Next Article in Journal
Modelling Forest Fires Using Complex Networks
Next Article in Special Issue
Modified Representations for the Close Evaluation Problem
Previous Article in Journal
The Limited Validity of the Conformable Euler Finite Difference Method and an Alternate Definition of the Conformable Fractional Derivative to Justify Modification of the Method
 
 
Font Type:
Arial Georgia Verdana
Font Size:
Aa Aa Aa
Line Spacing:
Column Width:
Background:
Article

Towards Building the OP-Mapped WENO Schemes: A General Methodology

1
CAPT, LMAM and School of Mathematical Sciences, Peking University, Beijing 100871, China
2
School of Mathematical Sciences, Peking University, Beijing 100871, China
3
Northwest Institute of Nuclear Technology, Xi’an 710024, China
*
Author to whom correspondence should be addressed.
Both authors contributed equally to this work.
Math. Comput. Appl. 2021, 26(4), 67; https://doi.org/10.3390/mca26040067
Submission received: 9 August 2021 / Revised: 7 September 2021 / Accepted: 13 September 2021 / Published: 23 September 2021
(This article belongs to the Special Issue Computational Methods for Coupled Problems in Science and Engineering)

Abstract

A serious and ubiquitous issue in existing mapped WENO schemes is that most of them can hardly preserve high resolutions, but in the meantime prevent spurious oscillations in the solving of hyperbolic conservation laws with long output times. Our goal for this article was to address this widely known problem. In our previous work, the order-preserving (OP) criterion was originally introduced and carefully used to devise a new mapped WENO scheme that performs satisfactorily in long simulations, and hence it was indicated that the OP criterion plays a critical role in the maintenance of low-dissipation and robustness for mapped WENO schemes. Thus, in our present work, we firstly defined the family of mapped WENO schemes, whose mappings meet the OP criterion, as OP-Mapped WENO. Next, we attentively took a closer look at the mappings of various existing mapped WENO schemes and devised a general formula for them. That helped us to extend the OP criterion to the design of improved mappings. Then, we created a generalized implementation of obtaining a group of OP-Mapped WENO schemes, named MOP-WENO-X, as they are developed from the existing mapped WENO-X schemes, where the notation “X” is used to identify the version of the existing mapped WENO scheme. Finally, extensive numerical experiments and comparisons with competing schemes were conducted to demonstrate the enhanced performances of the MOP-WENO-X schemes.

1. Introduction

The essentially non-oscillatory (ENO) schemes [1,2,3,4] and the weighted ENO (WENO) schemes [5,6,7,8] have been developed quite successfully in recent decades to solve the hyperbolic conservation problems, especially those that may generate discontinuities and smooth small-scale structures as time evolves in their solutions, even if the initial condition is smooth. The main purpose of this study was to find a general method to introduce the order-preserving (OP) mapping proposed in our previous work [9] for improving the existing mapped WENO schemes for the approximation of the hyperbolic conservation laws in the form
u t + · F ( u ) = 0 ,
where u = ( u 1 , , u m ) R m is the vector of the conserved variables and F ( u ) is the vector of the Cartesian components of flux. In recent years, there have been many works by Dumbser [10], Boscheri [11,12,13], Tsoutsanis [14,15], Titarev and Toro [16,17,18,19], Semplice [20,21], Puppo [22], Russo [23,24], and others on WENO approaches. These researches embraced a wide range of issues, e.g., the ADER-WENO finite volume schemes, the Cool WENO schemes, the unstructured WENO schemes, the Compact central WENO schemes, and so on. However, because of space limitations, it is very difficult to provide detailed descriptions of them here, and we refer the reader to our references for more details. In the present study, our main concern was to improve the performances of the ( 2 r 1 ) th-order mapped WENO schemes, so we briefly review recent developments in this field in the following.
Harten et al. [1] introduced the ENO schemes. They used the smoothest stencil from r possible candidate stencils based on the local smoothness to perform a polynomial reconstruction such that it yielded high-order accuracy in smooth regions but avoided spurious oscillations at or near discontinuities. Liu, Osher, and Chan [7] introduced the first WENO scheme, an improved version of the ENO methodology with a cell-averaged approach, by using a nonlinear convex combination of all the candidate stencils to achieve a higher order of accuracy than the ENO schemes, while retaining the essential non-oscillatory property at or near discontinuities. In other words, it achieves ( r + 1 ) th-order accuracy from the rth-order ENO schemes [1,2,3] in the smooth regions while behaving similarly to the rth-order ENO schemes in regions including discontinuities. In [8], Jiang and Shu proposed the classic WENO-JS scheme, along with a new measurement for the smoothness of the numerical solutions on substencils (hereafter, denoted by smoothness indicator), by using the sum of the normalized squares of the scaled L 2 -norms of all the derivatives of r local interpolating polynomials, to obtain ( 2 r 1 ) th-order accuracy from the rth-order ENO schemes.
The WENO-JS scheme has become a very popular and quite successful methodology for solving compressible flows modeled through hyperbolic conservation laws in the form of Equation (1). However, it was less than fifth-order for many cases, such as at or near critical points of order n cp = 1 in the smooth regions. Here, we refer to n cp as the order of the critical point; e.g., n cp = 1 corresponds to f = 0 , f 0 and n cp = 2 corresponds to f = 0 , f = 0 , f 0 . In particular, Henrick et al. [25] identified that the fifth-order WENO-JS scheme fails to yield the optimal convergence order at or near critical points where the first derivative vanishes but the third derivative does not. Then, in the same article, they derived the necessary and sufficient conditions on the nonlinear weights for optimality of the convergence rate of the fifth-order WENO schemes and these conditions were reduced to a simpler sufficient condition [26] which could be easily extended to the ( 2 r 1 ) th-order WENO schemes [27]. Moreover, also in [25], Henrick et al. devised the original mapped WENO scheme, named WENO-M hereafter, by constructing a mapping function that satisfies the sufficient condition to achieve the optimal order of accuracy.
Later, following the idea of incorporating a mapping procedure to keep the nonlinear weights of the convex combination of stencils as near as possible to the ideal weights of optimal order accuracy, various versions of mapped WENO schemes have been successfully proposed. In [27], Feng et al. rewrote the mapping function of the WENO-M scheme in a simple and more meaningful form and then extended it to a general class of improved mapping functions, leading to the family of the WENO-IM( k , A ) schemes, where k is a positive even integer and A a positive real number. It was indicated that by taking k = 2 and A = 0.1 in the WENO-IM( k , A ) scheme, far better numerical solutions with less dissipation and higher resolution could be obtained than that of the WENO-M scheme. Unfortunately, the numerical experiments in [28] showed that the seventh and ninth-order WENO-IM(2, 0.1) schemes generated evident spurious oscillations near discontinuities when the output time was large. In addition, our numerical experiments, as shown in Figures 10, 12 and 14, indicate that, even for the fifth-order WENO-IM(2, 0.1) scheme, the spurious oscillations are also produced when the grid number increases or a different initial condition is used. Recently, Feng et al. [29] pointed out that, when the WENO-M scheme is used for solving the problems with discontinuities for long output times, its mapping function may amplify the effect from the non-smooth stencils, leading to a potential loss of accuracy near discontinuities. To amend this drawback, a piecewise polynomial mapping function with two additional requirements, that is, g ( 0 ) = 0 and g ( 1 ) = 0 ( g ( x ) denotes the mapping function), to the original criteria in [25] was proposed. The recommended WENO-PM6 scheme [29] achieved significantly higher resolution than the WENO-M scheme when computing the one-dimensional linear advection problem with long output times. However, it may generate spurious oscillations near the discontinuities, as shown in Figure 8 of [27] and Figures 3–8 of [28].
More mapped WENO schemes, such as the WENO-PPMn [30], WENO-RM( m n 0 ) [28], WENO-MAIMi [31], WENO-ACM [32] schemes, and others, have been successfully developed to enhance the performances of the classic WENO-JS scheme in some ways, such as letting it achieve optimal convergence orders near critical points in smooth regions; having less numerical dissipation; letting it achieve higher resolutions near discontinuities; or reducing the computational costs. See the references for more details. However, as mentioned in previously published literature [27,28], most of the existing improved mapped WENO schemes could not prevent the spurious oscillations near discontinuities, especially for long-output-time simulations. Moreover, when simulating the two-dimensional problems with strong shock waves, the post-shock oscillations, which were systematically studied for WENO schemes by Zhang et al. [33], become very severe in the solutions of most of the existing improved mapped WENO schemes [32].
In our previous study [9], we studied the nonlinear weights of the existing mapped WENO schemes by taking the ones developed in [9,27,29,31] as examples. It was found that the order of the nonlinear weights for the substencils of the same global stencil has been changed at many points in the mapping processes of all these considered mapped WENO schemes. The order-change of nonlinear weights is caused by weight increasing of non-smooth substencils and weight decreasing of smooth substencils. It was revealed that this is the essential cause of the potential loss of accuracy of the WENO-M scheme and the spurious oscillation generation of the existing improved mapped WENO schemes, through theoretical analysis and extensive numerical tests. In the same article, the definition of the order-preserving (OP) mapping was given and suggested as an additional criterion in the design of the mapping function. Then a new mapped WENO scheme with its mapping function satisfying the additional criterion was proposed. Extensive numerical experiments showed that this scheme can achieve the optimal convergence order of accuracy, even at critical points. It also can decrease the numerical dissipation and obtain high resolution, but does not generate spurious oscillation near discontinuities, even if the output time is large. Moreover, it was observed clearly that it exhibits a significant advantage in reducing the post-shock oscillations when calculating the problems with strong shock waves in two dimensions.
In this article, the idea of introducing the OP criterion into the design of the mapping functions proposed in [9] is extended to various existing mapped WENO schemes. First of all, we give the common name of OP-Mapped WENO to the family of the mapped WENO schemes whose mappings are OP. A general formula for the mapping functions of various existing mapped WENO schemes is presented, which allows the extension of the OP criterion to all existing mapped WENO schemes. The notation MOP-WENO-X is used to denote the improved mapped WENO scheme considering the OP criterion based on the existing WENO-X scheme. A new function named minDist is defined (see Definition 4 in Section 3.3 below). A general algorithm to construct OP mappings through the existing mapping functions by using the minDist function is proposed.
Extensive numerical tests were conducted to demonstrate the performances of the MOP-WENO-X schemes: (1) A series of accuracy tests show the abilities of the MOP-WENO-X schemes to achieve optimal convergence order in smooth regions with first-order critical points and their advantages in long-output-time simulations of problems with very high-order critical points. (2) The one-dimensional linear advection equation with two kinds of initial conditions for long output times are presented to demonstrate that the MOP-WENO-X schemes can obtain high resolution, and meanwhile avoid spurious oscillation near discontinuities. (3) Some benchmark tests with strong shock waves modeled via the two-dimensional Euler equations were computed. It is clear that the MOP-WENO-X schemes also enjoy a significant advantage in reducing the post-shock oscillations.
The remainder of this paper is organized as follows. In Section 2, we briefly review the preliminaries to understand the finite volume method and the procedures of the WENO-JS [8], WENO-M [25], and other versions of mapped WENO schemes. Section 3 presents a general method to introduce the OP mapping for improving the existing mapped WENO schemes. Some numerical results are provided in Section 4 to illustrate the advantages of the proposed WENO schemes. Finally, concluding remarks are given in Section 5 to close this paper.

2. Brief Review of the WENO Schemes

For simplicity of presentation but without loss of generality, we denote our topic with the following one-dimensional linear hyperbolic conservation equation:
u t + f ( u ) x = 0 , x l < x < x r , t > 0 ,
with the initial condition u ( x , 0 ) = u 0 ( x ) . We confine our attention to the uniform meshes in this paper, and for the WENO method with non-uniform meshes, one can refer to [34,35]. Throughout this paper, we assume that the given domain [ x l , x r ] is discretized into the set of uniform cells I j : = [ x j 1 / 2 , x j + 1 / 2 ] , j = 1 , , N with the cell size Δ x = x r x l N . The associated cell centers and cell boundaries are denoted by x j = x l + ( j 1 / 2 ) Δ x and x j ± 1 / 2 = x j ± Δ x / 2 , respectively. The notation u ¯ ( x j , t ) = 1 Δ x x j 1 / 2 x j + 1 / 2 u ( ξ , t ) d ξ indicates the cell average of I j . The one-dimensional linear hyperbolic conservation equation in Equation (2) can be approximated by a system of ordinary differential equations, yielding the semi-discrete finite volume form:
d u ¯ j ( t ) d t L ( u j ) , L ( u j ) = 1 Δ x f ^ j + 1 / 2 f ^ j 1 / 2 ,
where u ¯ j ( t ) is the numerical approximation of the cell average u ¯ ( x j , t ) , and the numerical flux f ^ j ± 1 / 2 is a replacement of the physical flux function f ( u ) at the cell boundaries x j ± 1 / 2 and it is defined by f ^ j ± 1 / 2 = f ^ ( u j ± 1 / 2 , u j ± 1 / 2 + ) . u j ± 1 / 2 ± refer to the limits of u, and their values of u j ± 1 / 2 ± can be obtained by reconstruction, for instance, the WENO reconstruction procedures shown later. In this paper, we use the global Lax–Friedrichs flux:
f ^ ( a , b ) = 1 2 f ( a ) + f ( b ) α ( b a ) ,
where α = max u | f ( u ) | is a constant and the maximum is taken over the whole range of u.

2.1. The WENO-JS Reconstruction

Firstly, we review the process of the classic fifth-order WENO-JS reconstruction [8]. For brevity, we describe only the reconstruction procedure of the left-biased u j + 1 / 2 , and the right-biased one u j + 1 / 2 + can trivially be computed by mirror symmetry with respect to the location x j + 1 / 2 of u j + 1 / 2 . We drop the subscript “-” below just for simplicity of notation.
To construct the values of u j + 1 / 2 from known cell average values u ¯ j , a 5-point global stencil S 5 = { I j 2 , I j 1 , I j , I j + 1 , I j + 2 } is used in the fifth-order WENO-JS scheme. It is subdivided into three 3-point substencils S s = { I j + s 2 , I j + s 1 , I j + s } with s = 0 , 1 , 2 . It is known that the third-order approximations of u ( x j + 1 / 2 , t ) associated with these substencils are explicitly given by
u j + 1 / 2 0 = 1 6 ( 2 u ¯ j 2 7 u ¯ j 1 + 11 u ¯ j ) , u j + 1 / 2 1 = 1 6 ( u ¯ j 1 + 5 u ¯ j + 2 u ¯ j + 1 ) , u j + 1 / 2 2 = 1 6 ( 2 u ¯ j + 5 u ¯ j + 1 u ¯ j + 2 ) .
Then the u j + 1 / 2 of global stencil S 5 is computed by a weighted average of those third-order approximations of substencils, taking the form
u j + 1 / 2 = s = 0 2 ω s u j + 1 / 2 s .
The nonlinear weights ω s in the classic WENO-JS scheme are defined as
ω s JS = α s JS l = 0 2 α l JS , α s JS = d s ( ϵ + β s ) 2 , s = 0 , 1 , 2 ,
where d 0 , d 1 , d 2 are called the ideal weights of ω s since they generate the central upstream fifth-order scheme for the global stencil S 5 . It is known that d 0 = 0.1 , d 1 = 0.6 , d 2 = 0.3 and in smooth regions we can get s = 0 2 d s u j + 1 / 2 s = u ( x j + 1 / 2 , t ) + O ( Δ x 5 ) . ϵ is a small positive number introduced to prevent the denominator from becoming zero. The parameters β s are the smoothness indicators for the third-order approximations u j + 1 / 2 s and their explicit formulas can be obtained from [8], taking the form
β 0 = 13 12 u ¯ j 2 2 u ¯ j 1 + u ¯ j 2 + 1 4 u ¯ j 2 4 u ¯ j 1 + 3 u ¯ j 2 , β 1 = 13 12 u ¯ j 1 2 u ¯ j + u ¯ j + 1 2 + 1 4 u ¯ j 1 u ¯ j + 1 2 , β 2 = 13 12 u ¯ j 2 u ¯ j + 1 + u ¯ j + 2 2 + 1 4 3 u ¯ j 4 u ¯ j + 1 + u ¯ j + 2 2 .
In general, the fifth-order WENO-JS scheme is able to recover the optimal convergence rate of accuracy in smooth regions. However, when at or near critical points where the first derivative vanishes but the third derivative does not simultaneously, it loses accuracy and its convergence rate of accuracy decreases to third-order or even less. We refer to [25] for more details.

