|---|---|---|---|---|---|
| 1 | Lubie | 0.064 | 0.051 | 0.033 | 0.030 | 0.050 | 0.074 | 0.088 | 0.083 | 0.067 | 0.065 | 0.070 | 0.062 | 0.061 |
| 2 | Sławskie | 0.054 | 0.037 | 0.023 | 0.028 | 0.032 | 0.054 | 0.056 | 0.056 | 0.055 | 0.056 | 0.051 | 0.046 | 0.045 |
| 3 | Gardno | 0.037 | 0.027 | 0.016 | 0.017 | 0.029 | 0.053 | 0.044 | 0.041 | 0.034 | 0.044 | 0.048 | 0.039 | 0.034 |
| 4 | Łebsko | 0.021 | 0.010 | 0.009 | 0.012 | 0.018 | 0.058 | 0.050 | 0.047 | 0.044 | 0.041 | 0.045 | 0.029 | 0.031 |
| 5 | Charzykowskie | 0.043 | 0.043 | 0.036 | 0.036 | 0.048 | 0.066 | 0.064 | 0.053 | 0.050 | 0.049 | 0.051 | 0.034 | 0.047 |
| 6 | Raduńskie Górne | 0.034 | 0.034 | 0.031 | 0.027 | 0.036 | 0.053 | 0.080 | 0.063 | 0.038 | 0.041 | 0.040 | 0.026 | 0.042 |
| 7 | Gopło | −0.020 | −0.021 | 0.020 | 0.039 | 0.065 | 0.095 | 0.108 | 0.067 | 0.042 | 0.055 | 0.036 | −0.007 | 0.044 |
| 8 | Jeziorak | 0.046 | 0.025 | 0.008 | 0.007 | 0.026 | 0.048 | 0.043 | 0.053 | 0.057 | 0.065 | 0.073 | 0.046 | 0.047 |
| 9 | Mikołajskie | 0.034 | 0.030 | 0.016 | 0.017 | 0.027 | 0.046 | 0.047 | 0.044 | 0.046 | 0.052 | 0.048 | 0.034 | 0.036 |
| 10 | Nidzkie | 0.043 | 0.024 | 0.011 | 0.013 | 0.027 | 0.059 | 0.051 | 0.055 | 0.053 | 0.063 | 0.051 | 0.038 | 0.039 |
| 11 | Hańcza | 0.015 | −0.010 | 0.003 | 0.011 | 0.026 | 0.048 | 0.073 | 0.074 | 0.038 | 0.043 | 0.026 | 0.035 | 0.029 |
| 12 | Studzieniczne | 0.041 | 0.032 | 0.015 | 0.016 | 0.028 | 0.059 | 0.052 | 0.049 | 0.046 | 0.052 | 0.053 | 0.043 | 0.039 |
| 13 | Vygonoshchanskoe | 0.054 | 0.015 | 0.006 | 0.009 | 0.060 | 0.097 | 0.078 | 0.079 | 0.091 | 0.082 | 0.054 | 0.034 | 0.051 |
| 14 | Naroch | 0.063 | 0.030 | 0.008 | 0.004 | 0.024 | 0.076 | 0.070 | 0.076 | 0.083 | 0.070 | 0.033 | 0.042 | 0.048 |
| 15 | Driviaty | 0.062 | 0.031 | 0.007 | 0.001 | 0.028 | 0.043 | 0.068 | 0.068 | 0.041 | 0.030 | 0.043 | 0.018 | 0.037 |
| 16 | Chervonoe | 0.057 | 0.025 | 0.005 | 0.013 | 0.075 | 0.102 | 0.130 | 0.110 | 0.109 | 0.084 | 0.039 | 0.042 | 0.066 |
| 17 | Lukomskoe * | 0.047 | 0.033 | 0.012 | 0.010 | 0.041 | 0.060 | 0.064 | 0.080 | 0.094 | 0.085 | 0.086 | 0.016 | 0.052 |
Disclaimer/Publisher’s Note: The statements, opinions and data contained in all publications are solely those of the individual author(s) and contributor(s) and not of MDPI and/or the editor(s). MDPI and/or the editor(s) disclaim responsibility for any injury to people or property resulting from any ideas, methods, instructions or products referred to in the content. |
© 2023 by the authors. Licensee MDPI, Basel, Switzerland. This article is an open access article distributed under the terms and conditions of the Creative Commons Attribution (CC BY) license (https://creativecommons.org/licenses/by/4.0/).
Share and Cite
Skowron, R.; Sukhovilo, N. The Surface Temperature of Water in Polish and Belarusian Lakes during the Period of Climate Change. Limnol. Rev. 2022, 22, 13-22. https://doi.org/10.3390/limnolrev22010005
Skowron R, Sukhovilo N. The Surface Temperature of Water in Polish and Belarusian Lakes during the Period of Climate Change. Limnological Review. 2022; 22(1):13-22. https://doi.org/10.3390/limnolrev22010005
Chicago/Turabian StyleSkowron, Rajmund, and Nina Sukhovilo. 2022. "The Surface Temperature of Water in Polish and Belarusian Lakes during the Period of Climate Change" Limnological Review 22, no. 1: 13-22. https://doi.org/10.3390/limnolrev22010005
APA StyleSkowron, R., & Sukhovilo, N. (2022). The Surface Temperature of Water in Polish and Belarusian Lakes during the Period of Climate Change. Limnological Review, 22(1), 13-22. https://doi.org/10.3390/limnolrev22010005