2.2. The Mapped WENO Reconstructions

To address the issue of the WENO-JS scheme mentioned above, Henrick et al. [25] made a systematic truncation error analysis of Equation (3) in its corresponding finite difference version by using the Taylor series expansions of the Equation (4), and hence they derived the necessary and sufficient conditions on the weights for the fifth-order WENO scheme to achieve the formal fifth-order of convergence at smooth regions of the solution, taking the form
s = 0 2 ( ω s ± d s ) = O ( Δ x 6 ) , s = 0 2 A s ( ω s + ω s ) = O ( Δ x 3 ) , ω s ± d s = O ( Δ x 2 ) ,
where the superscripts “+” and “−” on ω s correspond to their use in either u j + 1 / 2 s and u j 1 / 2 s stencils respectively, and the parameter A s is independent of Δ x and it is given explicitly in Equation (16) in [25] for the fifth-order version WENO-JS scheme. Since the first equation in Equation (7) always holds due to the normalization, a simpler sufficient condition for the fifth-order convergence is given as [26]
ω s ± d s = O ( Δ x 3 ) , s = 0 , 1 , 2 .
The conditions Equation (7) or Equation (8) may not hold in the case of smooth extrema or at critical points when the fifth-order WENO-JS scheme is used. An innovative idea of fixing this deficiency, originally proposed by Henrick in [25], is to design a mapping function to make ω s approximating the ideal weights d s at critical points to the required third order O ( Δ x 3 ) . The first mapping function devised by Henrick et al. in [25] is given as
g M s ( ω ) = ω d s + d s 2 3 d s ω + ω 2 d s 2 + ( 1 2 d s ) ω , s = 0 , 1 , 2 .
In Equation (9), ω = ω JS is recommended according to the theoretical analysis of WENO-M by Henrick in [25] where the good properties of ω JS to guarantee the success of the mapped function have been analyzed very carefully. Actually, ω = ω JS is commonly used in almost all maping functions [9,27,28,29,30,31,32] although some other kind of nonlinear weights may also be available.
We can verify that g M s ( ω ) meets the conditions in Equation (8) as it is a non-decreasing monotone function on [ 0 , 1 ] with finite slopes and satisfies the following properties.
Lemma 1.
The mapping function g M s ( ω ) defined by Equation (9) satisfies:
C1. 0 g M s ( ω ) 1 , g M s ( 0 ) = 0 , g M s ( 1 ) = 1 ;
C2. g M s ( d s ) = d s ;
C3. g M s ( d s ) = g M s ( d s ) = 0 .
Following Henrick’s idea, a great many improved mapping functions were successfully proposed [9,27,28,29,30,31,32]. To clarify our major concern and provide convenience to readers but for brevity in the description, we only state some mapping functions in the following context, and we refer to references for properties similar to Lemma 1 and more details of these mapping functions.
⯀ WENO-IM ( k , A ) [27]
g IM s ( ω ; k , A ) = d s + ω d s k + 1 A ω d s k A + ω ( 1 ω ) , A > 0 , k = 2 n , n N + .
⯀ WENO-PMk [29]
g PM s ( ω ) = c 1 ( ω d s ) k + 1 ( ω + c 2 ) + d s , k 2 ,
where c 1 , c 2 are constants with specified parameters k and d s , taking the following forms
c 1 = ( 1 ) k k + 1 d s k + 1 , 0 ω d s , k + 1 ( 1 d s ) k + 1 , d s < ω 1 , c 2 = d s k + 1 , 0 ω d s , d s ( k + 2 ) k + 1 , d s < ω 1 .
⯀ WENO-PPMn [30]
g s PPM n s ( ω ) = g s , L PPM n s ( ω ) , ω [ 0 , d s ] g s , R PPM n s ( ω ) , ω ( d s , 1 ] ,
and for n = 5 ,
g s , L PPM 5 s ( ω ) = d s 1 + ( a 1 ) 5 , g s , R PPM 5 s ( ω ) = d s + b 4 ω d s 5 .
where a = ω / d s , b = 1 / ( d s 1 ) .
⯀ WENO-RM ( m n 0 ) [28]
g RM s ( ω ) = d s + ( ω d s ) n + 1 a 0 + a 1 ω + + a m + 1 ω m + 1 , m n 8 ,
where
a i = C n + 1 i ( d s ) n i , i = 0 , 1 , , m , a m + 1 = ( 1 d s ) n i = 0 m a i .
Furthermore, m = 2 , n = 6 is recommended in [28], then
g RM s ( ω ) = d s + ( ω d s ) 7 a 0 + a 1 ω + a 2 ω 2 + a 3 ω 3 , ω [ 0 , 1 ]
where
a 0 = d s 6 , a 1 = 7 d s 5 , a 2 = 21 d s 4 , a 3 = ( 1 d s ) 6 i = 0 2 a i .
⯀ WENO-MAIM1 [31]
g MAIM 1 s ω = d s + f FIM · ( ω d s ) k + 1 f FIM · ( ω d s ) k + ω d s m s ω + ϵ A ( 1 ω ) 1 d s m s ( 1 ω ) + ϵ A ,
with
f FIM = A 1 + ( 1 ) k 2 + 1 + ( 1 ) k + 1 2 · sgm ω d s , δ , 1 , k ,
and
sgm x , δ , B , k = x | x | , | x | δ , x B δ 2 x 2 k + 3 + | x | , | x | < δ .
In Equations (18)–(20), k N + , A > 0 , δ > 0 with δ 0 , ϵ A is a very small positive number to prevent the denominator from becoming zero, and m s α s k + 1 , M with M being a finite positive constant real number and α s a positive constant that only depends on s in the fifth-order WENO-MAIM1 scheme. In Equation (20), the positive parameter B is a scale transformation factor introduced to adjust the shape of the mapping function and it is set to be 1 in WENO-MAIM1 while to be other values in the following WENO-ACM schemes.
⯀ WENO-ACM [32]
g ACM s ( ω ) = d s 2 sgm ( ω CFS s , δ s , B , k ) + d s 2 , ω d s , 1 d s 2 sgm ( ω CFS ¯ s , δ s , B , k ) + 1 + d s 2 , ω > d s ,
where CFS s ( 0 , d s ) , CFS ¯ s = 1 1 d s d s × CFS s with CFS ¯ s ( d s , 1 ) , and δ s < min { CFS s , d s CFS s , ( 1 d s ) 1 CFS s d s , 1 d s d s CFS s } .
⯀ MIP-WENO-ACMk [9]
g MIP ACM k s ( ω ) = k s ω , ω [ 0 , CFS s ) , d s , ω [ CFS s , CFS ¯ s ] , 1 k s ( 1 ω ) , ω ( CFS ¯ s , 1 ] ,
where CFS s ( 0 , d s ) , CFS ¯ s = 1 1 d s d s × CFS s with CFS ¯ s ( d s , 1 ) , and k s 0 , d s CFS s .
By using the mapping function g X s ( ω ) , where the superscript “X” corresponds to “M,” “PM6,” or “IM,” etc., the nonlinear weights of the associated WENO-X scheme are defined as
ω s X = α s X l = 0 2 α l X , α s X = g X s ( ω s JS ) , s = 0 , 1 , 2 ,
where ω s JS are calculated by Equation (6).
In other studies, it has been analyzed and proved in detail that the WENO-X schemes can retain the optimal order of accuracy in smooth regions even at or near critical points.

3. A General Method to Introduce Order-Preserving Mapping for Mapped WENO Schemes

3.1. The OP-Mapped WENO

Before giving Definition 3 below, to maintain coherence and for the readers’ convenience, we state the definition of order-preserving/non-order-preserving mapping and OP/non-OP point proposed in [9].
Definition 1 (order-preserving/non-order-preserving mapping).
Suppose that g X s ( ω ) , s = 0 , , r 1 is a monotone increasing piecewise mapping function of the ( 2 r 1 ) th-order mapped WENO-X scheme. If for m , n { 0 , , r 1 } , when ω m > ω n , we have
g X m ( ω m ) g X n ( ω n ) .
and when ω m = ω n , we have g X m ( ω m ) = g X n ( ω n ) , then we say the set of mapping functions { g X s ( ω ) , s = 0 , , r 1 } is order-preserving (OP). Otherwise, we say the set of mapping functions { g X s ( ω ) , s = 0 , , r 1 } is non-order-preserving (non-OP).
Definition 2 (OP/non-OP point).
Let S 2 r 1 denote the ( 2 r 1 ) -point global stencil centered around x j . Assume that S 2 r 1 is subdivided into r-point substencils { S 0 , , S r 1 } and ω s are the nonlinear weights corresponding to the substencils S s with s = 0 , , r 1 , which are used as the independent variables by the mapping function. Suppose that g X s ( ω ) , s = 0 , , r 1 is the mapping function of the mapped WENO-X scheme; then we say that a non-OP mapping process occurs at x j , if m , n { 0 , , r 1 } , s.t.
ω m ω n g X m ( ω m ) g X n ( ω n ) < 0 , if ω m ω n , g X m ( ω m ) g X n ( ω n ) , if ω m = ω n .
In addition, we say x j is a non-OP point. Otherwise, we say x j is an OP point.
Definition 3 (OP-Mapped WENO).
The family of the mapped WENO schemes with OP mappings is collectively referred to asOP-Mapped WENOin our study.

3.2. A General Formula for the Existing Mapping Functions

We rewrite the mapping function of the WENO-X scheme, that is, g X s ( ω ) , s = 0 , 1 , , r 1 , to be a general formula, given as
g X ω ; m P , P s , 1 , , P s , m P = g X s ( ω ) ,
where m P is the number of the parameters related with s indicating the substencil, and P s , 1 , , P s , m P are these parameters. Taking the WENO-IM( k , A ) scheme as an example, besides the independent variable ω , there are the other three parameters in its mapping function (see Equation (10)), namely, d s , k and A. It is easy to know that d s is related to the substencil S s , and k and A are not. Thus, for the WENO-IM( k , A ) scheme, we have m P = 1 and P s , 1 = d s . We can also determine the value of m P and the corresponding P s , 1 , , P s , m P of other WENO schemes. Clearly, we have m P = 0 for the WENO-JS scheme and m P 1 for other mapped WENO schemes. In Table 1, taking nine different WENO schemes as examples, we have presented their parameters of m P and P s , 1 , , P s , m P . Let n X denote the order of the specified critical point, namely, ω = d s , of the mapping function of the WENO-X scheme, that is, g X s ( d s ) = = g X s ( n X ) ( d s ) = 0 , g X s ( n X + 1 ) ( d s ) 0 . To simplify the description of Theorem 2 below, we present n X of the WENO-X scheme in the sixth column of Table 1.
Lemma 2.
For the WENO-X scheme shown in Table 1, the mapping function g X s ( ω ) , s = 0 , 1 , , r 1 is monotonically increasing over [ 0 , 1 ] .
Proof. 
See the corresponding references given in the last column of Table 1. □

3.3. The New Mapping Functions

Firstly, we give the minDist function by the following definition.
Definition 4 (minDist function).
Define theminDistfunction as follows:
minDist x 0 , , x r 1 ; d 0 , , d r 1 ; ω = x k , k = min ( IndexOf ( min { | ω d 0 | , | ω d 1 | , , | ω d r 1 | } ) ) ,
where d s , s = 0 , , r 1 is the optimal weight; ω is the nonlinear weight, being the independent variable of the mapping function; and the function IndexOf ( · ) returns a set of the subscripts of “·”—that is, if min | ω d 0 | , | ω d 1 | , , | ω d r 1 | = | ω d m 1 | = | ω d m 2 | = = | ω d m M | , then
IndexOf ( min | ω d 0 | , | ω d 1 | , , | ω d r 1 | ) = m 1 , m 2 , , m M .
Let D = d 0 , d 1 , , d r 1 be an array of all the ideal weights of the ( 2 r 1 ) th-order WENO schemes. We build a new array by sorting the elements of D in ascending order—that is, D ˜ = d ˜ 0 , d ˜ 1 , , d ˜ r 1 . In other words, the arrays D and D ˜ have the same elements with different arrangements, and the elements of D ˜ satisfy
0 < d ˜ 0 < d ˜ 1 < < d ˜ r 1 < 1 .
Definition 5.
Let G = g X 0 ( ω ) , g X 1 ( ω ) , , g X r 1 ( ω ) be an array of all the mapping functions of the ( 2 r 1 ) th-order mapped WENO-X scheme. We define a new array by sorting the elements of G in a new order—that is, G ˜ = g X ˜ 0 ( ω ) , g X ˜ 1 ( ω ) , , g X ˜ r 1 ( ω ) , where g X ˜ s ( ω ) is the mapping function associated with d ˜ s .
Lemma 3.
Denote d ˜ 1 = 0 , d ˜ r = 1 . Let d ˚ 1 = d ˜ 1 , d ˚ 0 = d ˜ 0 + d ˜ 1 2 , , d ˚ r 2 = d ˜ r 2 + d ˜ r 1 2 , d ˚ r 1 = d ˜ r . For i = 0 , 1 , , r 1 , if ω ( d ˚ i 1 , d ˚ i ] , then
min ( IndexOf min { | ω d ˜ 0 | , | ω d ˜ 1 | , , | ω d ˜ r 1 | } ) = i .
Proof. 
(1) We first prove the cases of i = 1 , , r 2 . When d ˜ i ω d ˜ i + d ˜ i + 1 2 , as Equation (28) holds, we get
0 ω d ˜ i d ˜ i + 1 ω < < d ˜ r 1 ω , 0 ω d ˜ i < ω d ˜ i 1 < < ω d ˜ 0 .
Similarly, when d ˜ i 1 + d ˜ i 2 < ω < d ˜ i , we get
0 < d ˜ i ω < ω d ˜ i 1 < < ω d ˜ 0 , 0 < d ˜ i ω < d ˜ i + 1 ω < < d ˜ r 1 ω .
Then, according to Equations (29) and (30), we obtain
min | ω d ˜ 0 | , , | ω d ˜ i 1 | , | ω d ˜ i | , | ω d ˜ i + 1 | , , | ω d ˜ r 1 | = | ω d ˜ i | = | ω d ˜ i + 1 | ,
where i = 1 , , r 2 and the last equality holds if and only if ω d ˜ i = d ˜ i + 1 ω .
(2) For the case of i = 0 , we know that ω ( d ˚ 1 , d ˚ 0 ] = 0 , d ˜ 0 + d ˜ 1 2 . When d ˜ 0 ω d ˜ 0 + d ˜ 1 2 , we have
0 ω d ˜ 0 d ˜ 1 ω < < d ˜ r 1 ω .
Additionally, when 0 < ω < d ˜ 0 , we have
0 < d ˜ 0 ω < d ˜ 1 ω < < d ˜ r 1 ω .
Then, according to Equations (32) and (33), we obtain
min | ω d ˜ 0 | , , | ω d ˜ i 1 | , | ω d ˜ i | , | ω d ˜ i + 1 | , , | ω d ˜ r 1 | = | ω d ˜ 0 | = | ω d ˜ 1 | ,
where the last equality holds if and only if ω d ˜ 0 = d ˜ 1 ω .
(3) As the proof of the case of i = r 1 is very similar to that of the case i = 0 , we do not state it here for simplicity. Additionally, we can get that, if ω ( d ˚ r 2 , d ˚ r 1 ] , then
min | ω d ˜ 0 | , , | ω d ˜ i 1 | , | ω d ˜ i | , | ω d ˜ i + 1 | , , | ω d ˜ r 1 | = | ω d ˜ r 1 | .
(4) Thus, according to Equation (4) and Equations (31), (34), and (35), we obtain
min ( IndexOf ( min { | ω d ˜ 0 | , , | ω d ˜ i 1 | , | ω d ˜ i | , | ω d ˜ i + 1 | , , | ω d ˜ r 1 | } ) ) = i .
Now, we have finished the proof of Lemma 3. □
For simplicity of description and according to Lemma 3, we introduce intervals Ω i defined as follows.
Ω i = ω | minDist ( d ˜ 0 , d ˜ 1 , , d ˜ r 1 ; d ˜ 0 , d ˜ 1 , , d ˜ r 1 ; ω ) = d ˜ i = ( d ˚ i 1 , d ˚ i ] ,
where i = 0 , 1 , , r 1 .
If ω Ω = ( 0 , 1 ] , it is trivial to verify that: (1) Ω = Ω 0 Ω 1 Ω r 1 ; (2) for i , j = 0 , 1 , , r 1 and i j , Ω i Ω j = .
Lemma 4.
Let a , b { 0 , 1 , , r 1 } and WENO-X be the scheme shown in Table 1. For a b and ω α Ω a , ω β Ω b , we have the following properties: C1. If a = b and ω α > ω β , then g X ˜ a ( ω α ) g X ˜ b ( ω β ) ; C2. If a = b and ω α = ω β , then g X ˜ a ( ω α ) = g X ˜ b ( ω β ) ; C3. If a > b , then ω α > ω β , g X ˜ a ( ω α ) > g X ˜ b ( ω β ) .
Proof. 
(1) We can directly get properties C1 and C2 from Lemma 2. (2) As a > b , according to Equations (28) and (36), we know that the interval Ω a must be on the right side of the interval Ω b , and ω α Ω a , ω β Ω b is given, then we get ω α > ω β . Trivially, according to Definition 5, or by intuitively observing the curves of the mapping function g X ˜ s ( ω ) as shown in Figure 1, we can obtain g X ˜ a ( ω α ) > g X ˜ b ( ω β ) . Thus, C3 is proved. □
By employing the minDist function, we built a general method to introduce the OP criterion into the existing mappings which are non-OP. The general method is stated in Algorithm 1. It is worthy to note that Algorithm 1 actually does some sorting of the parameters of P s , 1 , , P s , m P in Equation (25), and this plays an important role in constructing the OP mappings from the existing non-OP mappings.
Theorem 1.
The set of mapping functions g MOP X s ( ω s JS ) , s = 0 , 1 , , r 1 obtained through Algorithm 1 is OP.
Proof. 
Let ω m JS , ω n JS [ 0 , 1 ] and m , n { 0 , 1 , , r 1 } . According to Algorithm 1 and without loss of generality, we can assume that ω m JS Ω k m , ω n JS Ω k n , and then we get
g MOP X m ( ω m JS ) = g X ω m JS ; m P , P k m , 1 , , P k m , m P , g MOP X n ( ω n JS ) = g X ω n JS ; m P , P k n , 1 , , P k n , m P .
It is easy to verify that
g X ω m JS ; m P , P k m , 1 , , P k m , m P = g X ˜ k m ( ω m JS ) , g X ω n JS ; m P , P k n , 1 , , P k n , m P = g X ˜ k n ( ω n JS ) .
Therefore, according to Lemma 4, we can finish the proof trivially. □
We now define the modified weights which are OP as follows:
ω s MOP X = α s MOP X l = 0 r 1 α l MOP X , α s MOP X = g MOP X s ( ω s JS ) , s = 0 , , r 1 ,
where g MOP X s ( ω s JS ) is obtained from Algorithm 1. The associated scheme will be referred to as MOP-WENO-X.
The mapping functions of the WENO-X schemes presented in Table 1 and those of the associated MOP-WENO-X schemes are shown in Figure 1. We can find that, for the mapping functions of the MOP-WENO-X schemes: (1) the monotonicity over the whole domain ( 0 , 1 ) is maintained; (2) the differentiability is reduced and limited to the neighborhood of the optimal weights d s ; (3) the OP property is obtained. We summarize these properties as follows.
Algorithm 1: A general method to construct OP mappings.
Mca 26 00067 i001
Theorem 2.
Let Ω ¯ i = ω Ω i ω Ω i , i = 0 , 1 , , r 1 . The mapping function g MOP X s ( ω ) obtained from Althorithm 1 satisfies the following properties:
C1. For ω Ω ¯ i , i = 0 , 1 , , r 1 , g MOP X s ( ω ) 0 ;
C2. For ω Ω , 0 g MOP X s ( ω ) 1 , and g MOP X s ( 0 ) = 0 , g MOP X s ( 1 ) = 1 ;
C3. For s 0 , 1 , , r 1 , d ˜ s Ω s , and g MOP X s ( d ˜ s ) = d ˜ s , g MOP X s ( d ˜ s ) = = g MOP X s ( n X ) ( d ˜ s ) = 0 where n X is given in Table 1;
C4. g MOP X s ( 0 ) = g X s ( 0 ) , g MOP X s ( 1 ) = g X s ( 1 ) ;
C5. For m , n 0 , , r 1 , if ω m > ω n , then g MOP X m ( ω m ) g MOP X n ( ω n ) , and if ω m = ω n , then g MOP X m ( ω m ) = g MOP X n ( ω n ) .
Remark 1.
(1) The properties C 1 C 3 are designed to recover the optimal convergence rate of accuracy in a smooth region even in the presence of critical points, and the detailed theoretical analysis has been proposed in Section 5 of [25], Section 3.2 of [27], Section 3.1 of [29], etc. (2) The property C 4 is designed to decrease the effect from non-smooth stencils, and we refer to Sections 3.1 and 3.2 of [29], Remark 1 of [28], Section 2.2 of [30], and Section 3.3 of [31] for more details. (3) The property C 5 is designed to enhance the performance for long-output-time simulations and to remove or reduce post-shock numerical oscillations, and we have analyzed this in [9] systematically and carefully.

3.4. Convergence Properties

According to Theorem 2, we get the convergence properties for the ( 2 r 1 ) th-order MOP-WENO-X schemes as given in Theorem 3. The proof is almost identical to that of the associated WENO-X schemes in the references presented in Table 1.
Theorem 3.
The requirements for the ( 2 r 1 ) th-order MOP-WENO-X schemes to achieve the optimal order of accuracy are identical to that of the associated ( 2 r 1 ) th-order WENO-X schemes.
For the integrity of this paper and the benefit of the reader, we concisely express the following Corollaries of Theorem 3.
Corollary 1.
If n mapping is used in the ( 2 r 1 ) th-order MOP-WENO-M scheme, then for different values of n cp , the weights ω s MOP M in the ( 2 r 1 ) th-order MOP-WENO-M scheme satisfy
ω s MOP M d s = O ( Δ x ) 3 n × ( r 1 n cp ) , r = 2 , 3 , , 9 , n cp = 0 , 1 , , r 1 ,
and the rate of convergence is
r c = 2 r 1 , if n cp = 0 , , 3 n 1 3 n r 1 , ( 3 n + 1 ) ( r 1 ) 3 n × n cp , if n cp = 3 n 1 3 n r 1 + 1 , , r 1 ,
where x is a floor function of x.
Proof. 
The proof is almost identical to that of Lemma 6 in [31]. □
Corollary 2.
When n cp = 1 , the ( 2 r 1 ) th-order MOP-WENO-IM( k , A ) schemes can achieve the optimal order of accuracy if the mapping function g MOP IM s ( ω ) is applied to the original weights in the ( 2 r 1 ) th-order WENO-JS schemes with the requirement of k 2 (except for the case of r = 2 ).
Proof. 
The proof is almost identical to that of Theorem 2 in [27]. □
Corollary 3.
The ( 2 r 1 ) th-order MOP-WENO-PMk schemes can achieve the optimal order of accuracy if the mapping function g MOP PM s ( ω ) is applied to the original weights in the ( 2 r 1 ) th-order WENO-JS schemes with specific requirements for k in following different cases: (I) require k 1 for n cp = 0 ; (II) require k 1 for n cp = 1 ; (III) require k 3 for n cp = 2 .
Proof. 
The proof is almost identical to that of Proposition 1 in [29]. □
Corollary 4.
The ( 2 r 1 ) th-order MOP-WENO-RM( m n 0 ) schemes can recover the optimal order of accuracy if the mapping function g MOP RM s ( ω ) is applied to the original weights in the ( 2 r 1 ) th-order WENO-JS schemes with requirement of n 1 + n cp r 1 n cp for different values of n cp with 1 n cp < r 1 .
Proof. 
The proof is almost identical to that of Theorem 3 in [28]. □
Corollary 5.
Let x be a ceiling function of x. For n cp < r 1 , the ( 2 r 1 ) th-order MOP-WENO-MAIM1 schemes can achieve the optimal order of accuracy if the mapping function ( g MOP MAIM 1 ) s ( ω ) is applied to the original weights in the ( 2 r 1 ) th-order WENO-JS schemes with requirement of k k MAIM , where
k MAIM = r r 1 n cp 2 + 1 + 1 r r 1 n cp 2 2 .
Proof. 
The proof is almost identical to that of Theorem 2 in [31]. □
Corollary 6.
For n cp < r 1 , the ( 2 r 1 ) th-order MOP-WENO-ACM schemes can achieve the optimal order of accuracy if the mapping function ( g MOP ACM ) s ( ω ) is applied to the original weights in the ( 2 r 1 ) th-order WENO-JS schemes.
Proof. 
The proof is almost identical to that of Theorem 2 in [32]. □
Corollary 7.
When CFS s d ˜ 0 , for n cp < r 1 , the ( 2 r 1 ) th-order MOP-WENO-ACMk schemes can achieve the optimal order of accuracy if the mapping function ( g MOP ACM k ) s ( ω ) is applied to the original weights in the ( 2 r 1 ) th-order WENO-JS schemes.
Proof. 
The proof is almost identical to that of Theorem 2 in [9]. □

4. Numerical Results

In this section, we compare the numerical performances of the MOP-WENO-X schemes with the associated existing mapped WENO-X schemes shown in Table 1, and the classic WENO-JS scheme. To further demonstrate the superiority of the MOP-WENO-X schemes, some comparisons with other WENO type reconstructions, e.g., WENO-Z [26] (in Section 4.1 and Section 4.2) and the central WENO schemes of WENO-NW6 [36], WENO-CU6 [37], and WENO- θ 6 [38] (in Section 4.3), have also been performed. As the performances of the WENO-ACM scheme and the MOP-WENO-ACM scheme are almost identical to those of the MIP-WENO-ACMk scheme and the MOP-WENO-ACMk scheme, respectively, we do not present the solutions of the WENO-ACM scheme and the MOP-WENO-ACM scheme below for simplicity. It should be noted that although we mainly provide the solutions of the fifth-order WENO methods (WENO5) in present study, the methodology proposed in this paper can be successfully extended to higher order WENO methods, such as WENO-7 or WENO-9, and because of the space limitations, we do not show their solutions here.
Typical one-dimensional linear advection equation and two-dimensional Euler equations, with different initial conditions, are used to test the considered schemes. The presentation of these numerical tests in this section starts with the accuracy test of one-dimensional linear advection equation with four different initial conditions, followed by the long-output-time simulations of it with two different initial conditions, including discontinuities, and finishes with two-dimensional simulations on the shock-vortex interaction and the 2D Riemann problem. In all calculations below, ϵ is taken to be 10 40 for all schemes following the recommendations in [25,27].
In the following numerical tests, the ODEs resulting from the semi-discretized PDEs are marched in time using the following explicit, third-order, strong stability preserving (SSP) Runge–Kutta method [5,39,40]:
U = U n + Δ t L ( U n ) , U = 3 4 U n + 1 4 U + 1 4 Δ t L ( U ) , U n + 1 = 1 3 U n + 2 3 U + 2 3 Δ t L ( U ) ,
where U , U are the intermediate stages, U n is the value of U at time level t n = n Δ t , and Δ t is the time step satisfying some proper CFL condition. The spatial operator L is defined as in Equation (3), and the WENO reconstructions will be applied to obtain it.

4.1. Accuracy Test

In this subsection, we solve the following one-dimensional linear advection equation:
u t + u x = 0 , 1 x 1 ,
with different initial conditions to test the accuracy of the considered WENO schemes. In all accuracy tests, the L 1 , L 2 , L norms of the error are given as
L 1 = h · j u j exact ( u h ) j , L 2 = h · j ( u j exact ( u h ) j ) 2 , L = max j u j exact ( u h ) j ,
where h = Δ x is the uniform spatial step size, ( u h ) j is the numerical solution, and u j exact is the exact solution.
Example 1.
We calculate Equation (38) with the periodic boundary condition using the following initial condition [27]:
u ( x , 0 ) = sin ( π x ) .
It is trivial to verify that although the initial condition in Equation (39) has two first-order critical points, their first and third derivatives vanish simultaneously. It is known that the rate of the temporal convergence is O ( Δ t 3 ) for the third-order Runge–Kutta method [5,39,40] and the CFL number is defined by CFL = | α | Δ t Δ x leading to Δ t = CFL · Δ x | α | where | α | = 1 here. Therefore, note that we consider only the fifth-order methods here, and to ensure that the error for the overall scheme is a measure of the spatial convergence only, we set the CFL number to be ( Δ x ) 2 / 3 . The calculation was run until a time of t = 2.0 .
In Table 2, we show the L 1 , L 2 , L errors and corresponding convergence orders of various considered WENO schemes. Unsurprisingly, the MOP-WENO-X schemes and the associated WENO-X schemes, along with the WENO-Z scheme, provide more accurate results than the WENO-JS scheme do in general. Naturally and as expected, all the considered schemes have gained the fifth-order convergence rate of accuracy. It can be found that the results of the MOP-WENO-X schemes are identical to those of the associated WENO-X schemes for all grid numbers except N = 10 . As discussed in [9], the cause of the accuracy loss for the computing cases of all MOP-WENO-X schemes with N = 10 is that the mapping functions of the MOP-WENO-X schemes have narrower optimal weight intervals (standing for the intervals about ω = d s over which the mapping process attempts to use the corresponding optimal weights; see [31,32]) than the associated WENO-X schemes.
Figure 2 shows the overall L convergence behavior of various considered schemes. We can observe that: (1) the solutions of all schemes converge at fifth-order, as evidenced by the slope of the lines; (2) the MOP-WENO-X schemes and their associated WENO-X schemes, along with the WENO-Z scheme, are significantly more accurate than the classic WENO-JS scheme; (3) the errors and convergence orders of the MOP-WENO-X schemes are almost identical to those of their associated WENO-X schemes.
We use this example to discuss the computational cost of the MOP-WENO-X scheme compared with its associated WENO-X scheme and the classic WENO-JS scheme. In Figure 3, we drew the graphs for the CPU time versus the computing errors (we only present the results of the L -norm error here just for the sake of brevity in the presentation, hereinafter the same). From Figure 3, we can easily see that: (1) generally speaking, the MOP-WENO-X schemes have better efficiency than the WENO-JS scheme; (2) for all MOP-WENO-X schemes except the case of “X = M,” they perform almost identically to their associated WENO-X schemes; (3) for the MOP-WENO-M scheme, it has a slightly lower efficiency than its associated WENO-M scheme and it has significantly higher efficiency than the WENO-JS scheme.
Example 2.
We calculate Equation (38) with the periodic boundary condition using the following initial condition [25]:
u ( x , 0 ) = sin π x sin ( π x ) π .
This particular initial condition has two first-order critical points, which both have a non-vanishing third derivative. Again, the CFL number was set to be ( Δ x ) 2 / 3 and the calculation was run until a time of t = 2.0 .
Table 3 compares the L 1 , L 2 , L errors and corresponding convergence orders obtained from the considered schemes. It is evident that the WENO-X schemes and the associated MOP-WENO-X schemes can achieve the optimal convergence orders, and this verifies the properties C 1 C 3 of Theorem 2. Unsurprisingly, the WENO-JS scheme gives less accurate results than the other schemes, and its L convergence order decreases by almost 2 orders leading to the noticeable drops of the L 1 and L 2 convergence orders. It is noteworthy that when the grid number is too small, such as N 40 , in terms of accuracy, the MOP-WENO-X schemes provide less accurate results than those of the associated WENO-X schemes. As mentioned in Example 1, the cause of this kind of accuracy loss is that the mapping functions of the MOP-WENO-X schemes have narrower optimal weight intervals than the associated WENO-X schemes, and this issue can surely be addressed by increasing the grid number. Therefore, as expected, the MOP-WENO-X schemes show equally accurate numerical solutions like those of the associated WENO-X schemes when the grid number N 80 .
Figure 4 shows the overall L convergence behavior of various considered schemes. We can observe that: (1) the solutions of all MOP-WENO-X schemes and their associated WENO-X schemes, and of the WENO-Z scheme, converge at fifth-order, as evidenced by the slope of the lines, especially for larger (slightly) grid numbers; (2) for the classic WENO-JS scheme, its solution converges at third-order, as evidenced by its slope of the line; (3) naturally, the MOP-WENO-X schemes and their associated WENO-X schemes, and the WENO-Z scheme, are significantly more accurate than the classic WENO-JS scheme; (4) the errors and convergence orders of the MOP-WENO-X schemes are very close to those of their associated WENO-X schemes.
We also use this example to discuss the computational cost of the MOP-WENO-X scheme compared with its associated WENO-X scheme and the classic WENO-JS scheme. In Figure 5, we drew the graphs for the CPU time versus the L -norm computing errors. From Figure 5, we can easily see that: (1) as expected, the WENO-JS scheme has the lowest efficiency; (2) again, for all MOP-WENO-X schemes except the case of “X = M,” they perform almost identically to their associated WENO-X schemes; (3) for the MOP-WENO-M scheme, despite the fact that it has slightly less efficiency than its associated WENO-M scheme, it has significantly superior efficiency to the WENO-JS scheme.
Example 3.
We calculate Equation (38) using the following initial condition [29]:
u ( x , 0 ) = sin 9 ( π x ) ,
with the periodic boundary condition. It is trivial to verify that this initial condition has high-order critical points. We also set the CFL number to be ( Δ x ) 2 / 3 .
We use the L 1 - and L -norm of numerical errors to measure the dissipations of the schemes. It is easy to check that the exact solution is u ( x , t ) = sin 9 π ( x t ) . Moreover, we consider the increased errors (in percentage) compared to the MIP-WENO-ACMk scheme that gives solutions with highly low dissipations. For the L 1 - and L -norms of numerical errors of the scheme “Y,” their associated increased errors at output time t are defined by
χ 1 = L 1 Y ( t ) L 1 MIP WENO ACM k ( t ) L 1 MIP WENO ACM k ( t ) × 100 % , χ = L Y ( t ) L MIP WENO ACM k ( t ) L MIP WENO ACM k ( t ) × 100 % ,
where L 1 MIP WENO ACM k ( t ) and L MIP WENO ACM k ( t ) are the L 1 - and L -norms of numerical errors of the MIP-WENO-ACMk scheme.
Table 4 shows the L 1 - and L -norm numerical errors and their increased errors by using a uniform grid cell of N = 200 at different output times of t = 10 , 100 , 200 , 500 , 1000 . From Table 4, we can observe that: (1) the WENO-JS scheme has the largest increased errors for no matter short or long output times; (2) for short output times, such as t 100 , the solutions computed by the WENO-M scheme are closer to those of the MIP-WENO-ACMk scheme, leading to smaller increased errors than the associated MOP-WENO-M scheme; (3) however, when the output time is larger, such as t 200 , the solutions computed by the MOP-WENO-M scheme, whose increased errors do not get larger but evidently decreased, are closer to those of the MIP-WENO-ACMk scheme than the associated WENO-M scheme, whose errors increases dramatically, leading to significantly larger increased errors; (4) the performance of the WENO-Z scheme is very similar to that of the WENO-M scheme; (5) although the errors of the MOP-WENO-X schemes except the MOP-WENO-M scheme are not as small as those of the associated WENO-X schemes, these errors can be maintained considerable levels leading to acceptable increases in errors that are much lower than those of the WENO-JS and WENO-M schemes.
Actually, as mentioned in Examples 1 and 2, the cause of the slight accuracy loss discussed above is that the mapping function of the MOP-WENO-X scheme has narrower optimal weight intervals than the associated WENO-X schemes, and one can easily overcome this drawback by increasing the grid number. To demonstrate this, we calculate this problem using the same schemes at the same output times with a larger grid number of N = 800 . The results are shown in Table 5, and we can see that: (1) the errors of the MOP-WENO-X schemes get closer to those of the MIP-WENO-ACMk scheme when the grid number increases from N = 200 to N = 800 , resulting in the significant decrease of the increased errors, and in different words, the errors of the MOP-WENO-X schemes and the MIP-WENO-ACMk scheme are so close that one can ignore their differences; (2) although the errors of the WENO-JS, WENO-M and WENO-Z schemes get smaller when the grid number increases from N = 200 to N = 800 , their increased errors become very large; (3) naturally, the increased errors of the MOP-WENO-X schemes are far smaller than those of the WENO-JS, WENO-M and WENO-Z schemes. Actually, it is an important advantage of the MOP-WENO-X schemes that can maintain comparably high resolution for long output times. In the next subsection we have further discussion of this.
In Figure 6 and Figure 7, we plot the solutions computed by various schemes at output time t = 1000 with the grid numbers of N = 200 and N = 800 , respectively. For N = 200 , Figure 6 shows that: (1) the MOP-WENO-M scheme provides results with far higher resolution than the associated WENO-M scheme and the WENO-Z scheme, which give results with slightly better resolution than the worst one computed by the WENO-JS scheme; (2) the results of the MOP-WENO-MAIM1 scheme are very close to those of its associated WENO-MAIM1 scheme; (3) the results of the other MOP-WENO-X schemes show far better resolutions than the WENO-M, WENO-Z, and WENO-JS schemes, although they give results with very slightly lower resolutions than their associated WENO-X schemes because of the narrower optimal weight intervals. Actually, we can amend this minor issue by using a larger grid number. Consequently, for N = 800 , it can be seen from Figure 7 that: (1) all the MOP-WENO-X schemes produce results very close to those of their associated mapped WENO-X schemes with extremely high resolutions except the case of X = M; (2) the MOP-WENO-M scheme also produces results with very high resolution, whereas the resolutions of the results from the WENO-M, WENO-Z, and WENO-JS schemes have far lower resolutions.
Example 4.
We calculate Equation (38) using the following initial condition [8]:
u ( x , 0 ) = 1 6 G ( x , β , z δ ^ ) + 4 G ( x , β , z ) + G ( x , β , z + δ ^ ) , x [ 0.8 , 0.6 ] , 1 , x [ 0.4 , 0.2 ] , 1 10 ( x 0.1 ) , x [ 0.0 , 0.2 ] , 1 6 F ( x , α , a δ ^ ) + 4 F ( x , α , a ) + F ( x , α , a + δ ^ ) , x [ 0.4 , 0.6 ] , 0 , otherwise ,
where G ( x , β , z ) = e β ( x z ) 2 , F ( x , α , a ) = max 1 α 2 ( x a ) 2 , 0 , and the constants are z = 0.7 , δ ^ = 0.005 , β = log 2 36 δ ^ 2 , a = 0.5 , and α = 10 . The periodic boundary condition is used. Although the CFL number can be chosen from a wide range of values—for example, CFL = 0.6 usually works well—we set CFL = 0.1 here to keep the consistent with the literatures [27,29,31,32] having strong relevance to the present study and to make thorough comparisons with the results of these literature. For brevity in the presentation, we call this linear problem SLP as it is presented by Shu et al. in [8]. It is known that this problem consists of a Gaussian, a square wave, a sharp triangle, and a semi-ellipse.
In Table 6 and Table 7, we present the L 1 , L 2 , L errors and the corresponding convergence rates of accuracy with t = 2 and t = 2000 , respectively. For the case of t = 2 , it can be seen that: (1) the L 1 and L 2 orders of all considered schemes are approximately 1.0 and about 0.35 to 0.5 , respectively; (2) negative values of the L orders of all considered schemes are generated; (3) in terms of accuracy, the MOP-WENO-X schemes produce less accurate results than the associated WENO-X schemes. For the case of t = 2000 , it can be seen that: (1) the L 1 , L 2 orders of the WENO-JS, WENO-M, and WENO-Z schemes decrease to very small values and even become negative; (2) however, the L 1 and L 2 orders of all the MOP-WENO-X schemes, and the associated mapped WENO-X schemes without WENO-M, are clearly larger than 1.0 and around 0.5 to 0.9 , respectively; (3) the L orders of all WENO-X schemes are very small, and some of them are even negative (e.g., the WENO-JS, WENO-PPM5 and MIP-WENO-ACMk schemes), and those of the MOP-WENO-X schemes are all positive, although they are also very small; (4) in terms of accuracy, on the whole, the MOP-WENO-X schemes produce accurate and comparable results to the associated WENO-X schemes, except the WENO-M scheme. However, if we take a closer look, we can find that the resolution of the results computed by the WENO-M scheme is significantly lower than that of the MOP-WENO-M scheme, and the other mapped WENO-X schemes generate spurious oscillations, but the associated MOP-WENO-X schemes do not. Detailed tests are conducted and the solutions are presented carefully to demonstrate this in the following subsection.

4.2. 1D Linear Advection Problems with Long Output Times

The objective of this subsection is to demonstrate the advantage of the MOP-WENO-X schemes on long-output-time simulations that can obtain high resolution and meanwhile do not generate spurious oscillations.
The one-dimensional linear advection problem Equation (38) is solved with the periodic boundary condition by taking the following two initial conditions.
Case 1. (SLP) The initial condition is given by Equation (42).
Case 2. (BiCWP) The initial condition is given by
u ( x , 0 ) = 0 , x [ 1.0 , 0.8 ] ( 0.2 , 0.2 ] ( 0.8 , 1.0 ] , 0.5 , x ( 0.6 , 0.4 ] ( 0.2 , 0.4 ] ( 0.6 , 0.8 ] , 1 , x ( 0.8 , 0.6 ] ( 0.4 , 0.2 ] ( 0.4 , 0.6 ] .
Case 1 and Case 2 were carefully simulated in [9]. Case 1 is called SLP as mentioned earlier in this paper. Case 2 consists of several constant states separated by sharp discontinuities at x = ± 0.8 , ± 0.6 , ± 0.4 , ± 0.2 and it was called BiCWP for brevity in the presentation as the profile of the exact solution for this Problem looks like the Breach in City Wall.
In Figure 8, Figure 9, Figure 10 and Figure 11, we show the comparison of considered schemes for SLP and BiCWP, respectively, by taking t = 2000 and N = 800 . It can be seen that: (1) all the MOP-WENO-X schemes produce results with considerable resolutions which are significantly higher than those of the WENO-JS, WENO-M and WENO-Z schemes, and what is more, they all do not generate spurious oscillations, while most of their associated WENO-X schemes do, when solving both SLP and BiCWP; (2) it should be reminded that the WENO-IM(2, 0.1) scheme appears not to generate spurious oscillations and it gives better resolution than the MOP-WENO-IM(2, 0.1) scheme in most of the region when solving SLP on present computing condition, however, from Figure 8b, one can observe that the MOP-WENO-IM(2, 0.1) scheme gives a better resolution of the Gaussian than the WENO-IM(2, 0.1) scheme, and if taking a closer look, one can see that the WENO-IM(2, 0.1) scheme generates a very slight spurious oscillation near x = 0.435 as shown in Figure 8c; (3) it is very evident as shown in Figure 10 that, when solving BiCWP, the WENO-IM(2, 0.1) scheme generates the spurious oscillations.
In Figure 12, Figure 13, Figure 14 and Figure 15, we show the comparison of considered schemes for SLP and BiCWP respectively, by taking t = 200 and N = 3200 . From these solutions computed with larger grid numbers and a reduced but still long output time, it can be seen that: (1) firstly, the WENO-IM(2, 0.1) scheme generates spurious oscillations but the MOP-WENO-IM(2, 0.1) scheme does not while provides an improved resolution when solving SLP; (2) although the resolutions of the results computed by the WENO-JS, WENO-M and WENO-Z schemes are significantly improved for both SLP and BiCWP, the MOP-WENO-X schemes still evidently provide much better resolutions; (3) the spurious oscillations generated by the WENO-X schemes appear to be more evident and more intense as the grid number increases, while the associated MOP-WENO-X schemes can still avoid spurious oscillations but obtain higher resolutions, when solving both SLP and BiCWP.
For the further interpretation, without loss of generality, in Figure 16, we present the non-OP points of the numerical solutions of SLP computed by the WENO-M and MOP-WENO-M schemes with N = 800 , t = 2000 , and the non-OP points of the numerical solutions of BiCWP computed by the WENO-PM6 and MOP-WENO-PM6 schemes with N = 3200 , t = 200 . We can find that there are a great many non-OP points in the solutions of the WENO-M and WENO-PM6 schemes while the numbers of the non-OP points in the solutions of the MOP-WENO-M and MOP-WENO-PM6 schemes are zero. Actually, there are many non-OP points for all considered mapped WENO-X schemes. Furthermore, as expected, there are no non-OP points for the associated MOP-WENO-X schemes and the WENO-JS scheme for all computing cases here. We do not show the results of the non-OP points for all computing cases here just for the simplicity of illustration.
In summary, the solutions in this subsection could be regarded as numerical verifications of properties C 4 , C 5 of Theorem 2. In other words, it could be indicated that the general method to introduce the OP mapping can help to gain the advantage of achieving high resolutions and in the meantime preventing spurious oscillations when solving problems with discontinuities for long output times. Additionally, this is the most important point we want to report in this paper.

4.3. Comparison with Central WENO Schemes

In this subsection, we compare the performances of the MOP-WENO-X schemes with the quite recent approach, called central WENO (CWENO) schemes. For simplicity, only the cases of the WENO-NW6 [36], WENO-CU6 [37] and WENO- θ 6 [38] schemes are taken into account in the following discussion.
We firstly consider the following example.
Example 5.
We compute
u t + u x = 0 , x ( 1 , 1 ) , u ( x , 0 ) = max ( sin ( π x ) , 0 ) ,
with periodic boundary conditions.
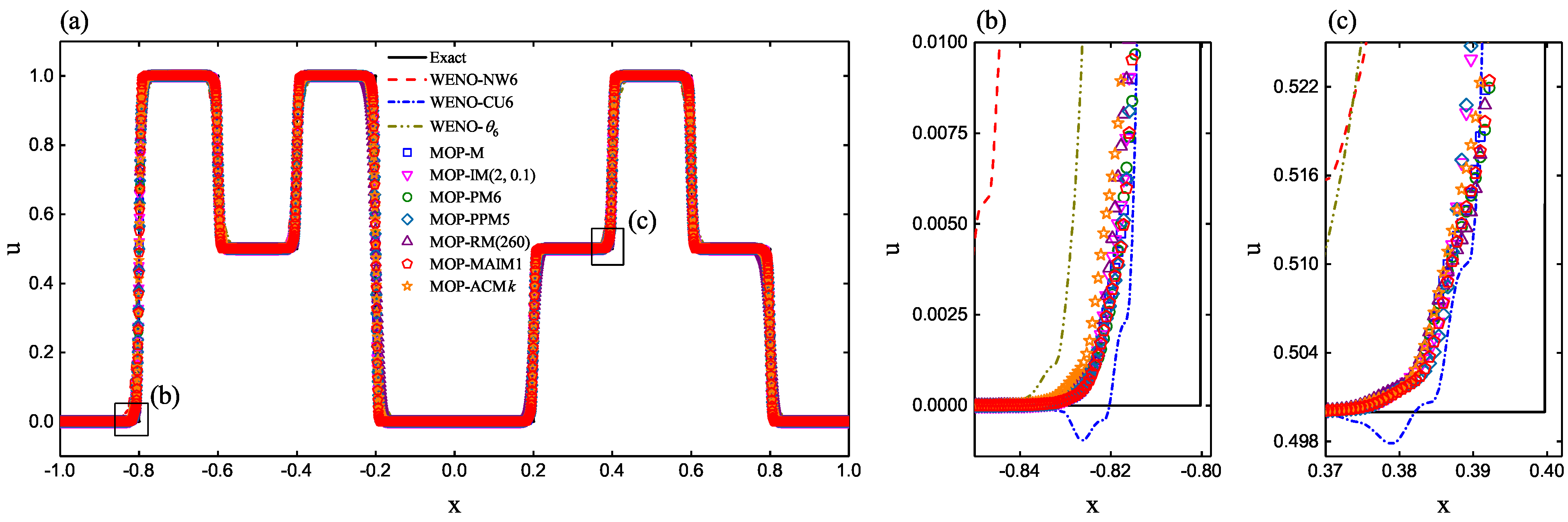
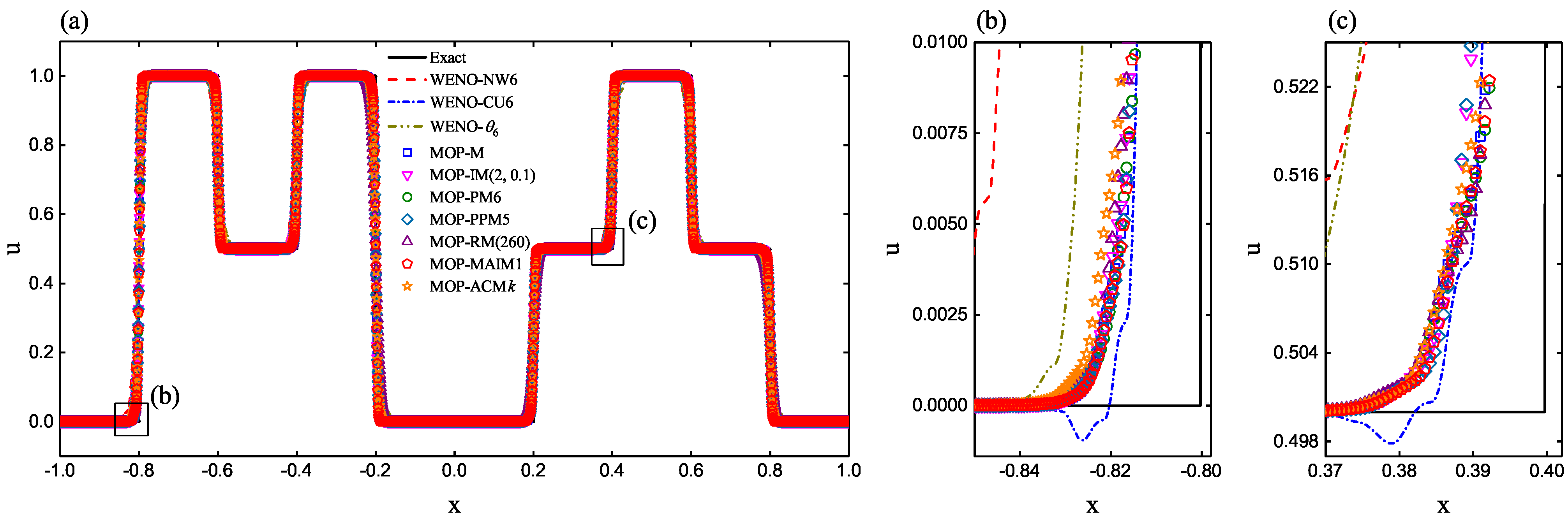
We calculate this problem by the fifth-order MOP-WENO-X schemes proposed in the present work and the sixth-order central schemes of WENO-NW6, WENO-CU6 and WENO- θ 6 schemes. The output time is taken to be t = 2.4 and the cell number is N = 200 . The solutions are plotted in Figure 17. It clearly shows that the sixth-order central WENO schemes of WENO-NW6 and WENO-CU6 perform worse than the fifth-order MOP-WENO-X schemes. It was reported by Jung et al. [38] that this loss of resolution is an important issue since there are many problems whose solution often exhibits the same behavior as this example. Therefore, we claim that the MOP-WENO-X schemes are more favorable than the central WENO schemes of WENO-NW6 and WENO-CU6 for this kind of problems. In addition, the the central WENO scheme of WENO- θ 6 performs as well as the MOP-WENO-X schemes in this test. Unfortunately, it performs worse and gives significantly lower resolution than the MOP-WENO-X schemes on solving problems with discontinuities for long output times. We now discuss this in detail.
We calculate the problems of SLP and BiCWP (see Section 4.2) by using the sixth-order central schemes of WENO-NW6, WENO-CU6, and WENO- θ 6 schemes. The computing conditions of t = 200 and N = 3200 are used here. In Figure 18 and Figure 19, the results for SLP and BiCWP are shown. From these figures, we can see that the sixth-order central WENO schemes of WENO-NW6 and WENO- θ 6 provide significantly lower resolutions than the fifth-order MOP-WENO-X schemes. The WENO-CU6 scheme appears to obtain the resolution equivalent to, or even better than those of the MOP-WENO-X schemes. However, it generates spurious oscillations, and the MOP-WENO-X schemes do not.

4.4. Euler System in Two Dimension

In this subsection, we focus on the numerical simulations of the shock-vortex interaction problem [41,42] and the 2D Riemann problem [43,44,45]. They are governed by the two-dimensional Euler system of gas dynamics, taking the following strong conservation form of mass, momentum and energy
ρ t + ( ρ u ) x + ( ρ v ) y = 0 , ( ρ u ) t + ( ρ u 2 + p ) x + ( ρ u v ) y = 0 , ( ρ v ) t + ( ρ v u ) x + ( ρ v 2 + p ) y = 0 , E t + ( u E + u p ) x + ( v E + v p ) y = 0 ,
where ρ , u , v , p , and E are the density components of velocity in the x and y coordinate directions, pressure, and total energy, respectively. The following equation of state for an ideal polytropic gas is used to close the two-dimensional Euler system Equation (45)
p = ( γ 1 ) E 1 2 ρ ( u 2 + v 2 ) ,
where γ is the ratio of specific heat, and we set γ = 1.4 in this paper. In the computations below, the CFL number is taken to be 0.5 . All the considered WENO schemes are applied dimension-by-dimension to solve the two-dimensional Euler system and the local characteristic decomposition [8] is used. In [46], Zhang et al. investigated two commonly used classes of finite volume WENO schemes in two-dimensional Cartesian meshes, and we employ the one denoted as class A in this subsection.
Example 6.
(Shock-vortex interaction)We consider the shock-vortex interaction problem used in [41,42]. It consists of the interaction of a left moving shock wave with a right moving vortex. The computational domain is initialized by
ρ , u , v , p ( x , y , 0 ) = U L , x < 0.5 , U R , x 0.5 ,
where U L = ( ρ L , u L , v L , p L ) = ( 1 , γ , 0 , 1 ) , and U R = ( ρ R , u R , v R , p R ) taking the form
p R = 1.3 , ρ R = ρ L γ 1 + ( γ + 1 ) p R γ + 1 + ( γ 1 ) p R u R = u L 1 p R γ 1 + p R ( γ + 1 ) , v R = 0 .
The vortex δ U = ( δ ρ , δ u , δ v , δ p ) , defined by the following perturbations, is superimposed onto the left state U L ,
δ ρ = ρ L 2 ( γ 1 ) p L δ T , δ u = ϵ y y c r c e α ( 1 r 2 ) , δ v s . = ϵ x x c r c e α ( 1 r 2 ) , δ p = γ ρ L 2 ( γ 1 ) ρ L δ T ,
where ϵ = 0.3 , r c = 0.05 , α = 0.204 , x c = 0.25 , y c = 0.5 , r = ( ( x x c ) 2 + ( y y c ) 2 ) / r c 2 , δ T = ( γ 1 ) ϵ 2 e 2 α ( 1 r 2 ) / ( 4 α γ ) . The transmissive boundary condition is used on all boundaries. A uniform mesh size of 800 × 800 is used and the output time is set to be t = 0.35 .
We calculate this problem using all the considered mapped WENO-X schemes in Table 1 and their associated MOP-WENO-X schemes. For the sake of brevity though, we only present the solutions of the WENO-M, WENO-IM(2, 0.1), WENO-PPM5, WENO-MAIM1 schemes and their associated MOP-WENO-X schemes in Figure 20 and Figure 21, where the first rows give the final structures of the shock and vortex in density profile of the existing mapped WENO-X schemes, the second rows give those of the associated MOP-WENO-X schemes, and the third rows give the cross-sectional slices of density plot along the plane y = 0.65 where x [ 0.70 , 0.76 ] . We find that all the considered schemes perform well in capturing the main structure of the shock and vortex after the interaction. It can be seen that there are clear post-shock oscillations in the solutions of the WENO-M, WENO-IM(2, 0.1), and WENO-PPM5 schemes. However, in the solutions of the MOP-WENO-M, MOP-WENO-IM(2, 0.1), and MOP-WENO-PPM5 schemes, the post-shock oscillations are either gone or significantly reduced. The post-shock oscillations of the WENO-MAIM1 scheme are very slight and even hard to be noticed. Actually, it seems difficult to distinguish the solutions of the WENO-MAIM1 scheme from that of the MOP-WENO-MAIM1 scheme only according to the structure of the shock and vortex in the density profile. Nevertheless, when taking a closer look from the cross-sectional slices of the density profile along the plane y = 0.65 at the bottom right picture of Figure 21 where the reference solution is obtained using the WENO-JS scheme with a uniform mesh size of 1600 × 1600 , we can see that the post-shock oscillation of the WENO-MAIM1 scheme is very remarkable while it is imperceptible for the MOP-WENO-MAIM1 scheme. Additionally, from the third rows of Figure 20 and Figure 21, we find that the WENO-IM(2, 0.1) and WENO-PPM5 schemes generate the post-shock oscillations with much bigger amplitudes than that of the WENO-MAIM1 scheme. The WENO-M scheme also generates clear post-shock oscillations with the amplitudes slightly smaller than that of the WENO-IM(2, 0.1) and WENO-PPM5 schemes. Evidently, the solutions of the MOP-WENO-M, MOP-WENO-IM(2, 0.1) and MOP-WENO-PPM5 schemes almost generate no post-shock oscillations or only generate some imperceptible numerical oscillations and their solutions are very close to the reference solution, and this should be an advantage of the mapped WENO schemes whose mapping functions are OP.
Example 7.
(2D Riemann problem)It is very favorable to test the high-resolution numerical methods [30,45,47] using the series of 2D Riemann problems [43,44]. In [45], Lax et al. classified a total of 19 genuinely different Configurations for 2D Riemann problem and calculated all the numerical solutions. Configuration 4 is chosen here for the test, and the computational domain is initialized by
ρ , u , v , p ( x , y , 0 ) = ( 1.1 , 0.0 , 0.0 , 1.1 ) , 0.5 x 1.0 , 0.5 y 1.0 , ( 0.5065 , 0.8939 , 0.0 , 0.35 ) , 0.0 x 0.5 , 0.5 y 1.0 , ( 1.1 , 0.8939 , 0.8939 , 1.1 ) , 0.0 x 0.5 , 0.0 y 0.5 , ( 0.5065 , 0.0 , 0.8939 , 0.35 ) , 0.5 x 1.0 , 0.0 y 0.5 .
The transmission boundary condition is used on all boundaries, and the numerical solutions are calculated on a uniform mesh size of 800 × 800 . The computations proceed to t = 0.25 .
Similarly, although we calculate this problem using all the considered mapped WENO-X schemes in Table 1 and their associated MOP-WENO-X schemes, we only present the solutions of the WENO-M, WENO-PM6, WENO-RM260 and MIP-WENO-ACMk schemes and their associated MOP-WENO-X schemes here for the sake of brevity. We have shown the numerical results of density obtained by using these schemes in Figure 22 and Figure 23, where the first rows give the structures of the 2D Riemann problem in density profile of the existing mapped WENO-X schemes, the second rows give those of the associated MOP-WENO-X schemes, and the third rows give the cross-sectional slices of density plot along the plane y = 0.5 where x [ 0.65 , 0.692 ] . We can see that all schemes can capture the main structure of the solution. However, we can also observe that there are obvious post-shock oscillations (as marked by the pink boxes), which are unfavorable for the fidelity of the results, in the solutions of the WENO-M, WENO-PM6, WENO-RM(260) and MIP-WENO-ACMk schemes. These post-shock oscillations can be seen more clearly from the cross-sectional slices of density profile as presented in the third rows of Figure 22 and Figure 23, where the reference solution is obtained by using the WENO-JS scheme with a uniform mesh size of 3000 × 3000 . Noticeably, there are either almost no or imperceptible post-shock oscillations in the solutions of the MOP-WENO-M, MOP-WENO-PM6, MOP-WENO-RM(RM260) and MOP-WENO-ACMk schemes. Again, we believe that this should be an advantage of the mapped WENO schemes whose mapping functions are OP.

5. Conclusions

The concept of OP-Mapped WENO schemes standing for the family of the mapped WENO schemes with order-preserving (OP) mappings, as well as a general way to build one group of this kind of schemes, has been proposed in this paper. Specifically, we extended the OP mapping introduced in [9] to various existing mapped WENO schemes in references by providing a general formula of their mapping functions. A systematic analysis has been performed to prove that the improved mapped WENO scheme based on the existing mapped WENO-X scheme, denoted as MOP-WENO-X, generates numerical solutions with the same convergence rates of accuracy in smooth regions as the associated WENO-X scheme. Furthermore, numerical experiments were run to show that the MOP-WENO-X schemes have the same advantage as the mapped WENO scheme proposed in [9] in calculating the one-dimensional linear advection problems including discontinuities with long output times. The mapping functions of the MOP-WENO-X schemes are OP and hence able to attain high resolutions and avoid spurious oscillations meanwhile. Moreover, numerical results with the 2D Euler system problems were presented to show that the MOP-WENO-X schemes perform well in simulating the two-dimensional problems with strong shock waves to capture the main flow structures and remove or significantly reduce the post-shock oscillations.

Author Contributions

All authors have equally contributed to this paper. They have read and approved the final version of the manuscript. All authors have read and agreed to the published version of the manuscript.

Funding

This research received no external funding.

Conflicts of Interest

The authors declare no conflict of interest.

References

  1. Harten, A.; Engquist, B.; Osher, S.; Chakravarthy, S.R. Uniformly high order accurate essentially non-oscillatory schemes III. J. Comput. Phys. 1987, 71, 231–303. [Google Scholar] [CrossRef]
  2. Harten, A.; Osher, S. Uniformly high order accurate essentially non-oscillatory schemes I. SIAM J. Numer. Anal. 1987, 24, 279–309. [Google Scholar] [CrossRef]
  3. Harten, A.; Osher, S.; Engquist, B.; Chakravarthy, S.R. Some results on uniformly high order accurate essentially non-oscillatory schemes. Appl. Numer. Math. 1986, 2, 347–377. [Google Scholar] [CrossRef]
  4. Harten, A. ENO schemes with subcell resolution. J. Comput. Phys. 1989, 83, 148–184. [Google Scholar] [CrossRef]
  5. Shu, C.W.; Osher, S. Efficient implementation of essentially non-oscillatory shock-capturing schemes. J. Comput. Phys. 1988, 77, 439–471. [Google Scholar] [CrossRef]
  6. Shu, C.W.; Osher, S. Efficient implementation of essentially non-oscillatory shock-capturing schemes II. J. Comput. Phys. 1989, 83, 32–78. [Google Scholar] [CrossRef]
  7. Liu, X.D.; Osher, S.; Chan, T. Weighted essentially non-oscillatory schemes. J. Comput. Phys. 1994, 115, 200–212. [Google Scholar] [CrossRef]
  8. Jiang, G.S.; Shu, C.W. Efficient implementation of weighted ENO schemes. J. Comput. Phys. 1996, 126, 202–228. [Google Scholar] [CrossRef]
  9. Li, R.; Zhong, W. A new mapped WENO scheme using order-preserving mapping. Commun. Comput. Phys. 2021. under review. [Google Scholar]
  10. Dumbser, M.; Zanotti, O.; Hidalgo, A.; Balsara, D.S. ADER-WENO finite volume schemes with space-time adaptive mesh refinement. J. Comput. Phys. 2013, 248, 257–286. [Google Scholar] [CrossRef]
  11. Boscheri, W.; Dumbser, M. An Efficient Quadrature-Free Formulation for High Order Arbitrary-Lagrangian–Eulerian ADER-WENO Finite Volume Schemes on Unstructured Meshes. J. Sci. Comput. 2016, 66, 240–274. [Google Scholar] [CrossRef]
  12. Boscheri, W.; Semplice, M.; Dumbser, M. Central WENO Subcell Finite Volume Limiters for ADER Discontinuous Galerkin Schemes on Fixed and Moving Unstructured Meshes. Commun. Comput. Phys. 2019, 25, 311–346. [Google Scholar] [CrossRef]
  13. Boscheri, W.; Dumbser, M. High order accurate direct Arbitrary-Lagrangian–Eulerian ADER-WENO finite volume schemes on moving curvilinear unstructured meshes. Comput. Fluids 2016, 136, 48–66. [Google Scholar] [CrossRef]
  14. Tsoutsanis, P.; Titarev, V.A.; Drikakis, D. WENO schemes on arbitrary mixed-element unstructured meshes in three space dimensions. J. Comput. Phys. 2011, 230, 1585–1601. [Google Scholar] [CrossRef]
  15. Titarev, V.A.; Tsoutsanis, P.; Drikakis, D. WENO Schemes for Mixed-Element Unstructured Meshes. Commun. Comput. Phys. 2010, 8, 585–609. [Google Scholar] [CrossRef]
  16. Titarev, V.A.; Toro, E.F. ADER: Arbitrary High Order Godunov Approach. J. Sci. Comput. 2002, 17, 609–618. [Google Scholar] [CrossRef]
  17. Titarev, V.A.; Toro, E.F. Finite-volume WENO schemes for three-dimensional conservation laws. J. Comput. Phys. 2004, 201, 238–260. [Google Scholar] [CrossRef]
  18. Titarev, V.A.; Toro, E.F. ADER schemes for three-dimensional non-linear hyperbolic systems. J. Comput. Phys. 2005, 204, 715–736. [Google Scholar] [CrossRef]
  19. Titarev, V.A.; Toro, E.F. WENO schemes based on upwind and centred TVD fluxes. Comput. Fluids 2005, 34, 705–720. [Google Scholar] [CrossRef]
  20. Semplice, M.; Coco, A.; Russo, G.; Titarev, V.A.; Toro, E.F. Adaptive Mesh Refinement for Hyperbolic Systems Based on Third-Order Compact WENO Reconstruction. J. Sci. Comput. 2016, 66, 692–724. [Google Scholar] [CrossRef]
  21. Cravero, I.; Puppo, G.; Semplice, M.; Visconti, G. Cool WENO schemes. Comput. Fluids 2018, 169, 71–86. [Google Scholar] [CrossRef]
  22. Puppo, G.; Semplice, M. Well-Balanced High Order 1D Schemes on Non-uniform Grids and Entropy Residuals. J. Sci. Comput. 2016, 66, 1052–1076. [Google Scholar] [CrossRef][Green Version]
  23. Levy, D.; Puppo, G.; Russo, G. Compact central WENO schemes for multidimensional conservation laws. SIAM J. Sci. Comput. 2000, 22, 656–672. [Google Scholar] [CrossRef]
  24. Levy, D.; Puppo, G.; Russo, G. A fourth-order central WENO scheme for multidimensional hyperbolic systems of conservation laws. SIAM J. Sci. Comput. 2002, 24, 480–506. [Google Scholar] [CrossRef]
  25. Henrick, A.K.; Aslam, T.D.; Powers, J.M. Mapped weighted essentially non-oscillatory schemes: Achieving optimal order near critical points. J. Comput. Phys. 2005, 207, 542–567. [Google Scholar] [CrossRef]
  26. Borges, R.; Carmona, M.; Costa, B.; Don, W.S. An improved weighted essentially non-oscillatory scheme for hyperbolic conservation laws. J. Comput. Phys. 2008, 227, 3191–3211. [Google Scholar] [CrossRef]
  27. Feng, H.; Huang, C.; Wang, R. An improved mapped weighted essentially non-oscillatory scheme. Appl. Math. Comput. 2014, 232, 453–468. [Google Scholar] [CrossRef]
  28. Wang, R.; Feng, H.; Huang, C. A New Mapped Weighted Essentially Non-oscillatory Method Using Rational Function. J. Sci. Comput. 2016, 67, 540–580. [Google Scholar] [CrossRef]
  29. Feng, H.; Hu, F.; Wang, R. A new mapped weighted essentially non-oscillatory scheme. J. Sci. Comput. 2012, 51, 449–473. [Google Scholar] [CrossRef]
  30. Li, Q.; Liu, P.; Zhang, H. Piecewise Polynomial Mapping Method and Corresponding WENO Scheme with Improved Resolution. Commun. Comput. Phys. 2015, 18, 1417–1444. [Google Scholar] [CrossRef]
  31. Li, R.; Zhong, W. A modified adaptive improved mapped WENO method. Commun. Comput. Phys. 2021. accepted. [Google Scholar]
  32. Li, R.; Zhong, W. An efficient mapped WENO scheme using approximate constant mapping. Numer. Math. Theor. Meth. Appl. accepted. 2021. [Google Scholar]
  33. Zhang, S.; Shu, C.W. A new smoothness indicator for the WENO schemes and its effect on the convergence to steady state solutions. J. Sci. Comput. 2007, 31, 273–305. [Google Scholar] [CrossRef]
  34. Wang, R.; Feng, H. Observations on the fifth-order WENO method with non-uniform meshes. Appl. Math. Comput. 2008, 196, 433–447. [Google Scholar] [CrossRef]
  35. Hu, G.; Li, R.; Tang, T. A robust WENO type finite volumn solver for steady Euler equations on unstructured grids. Commun. Comput. Phys. 2011, 9, 627–648. [Google Scholar] [CrossRef]
  36. Yamaleev, N.K.; Carpenter, M.H. A systematic methodology for constructing high-order energy stable WENO schemes. J. Comput. Phys. 2009, 228, 4248–4272. [Google Scholar] [CrossRef]
  37. Fu, L.; Hu, X.; Adams, N.A. A family of high-order targeted ENO schemes for compressible-fluid simulations. J. Comput. Phys. 2016, 305, 333–359. [Google Scholar] [CrossRef]
  38. Jung, C.Y.; Nguyen, T.B. A new adaptive weighted essentially non-oscillatory WENO-θ scheme for hyperbolic conservation laws. J. Comput. Appl. Math. 2018, 328, 314–339. [Google Scholar] [CrossRef]
  39. Gottlieb, S.; Shu, C.W. Total variation diminishing Runge–Kutta schemes. Math. Comput. 1998, 67, 73–85. [Google Scholar] [CrossRef]
  40. Gottlieb, S.; Shu, C.W.; Tadmor, E. Strong stability-preserving high-order time discretization methods. SIAM Rev. 2001, 43, 89–112. [Google Scholar] [CrossRef]
  41. Chatterjee, A. Shock wave deformation in shock-vortex interactions. Shock Waves 1999, 9, 95–105. [Google Scholar] [CrossRef]
  42. Ren, Y.X.; Liu, M.; Zhang, H. A characteristic-wise hybrid compact-WENO scheme for solving hyperbolic conservation laws. J. Comput. Phys. 2003, 192, 365–386. [Google Scholar] [CrossRef]
  43. Schulz-Rinne, C.W.; Collins, J.P.; Glaz, H.M. Numerical solution of the Riemann problem for two-dimensional gas dynamics. SIAM J. Sci. Comput. 1993, 14, 1394–1414. [Google Scholar] [CrossRef]
  44. Schulz-Rinne, C.W. Classification of the Riemann problem for two-dimensional gas dynamics. SIAM J. Math. Anal. 1993, 24, 76–88. [Google Scholar] [CrossRef]
  45. Lax, P.D.; Liu, X.D. Solution of two-dimensional Riemann problems of gas dynamics by positive schemes. SIAM J. Sci. Comput. 1998, 19, 319–340. [Google Scholar] [CrossRef]
  46. Zhang, R.; Zhang, M.; Shu, C.W. On the order of accuracy and numerical performance of two classes of finite volume WENO schemes. Commun. Comput. Phys. 2011, 9, 807–827. [Google Scholar] [CrossRef]
  47. Pirozzoli, S. Numerical methods for high-speed flows. Annu. Rev. Fluid Mech. 2011, 43, 163–194. [Google Scholar] [CrossRef]
Figure 1. A comparison of the mapping functions for WENO-X (shown in Table 1) and MOP-WENO-X.
Figure 1. A comparison of the mapping functions for WENO-X (shown in Table 1) and MOP-WENO-X.
Mca 26 00067 g001
Figure 2. L -norm error plots for various WENO schemes for Example 1.
Figure 2. L -norm error plots for various WENO schemes for Example 1.
Mca 26 00067 g002
Figure 3. Comparison of various WENO schemes for Example 1 in CPU time and L -norm computing errors.
Figure 3. Comparison of various WENO schemes for Example 1 in CPU time and L -norm computing errors.
Mca 26 00067 g003
Figure 4. L -norm error plots for various WENO schemes for Example 2.
Figure 4. L -norm error plots for various WENO schemes for Example 2.
Mca 26 00067 g004
Figure 5. Comparison of various WENO schemes for Example 2 in CPU time and L -norm computing errors.
Figure 5. Comparison of various WENO schemes for Example 2 in CPU time and L -norm computing errors.
Mca 26 00067 g005
Figure 6. Performances of various WENO schemes for Example 3 at output time t = 1000 with a uniform mesh size of N = 200 .
Figure 6. Performances of various WENO schemes for Example 3 at output time t = 1000 with a uniform mesh size of N = 200 .
Mca 26 00067 g006
Figure 7. Performances of various WENO schemes for Example 3 at output time t = 1000 with a uniform mesh size of N = 800 .
Figure 7. Performances of various WENO schemes for Example 3 at output time t = 1000 with a uniform mesh size of N = 800 .
Mca 26 00067 g007
Figure 8. Performance of the WENO-JS, WENO-M, MOP-WENO-M, WENO-IM( 2 , 0.1 ), MOP-WENO-IM( 2 , 0.1 ), WENO-PM6 and MOP-WENO-PM6 schemes for the SLP at output time t = 2000 with a uniform mesh size of N = 800 .
Figure 8. Performance of the WENO-JS, WENO-M, MOP-WENO-M, WENO-IM( 2 , 0.1 ), MOP-WENO-IM( 2 , 0.1 ), WENO-PM6 and MOP-WENO-PM6 schemes for the SLP at output time t = 2000 with a uniform mesh size of N = 800 .
Mca 26 00067 g008
Figure 9. Performance of the WENO-JS, WENO-M, WENO-PPM5, MOP-WENO-PPM5, WENO-RM260, MOP-WENO-RM260, WENO-MAIM1, MOP-WNEO-MAIM1, MIP-WENO-ACMk and MOP-WENO-ACMk schemes for the SLP at output time t = 2000 with a uniform mesh size of N = 800 .
Figure 9. Performance of the WENO-JS, WENO-M, WENO-PPM5, MOP-WENO-PPM5, WENO-RM260, MOP-WENO-RM260, WENO-MAIM1, MOP-WNEO-MAIM1, MIP-WENO-ACMk and MOP-WENO-ACMk schemes for the SLP at output time t = 2000 with a uniform mesh size of N = 800 .
Mca 26 00067 g009
Figure 10. Performance of the WENO-JS, WENO-M, MOP-WENO-M, WENO-IM( 2 , 0.1 ), MOP-WENO-IM( 2 , 0.1 ), WENO-PM6 and MOP-WENO-PM6 schemes for the BiCWP at output time t = 2000 with a uniform mesh size of N = 800 .
Figure 10. Performance of the WENO-JS, WENO-M, MOP-WENO-M, WENO-IM( 2 , 0.1 ), MOP-WENO-IM( 2 , 0.1 ), WENO-PM6 and MOP-WENO-PM6 schemes for the BiCWP at output time t = 2000 with a uniform mesh size of N = 800 .
Mca 26 00067 g010
Figure 11. Performance of the WENO-JS, WENO-M, WENO-PPM5, MOP-WENO-PPM5, WENO-RM260, MOP-WENO-RM260, WENO-MAIM1, MOP-WNEO-MAIM1, MIP-WENO-ACMk and MOP-WENO-ACMk schemes for the BiCWP at output time t = 2000 with a uniform mesh size of N = 800 .
Figure 11. Performance of the WENO-JS, WENO-M, WENO-PPM5, MOP-WENO-PPM5, WENO-RM260, MOP-WENO-RM260, WENO-MAIM1, MOP-WNEO-MAIM1, MIP-WENO-ACMk and MOP-WENO-ACMk schemes for the BiCWP at output time t = 2000 with a uniform mesh size of N = 800 .
Mca 26 00067 g011
Figure 12. Performance of the WENO-JS, WENO-M, MOP-WENO-M, WENO-IM( 2 , 0.1 ), MOP-WENO-IM( 2 , 0.1 ), WENO-PM6 and MOP-WENO-PM6 schemes for the SLP at output time t = 200 with a uniform mesh size of N = 3200 .
Figure 12. Performance of the WENO-JS, WENO-M, MOP-WENO-M, WENO-IM( 2 , 0.1 ), MOP-WENO-IM( 2 , 0.1 ), WENO-PM6 and MOP-WENO-PM6 schemes for the SLP at output time t = 200 with a uniform mesh size of N = 3200 .
Mca 26 00067 g012
Figure 13. Performance of the WENO-JS, WENO-M, WENO-PPM5, MOP-WENO-PPM5, WENO-RM260, MOP-WENO-RM260, WENO-MAIM1, MOP-WNEO-MAIM1, MIP-WENO-ACMk and MOP-WENO-ACMk schemes for the SLP at output time t = 200 with a uniform mesh size of N = 3200 .
Figure 13. Performance of the WENO-JS, WENO-M, WENO-PPM5, MOP-WENO-PPM5, WENO-RM260, MOP-WENO-RM260, WENO-MAIM1, MOP-WNEO-MAIM1, MIP-WENO-ACMk and MOP-WENO-ACMk schemes for the SLP at output time t = 200 with a uniform mesh size of N = 3200 .
Mca 26 00067 g013
Figure 14. Performance of the WENO-JS, WENO-M, MOP-WENO-M, WENO-IM( 2 , 0.1 ), MOP-WENO-IM( 2 , 0.1 ), WENO-PM6 and MOP-WENO-PM6 schemes for the BiCWP at output time t = 200 with a uniform mesh size of N = 3200 .
Figure 14. Performance of the WENO-JS, WENO-M, MOP-WENO-M, WENO-IM( 2 , 0.1 ), MOP-WENO-IM( 2 , 0.1 ), WENO-PM6 and MOP-WENO-PM6 schemes for the BiCWP at output time t = 200 with a uniform mesh size of N = 3200 .
Mca 26 00067 g014
Figure 15. Performance of the WENO-JS, WENO-M, WENO-PPM5, MOP-WENO-PPM5, WENO-RM260, MOP-WENO-RM260, WENO-MAIM1, MOP-WNEO-MAIM1, MIP-WENO-ACMk and MOP-WENO-ACMk schemes for the BiCWP at output time t = 200 with a uniform mesh size of N = 3200 .
Figure 15. Performance of the WENO-JS, WENO-M, WENO-PPM5, MOP-WENO-PPM5, WENO-RM260, MOP-WENO-RM260, WENO-MAIM1, MOP-WNEO-MAIM1, MIP-WENO-ACMk and MOP-WENO-ACMk schemes for the BiCWP at output time t = 200 with a uniform mesh size of N = 3200 .
Mca 26 00067 g015
Figure 16. The non-OP points in the numerical solutions of SLP computed by the WENO-M and MOP-WENO-M schemes with N = 800, t = 2000, and the non-OP points in the numerical solutions of BiCWP computed by the WENO-PM6 and MOP-WENO-PM6 schemes with N = 3200, t = 200.
Figure 16. The non-OP points in the numerical solutions of SLP computed by the WENO-M and MOP-WENO-M schemes with N = 800, t = 2000, and the non-OP points in the numerical solutions of BiCWP computed by the WENO-PM6 and MOP-WENO-PM6 schemes with N = 3200, t = 200.
Mca 26 00067 g016aMca 26 00067 g016b
Figure 17. (Left): Numerical solutions of Equation (44) at time t = 2.4 obtained from different WENO schemes. (Right): Zoom near the critical region.
Figure 17. (Left): Numerical solutions of Equation (44) at time t = 2.4 obtained from different WENO schemes. (Right): Zoom near the critical region.
Mca 26 00067 g017
Figure 18. Performance of the WENO-NW6, WENO-CU6, WENO- θ 6 and MOP-WENO-X schemes for the SLP at output time t = 200 with a uniform mesh size of N = 3200 .
Figure 18. Performance of the WENO-NW6, WENO-CU6, WENO- θ 6 and MOP-WENO-X schemes for the SLP at output time t = 200 with a uniform mesh size of N = 3200 .
Mca 26 00067 g018
Figure 19. Performance of the WENO-NW6, WENO-CU6, WENO- θ 6 and MOP-WENO-X schemes for the BiCWP at output time t = 200 with a uniform mesh size of N = 3200 .
Figure 19. Performance of the WENO-NW6, WENO-CU6, WENO- θ 6 and MOP-WENO-X schemes for the BiCWP at output time t = 200 with a uniform mesh size of N = 3200 .
Mca 26 00067 g019
Figure 20. Density plots for the Shock-vortex interaction using 30 contour lines with range from 0.9 to 1.4 (the first two rows) and the cross-sectional slices of density plot along the plane y = 0.65 where x [ 0.70 , 0.76 ] (the third row), computed using the WENO-M and MOP-WENO-M (left column), WENO-IM(2, 0.1), and MOP-WENO-IM(2, 0.1) (right column) schemes.
Figure 20. Density plots for the Shock-vortex interaction using 30 contour lines with range from 0.9 to 1.4 (the first two rows) and the cross-sectional slices of density plot along the plane y = 0.65 where x [ 0.70 , 0.76 ] (the third row), computed using the WENO-M and MOP-WENO-M (left column), WENO-IM(2, 0.1), and MOP-WENO-IM(2, 0.1) (right column) schemes.
Mca 26 00067 g020
Figure 21. Density plots for the Shock-vortex interaction using 30 contour lines with range from 0.9 to 1.4 (the first two rows) and the cross-sectional slices of density plot along the plane y = 0.65 where x [ 0.70 , 0.76 ] (the third row), computed using the WENO-PPM5 and MOP-WENO-PPM5 (left column), WENO-MAIM1 and MOP-WENO-MAIM1 (right column) schemes.
Figure 21. Density plots for the Shock-vortex interaction using 30 contour lines with range from 0.9 to 1.4 (the first two rows) and the cross-sectional slices of density plot along the plane y = 0.65 where x [ 0.70 , 0.76 ] (the third row), computed using the WENO-PPM5 and MOP-WENO-PPM5 (left column), WENO-MAIM1 and MOP-WENO-MAIM1 (right column) schemes.
Mca 26 00067 g021
Figure 22. Density plots for the 2D Riemann problem using 30 contour lines with range from 0.5 to 1.9 (the first two rows) and the cross-sectional slices of density plot along the plane y = 0.5 where x [ 0.65 , 0.692 ] (the third row), computed using the WENO-M and MOP-WENO-M (left column), WENO-PM6 and MOP-WENO-PM6 (right column) schemes.
Figure 22. Density plots for the 2D Riemann problem using 30 contour lines with range from 0.5 to 1.9 (the first two rows) and the cross-sectional slices of density plot along the plane y = 0.5 where x [ 0.65 , 0.692 ] (the third row), computed using the WENO-M and MOP-WENO-M (left column), WENO-PM6 and MOP-WENO-PM6 (right column) schemes.
Mca 26 00067 g022
Figure 23. Density plots for the 2D Riemann problem using 30 contour lines with range from 0.5 to 1.9 (the first two rows) and the cross-sectional slices of density plot along the plane y = 0.5 where x [ 0.65 , 0.692 ] (the third row), computed using the WENO-RM(260) and MOP-WENO-RM(260) (left column), MIP-WENO-ACMk and MOP-WENO-ACMk (right column) schemes.
Figure 23. Density plots for the 2D Riemann problem using 30 contour lines with range from 0.5 to 1.9 (the first two rows) and the cross-sectional slices of density plot along the plane y = 0.5 where x [ 0.65 , 0.692 ] (the third row), computed using the WENO-RM(260) and MOP-WENO-RM(260) (left column), MIP-WENO-ACMk and MOP-WENO-ACMk (right column) schemes.
Mca 26 00067 g023
Table 1. The parameters m P and P s , 1 , , P s , m P for the WENO-JS scheme and some existing mapped WENO schemes whose mapping functions are non-OP.
Table 1. The parameters m P and P s , 1 , , P s , m P for the WENO-JS scheme and some existing mapped WENO schemes whose mapping functions are non-OP.
No.Scheme, WENO-X m P P s , 1 , , P s , m P Parameters n X Ref.
1WENO-JS0NoneNoneNoneSee [8]
2WENO-M1 P s , 1 = d s None2See [25]
3WENO-IM( k , A )1 P s , 1 = d s k = 2.0 , A = 0.1 kSee [27]
4WENO-PMk1 P s , 1 = d s k = 6 kSee [29]
5WENO-PPMn1 P s , 1 = d s n = 5 4See [30]
6WENO-RM( m n 0 )1 P s , 1 = d s m = 2 , n = 6 3 , 4 See [28]
7WENO-MAIM12 P s , 1 = d s , P s , 2 = m s k = 10 , A = 1.0 e 6 , m s = 0.06 k , k + 1 See [31]
8WENO-ACM2 P s , 1 = d s , P s , 2 = CFS s A = 20 , k = 2 , μ = 1 e 6 , CFS s = d s / 10 See [32]
9MIP-WENO-ACMk3 P s , 1 = d s , P s , 2 = CFS s , P s , 3 = k s k s = 0.0 , CFS s = d s / 10 See [9]
Table 2. Convergence properties of considered schemes on solving u t + u x = 0 with initial condition u ( x , 0 ) = sin ( π x ) . To be continued.
Table 2. Convergence properties of considered schemes on solving u t + u x = 0 with initial condition u ( x , 0 ) = sin ( π x ) . To be continued.
SchemeN L 1 Error L 1 Order L 2 Error L 2 Order L Error L Order
WENO-JS106.18328  × 10 2 -4.72306  × 10 2 -4.87580  × 10 2 -
202.96529  × 10 3 4.38212.42673  × 10 3 4.28262.57899  × 10 3 4.2408
409.27609  × 10 5 4.99857.64332  × 10 5 4.98879.05453  × 10 5 4.8320
802.89265  × 10 6 5.00312.33581  × 10 6 5.03222.90709  × 10 6 4.9610
1609.03392  × 10 8 5.00097.19259  × 10 8 5.02138.85753  × 10 8 5.0365
3202.82330  × 10 9 4.99992.23105  × 10 9 5.01072.72458  × 10 9 5.0228
WENO-Z101.64485  × 10 2 -1.27535  × 10 2 -1.18974  × 10 2 -
205.04450  × 10 4 5.02713.98253  × 10 4 5.00113.94040  × 10 4 4.9162
401.59132  × 10 5 4.98641.25050  × 10 5 4.99311.24948  × 10 5 4.9789
804.98858  × 10 7 4.99553.91834  × 10 7 4.99613.91804  × 10 7 4.9951
1601.56020  × 10 8 4.99881.22541  × 10 8 4.99891.22538  × 10 8 4.9988
3204.88356  × 10 10 4.99773.83568  × 10 10 4.99763.83541  × 10 10 4.9977
WENO-M102.01781  × 10 2 -1.55809  × 10 2 -1.47767  × 10 2 -
205.18291  × 10 4 5.28294.06148  × 10 4 5.26163.94913  × 10 4 5.2256
401.59422  × 10 5 5.02281.25236  × 10 5 5.01931.24993  × 10 5 4.9816
804.98914  × 10 7 4.99793.91875  × 10 7 4.99813.91808  × 10 7 4.9956
1601.56021  × 10 8 4.99901.22541  × 10 8 4.99911.22538  × 10 8 4.9988
3204.88356  × 10 10 4.99773.83568  × 10 10 4.99763.83541  × 10 10 4.9977
MOP-WENO-M103.64427  × 10 2 -2.95270  × 10 2 -2.81876  × 10 2 -
205.18291  × 10 4 6.13574.06148  × 10 4 6.18393.94913  × 10 4 6.1574
401.59422  × 10 5 5.02281.25236  × 10 5 5.01931.24993  × 10 5 4.9816
804.98914  × 10 7 4.99793.91875  × 10 7 4.99813.91808  × 10 7 4.9956
1601.56021  × 10 8 4.99901.22541  × 10 8 4.99911.22538  × 10 8 4.9988
3204.88356  × 10 10 4.99773.83568  × 10 10 4.99763.83541  × 10 10 4.9977
WENO-IM(2, 0.1)101.58051  × 10 2 -1.23553  × 10 2 -1.19178  × 10 2 -
205.04401  × 10 4 4.96973.96236  × 10 4 4.96263.94458  × 10 4 4.9171
401.59160  × 10 5 4.98601.25033  × 10 5 4.98601.24963  × 10 5 4.9803
804.98863  × 10 7 4.99573.91836  × 10 7 4.99593.91797  × 10 7 4.9953
1601.56020  × 10 8 4.99881.22541  × 10 8 4.99891.22538  × 10 8 4.9988
3204.88355  × 10 10 4.99773.83568  × 10 10 4.99763.83547  × 10 10 4.9977
MOP-WENO-IM(2, 0.1)103.35513  × 10 2 -2.75968  × 10 2 -2.71898  × 10 2 -
205.04401  × 10 4 6.05573.96236  × 10 4 6.12203.94458  × 10 4 6.1071
401.59160  × 10 5 4.98601.25033  × 10 5 4.98601.24963  × 10 5 4.9803
804.98863  × 10 7 4.99573.91836  × 10 7 4.99593.91797  × 10 7 4.9953
1601.56020  × 10 8 4.99881.22541  × 10 8 4.99891.22538  × 10 8 4.9988
3204.88355  × 10 10 4.99773.83568  × 10 10 4.99763.83547  × 10 10 4.9977
WENO-PM6101.74869  × 10 2 -1.35606  × 10 2 -1.27577  × 10 2 -
205.02923  × 10 4 5.11983.95215  × 10 4 5.10063.94515  × 10 4 5.0151
401.59130  × 10 5 4.98211.25010  × 10 5 4.98251.24960  × 10 5 4.9805
804.98858  × 10 7 4.99543.91831  × 10 7 4.99573.91795  × 10 7 4.9952
1601.56020  × 10 8 4.99881.22541  × 10 8 4.99891.22538  × 10 8 4.9988
3204.88355  × 10 10 4.99773.83568  × 10 10 4.99763.83543  × 10 10 4.9977
MOP-WENO-PM6103.54584  × 10 2 -2.88246  × 10 2 -2.76902  × 10 2 -
205.02923  × 10 4 6.13963.95215  × 10 4 6.18853.94515  × 10 4 6.1332
401.59130  × 10 5 4.98211.25010  × 10 5 4.98251.24960  × 10 5 4.9805
804.98858  × 10 7 4.99543.91831  × 10 7 4.99573.91795  × 10 7 4.9952
1601.56020  × 10 8 4.99881.22541  × 10 8 4.99891.22538  × 10 8 4.9988
3204.88355  × 10 10 4.99773.83568  × 10 10 4.99763.83543  × 10 10 4.9977
WENO-PPM5101.73978  × 10 2 -1.34998  × 10 2 -1.27018  × 10 2 -
205.03464  × 10 4 5.11093.95644  × 10 4 5.09263.94865  × 10 4 5.0075
401.59131  × 10 5 4.98361.25011  × 10 5 4.98411.24961  × 10 5 4.9818
804.98858  × 10 7 4.99543.91831  × 10 7 4.99573.91795  × 10 7 4.9952
1601.56020  × 10 8 4.99881.22541  × 10 8 4.99891.22538  × 10 8 4.9988
3204.88356  × 10 10 4.99773.83568  × 10 10 4.99763.83528  × 10 10 4.9978
MOP-WENO-PPM5103.49872  × 10 2 -2.85173  × 10 2 -2.75955  × 10 2 -
205.03464  × 10 4 6.11883.95644  × 10 4 6.17153.94865  × 10 4 6.1269
401.59131  × 10 5 4.98361.25011  × 10 5 4.98411.24961  × 10 5 4.9818
804.98858  × 10 7 4.99543.91831  × 10 7 4.99573.91795  × 10 7 4.9952
1601.56020  × 10 8 4.99881.22541  × 10 8 4.99891.22538  × 10 8 4.9988
3204.88356  × 10 10 4.99773.83568  × 10 10 4.99763.83528  × 10 10 4.9978
WENO-RM(260)101.52661  × 10 2 -1.19792  × 10 2 -1.17698  × 10 2 -
205.02845  × 10 4 4.92413.95138  × 10 4 4.92203.94406  × 10 4 4.8993
401.59130  × 10 5 4.98181.25010  × 10 5 4.98221.24960  × 10 5 4.9801
804.98858  × 10 7 4.99543.91831  × 10 7 4.99573.91795  × 10 7 4.9952
1601.56020  × 10 8 4.99881.22541  × 10 8 4.99891.22538  × 10 8 4.9988
3204.88355  × 10 10 4.99773.83568  × 10 10 4.99763.83543  × 10 10 4.9977
MOP-WENO-RM(260)103.29243  × 10 2 -2.73131  × 10 2 -2.73015  × 10 2 -
205.02845  × 10 4 6.03293.95138  × 10 4 6.11113.94406  × 10 4 6.1132
401.59130  × 10 5 4.98181.25010  × 10 5 4.98221.24960  × 10 5 4.9801
804.98858  × 10 7 4.99543.91831  × 10 7 4.99573.91795  × 10 7 4.9952
1601.56020  × 10 8 4.99881.22541  × 10 8 4.99891.22538  × 10 8 4.9988
3204.88355  × 10 10 4.99773.83568  × 10 10 4.99763.83543  × 10 10 4.9977
WENO-MAIM1106.13264  × 10 2 -4.81375  × 10 2 -4.86913  × 10 2 -
205.08205  × 10 4 6.91504.26155  × 10 4 6.81965.03701  × 10 4 6.5950
401.59130  × 10 5 4.99711.25010  × 10 5 5.09131.24960  × 10 5 5.3330
804.98858  × 10 7 4.99543.91831  × 10 7 4.99573.91795  × 10 7 4.9952
1601.56020  × 10 8 4.99881.22541  × 10 8 4.99891.22538  × 10 8 4.9988
3204.88355  × 10 10 4.99773.83568  × 10 10 4.99763.83543  × 10 10 4.9977
MOP-WENO-MAIM1106.63923  × 10 2 -5.17462  × 10 2 -5.19799  × 10 2 -
205.08205  × 10 4 7.02954.26155  × 10 4 6.92395.03701  × 10 4 6.6892
401.59130  × 10 5 4.99711.25010  × 10 5 5.09131.24960  × 10 5 5.3330
804.98858  × 10 7 4.99543.91831  × 10 7 4.99573.91795  × 10 7 4.9952
1601.56020  × 10 8 4.99881.22541  × 10 8 4.99891.22538  × 10 8 4.9988
3204.88355  × 10 10 4.99773.83568  × 10 10 4.99763.83543  × 10 10 4.9977
MIP-WENO-ACMk101.52184  × 10 2 -1.19442  × 10 2 -1.17569  × 10 2 -
205.02844  × 10 4 4.91963.95138  × 10 4 4.91783.94406  × 10 4 4.8977
401.59130  × 10 5 4.98181.25010  × 10 5 4.98221.24960  × 10 5 4.9801
804.98858  × 10 7 4.99543.91831  × 10 7 4.99573.91795  × 10 7 4.9952
1601.56020  × 10 8 4.99881.22541  × 10 8 4.99891.22538  × 10 8 4.9988
3204.88355  × 10 10 4.99773.83568  × 10 10 4.99763.83543  × 10 10 4.9977
MOP-WENO-ACMk103.29609  × 10 2 -2.72363  × 10 2 -2.70295  × 10 2 -
205.02844  × 10 4 6.03453.95138  × 10 4 6.10703.94406  × 10 4 6.0987
401.59130  × 10 5 4.98181.25010  × 10 5 4.98221.24960  × 10 5 4.9801
804.98858  × 10 7 4.99543.91831  × 10 7 4.99573.91795  × 10 7 4.9952
1601.56020  × 10 8 4.99881.22541  × 10 8 4.99891.22538  × 10 8 4.9988
3204.88355  × 10 10 4.99773.83568  × 10 10 4.99763.83543  × 10 10 4.9977
Table 3. Convergence properties of considered schemes on solving u t + u x = 0 with initial condition u ( x , 0 ) = sin ( π x sin ( π x ) / π ) . To be continued.
Table 3. Convergence properties of considered schemes on solving u t + u x = 0 with initial condition u ( x , 0 ) = sin ( π x sin ( π x ) / π ) . To be continued.
SchemeN L 1 Error L 1 Order L 2 Error L 2 Order L Error L Order
WENO-JS101.24488  × 10 1 -1.09463  × 10 1 -1.24471  × 10 1 -
201.01260  × 10 2 3.61998.72198  × 10 3 3.64961.43499  × 10 2 3.1167
407.22169  × 10 4 3.80966.76133  × 10 4 3.68931.09663  × 10 3 3.7099
803.42286  × 10 5 4.39913.63761  × 10 5 4.21629.02485  × 10 5 3.6030
1601.58510  × 10 6 4.43262.29598  × 10 6 3.98588.24022  × 10 6 3.4531
3207.95517  × 10 8 4.31651.68304  × 10 7 3.77008.31702  × 10 7 3.3085
WENO-Z105.85966  × 10 2 -4.83441  × 10 2 -5.14928  × 10 2 -
203.21455  × 10 3 4.18812.72340  × 10 3 4.14993.67979  × 10 3 3.8067
401.35382  × 10 4 4.56951.35344  × 10 4 4.33072.31013  × 10 4 3.9936
804.67008  × 10 6 4.85744.50404  × 10 6 4.90936.79475  × 10 6 5.0874
1601.50985  × 10 7 4.95101.42363  × 10 7 4.98362.14556  × 10 7 4.9850
3204.76201  × 10 9 4.98674.45798  × 10 9 4.99706.71078  × 10 9 4.9987
WENO-M107.53259  × 10 2 -6.39017  × 10 2 -7.49250  × 10 2 -
203.70838  × 10 3 4.34433.36224  × 10 3 4.24845.43666  × 10 3 3.7847
401.45082  × 10 4 4.67581.39007  × 10 4 4.59622.18799  × 10 4 4.6350
804.80253  × 10 6 4.91694.52646  × 10 6 4.94066.81451  × 10 6 5.0049
1601.52120  × 10 7 4.98051.42463  × 10 7 4.98972.14545  × 10 7 4.9893
3204.77083  × 10 9 4.99484.45822  × 10 9 4.99806.71080  × 10 9 4.9987
MOP-WENO-M109.41832  × 10 2 -8.03446  × 10 2 -9.78919  × 10 2 -
206.59540  × 10 3 3.83596.37937  × 10 3 3.65478.97094  × 10 3 3.4479
402.60456  × 10 4 4.66232.50868  × 10 4 4.66844.10480  × 10 4 4.4499
804.80253  × 10 6 5.76114.52646  × 10 6 5.79246.81451  × 10 6 5.9126
1601.52120  × 10 7 4.98051.42463  × 10 7 4.98972.14545  × 10 7 4.9893
3204.77083  × 10 9 4.99484.45822  × 10 9 4.99806.71080  × 10 9 4.9987
WENO-IM(2, 0.1)108.38131  × 10 2 -6.71285  × 10 2 -7.62798  × 10 2 -
204.30725  × 10 3 4.28233.93700  × 10 3 4.09185.84039  × 10 3 3.7072
401.51327  × 10 4 4.83101.41737  × 10 4 4.79582.10531  × 10 4 4.7940
804.85592  × 10 6 4.96184.53602  × 10 6 4.96566.82606  × 10 6 4.9468
1601.52659  × 10 7 4.99141.42479  × 10 7 4.99262.14534  × 10 7 4.9918
3204.77654  × 10 9 4.99824.45805  × 10 9 4.99826.71079  × 10 9 4.9986
MOP-WENO-IM(2, 0.1)108.49795  × 10 2 -7.29388  × 10 2 -9.47429  × 10 2 -
207.01287  × 10 3 3.59906.80019  × 10 3 3.42309.96943  × 10 3 3.2484
402.59767  × 10 4 4.75472.51121  × 10 4 4.75914.01785  × 10 4 4.6330
804.85592  × 10 6 5.74134.53602  × 10 6 5.79086.82606  × 10 6 5.8792
1601.52659  × 10 7 4.99141.42479  × 10 7 4.99262.14534  × 10 7 4.9918
3204.77654  × 10 9 4.99824.45805  × 10 9 4.99826.71079  × 10 9 4.9986
WENO-PM6109.51313  × 10 2 -7.83600  × 10 2 -9.32356  × 10 2 -
204.82173  × 10 3 4.30234.29510  × 10 3 4.18945.91037  × 10 3 3.9796
401.55428  × 10 4 4.95521.43841  × 10 4 4.90012.09540  × 10 4 4.8180
804.87327  × 10 6 4.99524.54036  × 10 6 4.98556.83270  × 10 6 4.9386
1601.52750  × 10 7 4.99561.42488  × 10 7 4.99392.14532  × 10 7 4.9932
3204.77729  × 10 9 4.99884.45807  × 10 9 4.99836.71079  × 10 9 4.9986
MOP-WENO-PM6101.00298  × 10 1 -8.49034  × 10 2 -9.88357  × 10 2 -
205.84504  × 10 3 4.10095.80703  × 10 3 3.86999.01779  × 10 3 3.4542
402.51725  × 10 4 4.53732.40678  × 10 4 4.59263.66822  × 10 4 4.6196
804.87327  × 10 6 5.69084.54036  × 10 6 5.72826.83270  × 10 6 5.7465
1601.52750  × 10 7 4.99561.42488  × 10 7 4.99392.14532  × 10 7 4.9932
3204.77729  × 10 9 4.99884.45807  × 10 9 4.99836.71079  × 10 9 4.9986
WENO-PPM5109.22982  × 10 2 -7.46925  × 10 2 -8.46229  × 10 2 -
204.68376  × 10 3 4.30064.18882  × 10 3 4.15635.92748  × 10 3 3.8356
401.55745  × 10 4 4.91041.44018  × 10 4 4.86222.09420  × 10 4 4.8229
804.88795  × 10 6 4.99384.54528  × 10 6 4.98576.83617  × 10 6 4.9371
1601.52852  × 10 7 4.99901.42506  × 10 7 4.99532.14527  × 10 7 4.9940
3204.77759  × 10 9 4.99974.45812  × 10 9 4.99846.71080  × 10 9 4.9985
MOP-WENO-PPM5109.50369  × 10 2 -8.08190  × 10 2 -9.65522  × 10 2 -
206.27179  × 10 3 3.92156.11267  × 10 3 3.72488.98120  × 10 3 3.4263
402.52600  × 10 4 4.63402.41656  × 10 4 4.66083.69338  × 10 4 4.6039
804.88795  × 10 6 5.69154.54528  × 10 6 5.73246.83617  × 10 6 5.7556
1601.52852  × 10 7 4.99901.42506  × 10 7 4.99532.14527  × 10 7 4.9940
3204.77759  × 10 9 4.99974.45812  × 10 9 4.99846.71080  × 10 9 4.9985
WENO-RM(260)108.24328  × 10 2 -6.64590  × 10 2 -7.64206  × 10 2 -
204.37642  × 10 3 4.23544.00547  × 10 3 4.05245.88375  × 10 3 3.6992
401.52200  × 10 4 4.84571.42162  × 10 4 4.81642.09889  × 10 4 4.8090
804.86434  × 10 6 4.96764.53769  × 10 6 4.96946.83016  × 10 6 4.9416
1601.52735  × 10 7 4.99311.42486  × 10 7 4.99312.14533  × 10 7 4.9926
3204.77728  × 10 9 4.99874.45807  × 10 9 4.99836.71079  × 10 9 4.9986
MOP-WENO-RM(260)108.96509  × 10 2 -7.51169  × 10 2 -9.20962  × 10 2 -
206.87612  × 10 3 3.70476.65488  × 10 3 3.49679.75043  × 10 3 3.2396
402.59418  × 10 4 4.72822.51194  × 10 4 4.72754.03065  × 10 4 4.5964
804.86434  × 10 6 5.73694.53769  × 10 6 5.79076.83016  × 10 6 5.8829
1601.52735  × 10 7 4.99311.42486  × 10 7 4.99312.14533  × 10 7 4.9926
3204.77728  × 10 9 4.99874.45807  × 10 9 4.99836.71079  × 10 9 4.9986
WENO-MAIM1101.24659  × 10 1 -1.14152  × 10 1 -1.40438  × 10 1 -
208.07923  × 10 3 3.94767.08117  × 10 3 4.01081.03772  × 10 2 3.7584
403.32483  × 10 4 4.60293.36264  × 10 4 4.39636.62891  × 10 4 3.9685
801.01162  × 10 5 5.03851.49724  × 10 5 4.48924.48554  × 10 5 3.8854
1601.52910  × 10 7 6.04781.42515  × 10 7 6.71502.14522  × 10 7 7.7080
3204.77728  × 10 9 5.00034.45807  × 10 9 4.99866.71079  × 10 9 4.9985
MOP-WENO-MAIM1101.27999  × 10 1 -1.12692  × 10 1 -1.31113  × 10 1 -
207.62753  × 10 3 4.06886.93240  × 10 3 4.02291.27480  × 10 2 3.3625
403.37132  × 10 4 4.49983.36497  × 10 4 4.36476.40953  × 10 4 4.3139
801.01162  × 10 5 5.05861.49724  × 10 5 4.49024.48554  × 10 5 3.8369
1601.52910  × 10 7 6.04781.42515  × 10 7 6.71502.14522  × 10 7 7.7080
3204.77728  × 10 9 5.00034.45807  × 10 9 4.99866.71079  × 10 9 4.9985
MIP-WENO-ACMk108.75629  × 10 2 -6.98131  × 10 2 -7.91292  × 10 2 -
204.39527  × 10 3 4.31634.02909  × 10 3 4.11505.89045  × 10 3 3.7478
401.52219  × 10 4 4.85171.42172  × 10 4 4.82472.09893  × 10 4 4.8107
804.86436  × 10 6 4.96784.53770  × 10 6 4.96956.83017  × 10 6 4.9416
1601.52735  × 10 7 4.99311.42486  × 10 7 4.99312.14533  × 10 7 4.9926
3204.77728  × 10 9 4.99874.45807  × 10 9 4.99836.71079  × 10 9 4.9986
MOP-WENO-ACMk109.08634  × 10 2 -7.58160  × 10 2 -9.29135  × 10 2 -
207.09246  × 10 3 3.67936.88532  × 10 3 3.46091.01479  × 10 2 3.1947
402.59429  × 10 4 4.77292.51208  × 10 4 4.77664.03069  × 10 4 4.6540
804.86436  × 10 6 5.73694.53770  × 10 6 5.79086.83017  × 10 6 5.8830
1601.52735  × 10 7 4.99311.42486  × 10 7 4.99312.14533  × 10 7 4.9926
3204.77728  × 10 9 4.99874.45807  × 10 9 4.99836.71079  × 10 9 4.9986
Table 4. Performances of various considered schemes on solving u t + u x = 0 with u ( x , 0 ) = sin 9 ( π x ) , N = 200 .
Table 4. Performances of various considered schemes on solving u t + u x = 0 with u ( x , 0 ) = sin 9 ( π x ) , N = 200 .
MIP-WENO-ACMkMOP-WENO-ACMk
Time, t L 1 error χ 1 L error χ L 1 error χ 1 L error χ
108.42873  × 10 5 -1.38205  × 10 4 -1.55900  × 10 4 85%5.22964  × 10 4 278%
1008.35747  × 10 4 -1.36404  × 10 3 -2.72470  × 10 3 226%9.83147  × 10 3 621%
2001.65557  × 10 3 -2.68955  × 10 3 -4.11740  × 10 3 149%6.66166  × 10 3 148%
5003.95849  × 10 3 -6.45564  × 10 3 -8.34435  × 10 3 111%1.83215  × 10 2 184%
10007.24723  × 10 3 -1.21593  × 10 2 -1.54830  × 10 2 114%3.16523  × 10 2 160%
WENO-JSWENO-Z
Time, t L 1 error χ 1 L error χ L 1 error χ 1 L error χ
103.86931  × 10 4 359%5.36940  × 10 4 289%9.25912  × 10 5 10%1.38334  × 10 4 0%
1005.42288  × 10 3 549%1.20056  × 10 2 780%1.45856  × 10 3 75%3.76895  × 10 3 176%
2002.35657  × 10 2 1323%6.47820  × 10 2 2309%8.32696  × 10 3 403%3.37176  × 10 2 1154%
5001.55650  × 10 1 3832%2.57663  × 10 1 3891%8.95980  × 10 2 2163%1.94577  × 10 1 2914%
10002.91359  × 10 1 3920%4.44664  × 10 1 3557%1.42377  × 10 1 1865%2.80558  × 10 1 2207%
WENO-MMOP-WENO-M
Time, t L 1 error χ 1 L error χ L 1 error χ 1 L error χ
108.90890  × 10 5 6%1.38348  × 10 4 0%1.56466  × 10 4 86%5.08956  × 10 4 268%
1001.29154  × 10 3 55%3.32665  × 10 3 144%2.88442  × 10 3 245%1.01393  × 10 2 643%
2005.74021  × 10 3 247%2.37125  × 10 2 782%5.11795  × 10 3 209%1.02172  × 10 2 280%
5004.89290  × 10 2 1136%1.78294  × 10 1 2662%9.09352  × 10 3 130%1.98022  × 10 2 207%
10001.34933  × 10 1 1762%3.17199  × 10 1 2509%1.75990  × 10 2 143%4.01776  × 10 2 230%
WENO-IM(2, 0.1)MOP-WENO-IM(2, 0.1)
Time, t L 1 error χ 1 L error χ L 1 error χ 1 L error χ
108.46989  × 10 5 0%1.38220  × 10 4 0%1.55777  × 10 4 85%5.08361  × 10 4 268%
1008.39425  × 10 4 0%1.36420  × 10 3 0%2.74109  × 10 3 228%9.88287  × 10 3 625%
2001.67834  × 10 3 1%2.68977  × 10 3 0%4.16210  × 10 3 151%6.81406  × 10 3 153%
5004.17514  × 10 3 5%8.13666  × 10 3 12%8.37898  × 10 3 112%1.84998  × 10 2 187%
10006.45231  × 10 3 0%1.21388  × 10 2 0%1.25166  × 10 2 73%2.02754  × 10 2 67%
WENO-PM6MOP-WENO-PM6
Time, t L 1 error χ 1 L error χ L 1 error χ 1 L error χ
108.40259  × 10 5 0%1.38205  × 10 4 0%1.53937  × 10 4 83%4.92116  × 10 4 256%
1008.30374  × 10 4 −1%1.36410  × 10 3 0%2.70283  × 10 3 223%9.52154  × 10 3 598%
2001.63963  × 10 3 −1%2.68938  × 10 3 0%4.07454  × 10 3 146%6.49923  × 10 3 142%
5003.88864  × 10 3 −2%6.45650  × 10 3 0%8.46326  × 10 3 114%1.83171  × 10 2 184%
10007.17606  × 10 3 -1%1.21637  × 10 2 0%1.54196  × 10 2 113%3.15065  × 10 2 159%
WENO-PPM5MOP-WENO-PPM5
Time, t L 1 error χ 1 L error χ L 1 error χ 1 L error χ
108.40198  × 10 5 0%1.38206  × 10 4 0%1.53322  × 10 4 82%4.97691  × 10 4 260%
1008.30119  × 10 4 −1%1.36411  × 10 3 0%2.70476  × 10 3 224%9.71919  × 10 3 613%
2001.63931  × 10 3 −1%2.68939  × 10 3 0%4.17894  × 10 3 152%6.89990  × 10 3 157%
5003.89396  × 10 3 −2%6.45658  × 10 3 0%8.34997  × 10 3 111%1.83470  × 10 2 184%
10007.20573  × 10 3 −1%1.21629  × 10 2 0%1.21149  × 10 2 67%1.87607  × 10 2 54%
WENO-RM(260)MOP-WENO-RM(260)
Time, t L 1 error χ 1 L error χ L 1 error χ 1 L error χ
108.43348  × 10 5 0%1.38206  × 10 4 0%1.55787  × 10 4 85%5.05390  × 10 4 266%
1008.35534  × 10 4 0%1.36404  × 10 3 0%2.72147  × 10 3 226%9.74612  × 10 3 615%
2001.65314  × 10 3 0%2.68956  × 10 3 0%4.13179  × 10 3 150%6.71615  × 10 3 150%
5003.94006  × 10 3 0%6.45544  × 10 3 0%8.32505  × 10 3 110%1.83262  × 10 2 184%
10007.25689  × 10 3 0%1.21576  × 10 2 0%1.57577  × 10 2 117%3.30552  × 10 2 172%
WENO-MAIM1MOP-WENO-MAIM1
Time, t L 1 error χ 1 L error χ L 1 error χ 1 L error χ
108.24623  × 10 5 −2%1.38215  × 10 4 0%9.97376  × 10 5 18%1.38172  × 10 4 0%
1008.03920  × 10 4 −4%1.36392  × 10 3 0%8.16839  × 10 4 −2%1.36470  × 10 3 0%
2001.58626  × 10 3 −4%2.68849  × 10 3 0%1.60912  × 10 3 −3%2.68832  × 10 3 0%
5003.77900  × 10 3 −5%6.46356  × 10 3 0%6.83393  × 10 3 73%1.63188  × 10 2 153%
10007.04287  × 10 3 −3%1.21473  × 10 2 0%1.24817  × 10 2 72%2.22178  × 10 2 83%
Table 5. Performance of various considered schemes on solving u t + u x = 0 with u ( x , 0 ) = sin 9 ( π x ) , N = 800 .
Table 5. Performance of various considered schemes on solving u t + u x = 0 with u ( x , 0 ) = sin 9 ( π x ) , N = 800 .
MIP-WENO-ACMkMOP-WENO-ACMk
Time, t L 1 error χ 1 L error χ L 1 error χ 1 L error χ
108.28794  × 10 8 -1.36172  × 10 7 -8.47930  × 10 8 2%1.36172  × 10 7 0%
1008.28891  × 10 7 -1.36206  × 10 6 -9.73202  × 10 7 17%1.79160  × 10 6 32%
2001.65782  × 10 6 -2.72415  × 10 6 -1.78369  × 10 6 8%2.72415  × 10 6 0%
5004.14451  × 10 6 -6.81018  × 10 6 -4.84739  × 10 6 17%8.79296  × 10 6 29%
10008.28868  × 10 6 -1.36194  × 10 5 -8.61232  × 10 6 4%1.36194  × 10 5 0%
WENO-JSWENO-Z
Time, t L 1 error χ 1 L error χ L 1 error χ 1 L error χ
104.23531  × 10 7 411%6.95290  × 10 7 411%8.28830  × 10 8 0%1.36173  × 10 7 0%
1004.74028  × 10 6 472%1.09481  × 10 5 704%8.28938  × 10 7 0%1.36207  × 10 6 0%
2007.29285  × 10 5 4299%9.51604  × 10 4 34832%2.10734  × 10 6 27%9.02795  × 10 6 231%
5003.11698  × 10 2 751974%8.63989  × 10 2 1268573%9.91182  × 10 4 23816%1.65219  × 10 2 242506%
10001.01278  × 10 1 1221783%2.13485  × 10 1 1567407%2.82670  × 10 3 34003%1.85472  × 10 2 136082%
WENO-MMOP-WENO-M
Time, t L 1 error χ 1 L error χ L 1 error χ 1 L error χ
108.28912  × 10 8 0%1.36173  × 10 7 0%8.48762  × 10 8 2%1.36173  × 10 7 0%
1008.29015  × 10 7 0%1.36207  × 10 6 0%9.93577  × 10 7 20%2.03738  × 10 6 50%
2002.27991  × 10 6 38%1.22731  × 10 5 351%1.81123  × 10 6 9%2.72417  × 10 6 0%
5001.41413  × 10 3 34021%1.90785  × 10 2 280047%4.68314  × 10 6 13%6.81022  × 10 6 0%
10001.83325  × 10 2 221075%1.38215  × 10 1 1014739%8.53126  × 10 6 3%1.36195  × 10 5 0%
WENO-IM(2, 0.1)MOP-WENO-IM(2, 0.1)
Time, t L 1 error χ 1 L error χ L 1 error χ 1 L error χ
108.28803  × 10 8 0%1.36172  × 10 7 0%8.48292  × 10 8 2%1.36172  × 10 7 0%
1008.28891  × 10 7 0%1.36206  × 10 6 0%9.80868  × 10 7 18%1.87953  × 10 6 38%
2001.65781  × 10 6 0%2.72415  × 10 6 0%1.79137  × 10 6 8%2.72415  × 10 6 0%
5004.14443  × 10 6 0%6.81019  × 10 6 0%4.88306  × 10 6 18%9.14624  × 10 6 34%
10008.28840  × 10 6 0%1.36194  × 10 5 0%8.63424  × 10 6 4%1.36194  × 10 5 0%
WENO-PM6MOP-WENO-PM6
Time, t L 1 error χ 1 L error χ L 1 error χ 1 L error χ
108.28795  × 10 8 0%1.36172  × 10 7 0%8.47719  × 10 8 2%1.36172  × 10 7 0%
1008.28892  × 10 7 0%1.36206  × 10 6 0%9.71688  × 10 7 17%1.78452  × 10 6 31%
2001.65782  × 10 6 0%2.72415  × 10 6 0%1.78163  × 10 6 7%2.72415  × 10 6 0%
5004.14452  × 10 6 0%6.81018  × 10 6 0%4.93547  × 10 6 19%1.08735  × 10 5 60%
10008.84565  × 10 6 7%1.38461  × 10 5 2%8.65269  × 10 6 4%1.36194  × 10 5 0%
WENO-PPM5MOP-WENO-PPM5
Time, t L 1 error χ 1 L error χ L 1 error χ 1 L error χ
108.28794  × 10 8 0%1.36172  × 10 7 0%8.47367  × 10 8 2%1.36172  × 10 7 0%
1008.28890  × 10 7 0%1.36206  × 10 6 0%1.04103  × 10 6 26%1.78285  × 10 6 31%
2001.65781  × 10 6 0%2.72415  × 10 6 0%1.83725  × 10 6 11%2.72415  × 10 6 0%
5004.14448  × 10 6 0%6.81018  × 10 6 0%4.30721  × 10 6 4%6.81018  × 10 6 0%
10008.28862  × 10 6 0%1.36194  × 10 5 0%8.27506  × 10 6 0%1.36194  × 10 5 0%
WENO-RM(260)MOP-WENO-RM(260)
Time, t L 1 error χ 1 L error χ L 1 error χ 1 L error χ
108.28794  × 10 8 0%1.36172  × 10 7 0%8.48225  × 10 8 2%1.36172  × 10 7 0%
1008.28889  × 10 7 0%1.36206  × 10 6 0%9.56819  × 10 7 15%1.58577  × 10 6 16%
2001.65781  × 10 6 0%2.72415  × 10 6 0%1.77008  × 10 6 7%2.72415  × 10 6 0%
5004.14448  × 10 6 0%6.81018  × 10 6 0%4.72311  × 10 6 14%6.81018  × 10 6 0%
10008.28860  × 10 6 0%1.36194  × 10 5 0%8.55573  × 10 6 3%1.36194  × 10 5 0%
WENO-MAIM1MOP-WENO-MAIM1
Time, t L 1 error χ 1 L error χ L 1 error χ 1 L error χ
108.28796  × 10 8 0%1.36172  × 10 7 0%8.28791  × 10 8 0%1.36172  × 10 7 0%
1008.28893  × 10 7 0%1.36206  × 10 6 0%8.28894  × 10 7 0%1.36206  × 10 6 0%
2001.65782  × 10 6 0%2.72415  × 10 6 0%1.65783  × 10 6 0%2.72415  × 10 6 0%
5004.14450  × 10 6 0%6.81018  × 10 6 0%4.14454  × 10 6 0%6.81018  × 10 6 0%
10008.28865  × 10 6 0%1.36194  × 10 5 0%8.28830  × 10 6 0%1.36194  × 10 5 0%
Table 6. Convergence properties of various considered schemes on solving u t + u x = 0 with initial condition Equation (42), t = 2 . To be continued.
Table 6. Convergence properties of various considered schemes on solving u t + u x = 0 with initial condition Equation (42), t = 2 . To be continued.
SchemeN L 1 Error L 1 Order L 2 Error L 2 Order L Error L Order
WENO-JS2006.30497  × 10 2 -1.08621  × 10 1 -4.09733  × 10 1 -
4002.81654  × 10 2 1.21037.71111  × 10 2 0.49434.19594  × 10 1 −0.0343
8001.41364  × 10 2 0.99455.69922  × 10 2 0.43624.28463  × 10 1 −0.0302
WENO-Z2004.98422  × 10 2 -9.59452  × 10 2 -3.92478  × 10 1 -
4002.37836  × 10 2 1.06746.98647  × 10 2 0.45764.03601  × 10 1 −0.0403
8001.19851  × 10 2 0.98875.14607  × 10 2 0.44114.13262  × 10 1 −0.0341
WENO-M2004.77201  × 10 2 -9.53073  × 10 2 -3.94243  × 10 1 -
4002.23407  × 10 2 1.09496.91333  × 10 2 0.46324.05856  × 10 1 −0.0419
8001.11758  × 10 2 0.99935.09232  × 10 2 0.44114.16937  × 10 1 −0.0389
MOP-WENO-M2005.72690  × 10 2 -1.00827  × 10 1 -4.14785  × 10 1 -
4002.72999  × 10 2 1.06897.33765  × 10 2 0.45854.45144  × 10 1 −0.1019
8001.42908  × 10 2 0.93385.57886  × 10 2 0.39534.64024  × 10 1 −0.0599
WENO-IM(2, 0.1)2004.40293  × 10 2 -9.19118  × 10 2 -3.86789  × 10 1 -
4002.02331  × 10 2 1.12176.68479  × 10 2 0.45943.98769  × 10 1 −0.0441
8001.01805  × 10 2 0.99094.95333  × 10 2 0.43254.09515  × 10 1 −0.0383
MOP-WENO-IM(2, 0.1)2006.09985  × 10 2 -1.03438  × 10 1 -4.35238  × 10 1 -
4002.86731  × 10 2 1.08917.56598  × 10 2 0.45124.62098  × 10 1 −0.0864
8001.45601  × 10 2 0.97775.61842  × 10 2 0.42944.64674  × 10 1 −0.0080
WENO-PM62004.66681  × 10 2 -9.45566  × 10 2 -3.96866  × 10 1 -
4002.13883  × 10 2 1.12566.82948  × 10 2 0.46944.06118  × 10 1 −0.0332
8001.06477  × 10 2 1.00635.03724  × 10 2 0.43914.15277  × 10 1 −0.0322
MOP-WENO-PM62005.45129  × 10 2 -9.95654  × 10 2 -4.02785  × 10 1 -
4002.61755  × 10 2 1.05847.16656  × 10 2 0.47444.26334  × 10 1 −0.0820
8001.38981  × 10 2 0.91335.44733  × 10 2 0.39574.63134  × 10 1 −0.1194
WENO-PPM52004.54081 × 10 2 -9.33165 × 10 2 -3.91076 × 10 1 -
4002.07948 × 10 2 1.12676.76172 × 10 2 0.46474.02214 × 10 1 −0.0405
8001.04018 × 10 2 0.99944.99580 × 10 2 0.43674.12113 × 10 1 −0.0351
MOP-WENO-PPM52005.51553 × 10 2 -9.94592 × 10 2 -4.04763 × 10 1 -
4002.65464 × 10 2 1.05507.19973 × 10 2 0.46624.32887 × 10 1 −0.0969
8001.41381 × 10 2 0.90895.52704 × 10 2 0.38144.68577 × 10 1 −0.1143
WENO-RM(260)2004.63072 × 10 2 -9.40674 × 10 2 -3.96762 × 10 1 -
4002.13545 × 10 2 1.11676.81954 × 10 2 0.46404.08044 × 10 1 −0.0405
8001.06392 × 10 2 1.00525.03289 × 10 2 0.43834.16722 × 10 1 −0.0304
MOP-WENO-RM(260)2005.54343 × 10 2 -9.93009 × 10 2 -4.04041 × 10 1 -
4002.71415 × 10 2 1.03037.22823 × 10 2 0.45824.38358 × 10 1 −0.1176
8001.45563 × 10 2 0.89895.66845 × 10 2 0.35074.70380 × 10 1 −0.1017
WENO-MAIM12005.71142 × 10 2 -1.03257 × 10 1 -4.15051 × 10 1 -
4002.48065 × 10 2 1.20317.29236 × 10 2 0.50184.23185 × 10 1 −0.0280
8001.21078 × 10 2 1.03485.32803 × 10 2 0.45284.28710 × 10 1 −0.0187
MOP-WENO-MAIM12005.98640 × 10 2 -1.05066 × 10 1 -4.12365 × 10 1 -
4002.64819 × 10 2 1.17677.38102 × 10 2 0.50944.26841 × 10 1 −0.0498
8001.33647 × 10 2 0.98665.44089 × 10 2 0.44004.38310 × 10 1 −0.0383
MIP-WENO-ACMk2004.45059 × 10 2 -9.24356 × 10 2 -3.92505 × 10 1 -
4002.03633 × 10 2 1.12806.69718 × 10 2 0.46494.03456 × 10 1 −0.0397
8001.02139 × 10 2 0.99544.95672 × 10 2 0.43424.13217 × 10 1 −0.0345
MOP-WENO-ACMk2005.56533 × 10 2 -9.94223 × 10 2 -4.03765 × 10 1 -
4002.79028 × 10 2 0.99617.33101 × 10 2 0.43964.48412 × 10 1 −0.1513
8001.43891 × 10 2 0.95545.51602 × 10 2 0.41044.67036 × 10 1 −0.0587
Table 7. Convergence properties of various considered schemes on solving u t + u x = 0 with initial condition Equation (42), t = 2000 .
Table 7. Convergence properties of various considered schemes on solving u t + u x = 0 with initial condition Equation (42), t = 2000 .
SchemeN L 1 Error L 1 Order L 2 Error L 2 Order L Error L Order
WENO-JS2006.12899  × 10 1 -5.08726  × 10 1 -7.99265  × 10 1 -
4005.99215  × 10 1 0.03265.01160  × 10 1 0.02168.20493  × 10 1 −0.0378
8005.50158  × 10 1 0.12324.67585  × 10 1 0.10008.14650  × 10 1 0.0103
WENO-Z2003.86995  × 10 1 -3.42335  × 10 1 -6.85835  × 10 1 -
4002.02287  × 10 1 0.93592.18125  × 10 1 0.65035.18993  × 10 1 0.4021
8001.66703  × 10 1 0.27911.94240  × 10 1 0.16735.04564  × 10 1 0.0407
WENO-M2003.81597  × 10 1 -3.59205  × 10 1 -6.89414  × 10 1 -
4003.25323  × 10 1 0.23023.12970  × 10 1 0.19886.75473  × 10 1 0.0295
8003.48528  × 10 1 −0.09943.24373  × 10 1 −0.05166.25645  × 10 1 0.1106
MOP-WENO-M2003.85134  × 10 1 -3.48164  × 10 1 -7.41230  × 10 1 -
4001.74987  × 10 1 1.13811.86418  × 10 1 0.90125.04987  × 10 1 0.5537
8006.40251  × 10 2 1.45051.07629  × 10 1 0.79254.81305  × 10 1 0.0693
WENO-IM(2, 0.1)2002.17411  × 10 1 -2.30000  × 10 1 -5.69864  × 10 1 -
4001.12590  × 10 1 0.94931.64458  × 10 1 0.48394.82180  × 10 1 0.2410
8005.18367  × 10 2 1.11909.98968  × 10 2 0.71924.73102  × 10 1 0.02784
MOP-WENO-IM(2, 0.1)2003.83289  × 10 1 -3.47817  × 10 1 -7.25185  × 10 1 -
4001.67452  × 10 1 1.19471.76550  × 10 1 0.97835.24538  × 10 1 0.4673
8006.44253  × 10 2 1.37801.05858  × 10 1 0.73795.19333  × 10 1 0.0144
WENO-PM62002.17323  × 10 1 -2.28655  × 10 1 -5.63042  × 10 1 -
4001.05197  × 10 1 1.04671.47518  × 10 1 0.63235.04977  × 10 1 0.1570
804.47030  × 10 2 1.23479.34250  × 10 2 0.65904.71368  × 10 1 0.0994
MOP-WENO-PM62004.51487 × 10 1 -4.01683 × 10 1 -7.71539 × 10 1 -
4001.75875 × 10 1 1.36011.83478 × 10 1 1.13055.06314 × 10 1 0.6077
8006.32990 × 10 2 1.47431.04688 × 10 1 0.80954.76091 × 10 1 0.0888
WENO-PPM52002.17174 × 10 1 -2.29008 × 10 1 -5.65575 × 10 1 -
4001.03201 × 10 1 1.07341.46610 × 10 1 0.64345.06463 × 10 1 0.1593
8004.81637 × 10 2 1.09949.47748 × 10 2 0.62945.14402 × 10 1 −0.0224
MOP-WENO-PPM52003.86292 × 10 1 -3.49072 × 10 1 -7.36405 × 10 1 -
4001.75232 × 10 1 1.14041.88491 × 10 1 0.88905.14732 × 10 1 0.5167
8006.36336 × 10 2 1.46141.06801 × 10 1 0.81964.98424 × 10 1 0.0464
WENO-RM(260)2002.17363 × 10 1 -2.28662 × 10 1 -5.62933 × 10 1 -
4001.04347 × 10 1 1.05871.47093 × 10 1 0.63654.98644 × 10 1 0.1750
8004.45176 × 10 2 1.22899.33066 × 10 2 0.65674.71450 × 10 1 0.0809
MOP-WENO-RM(260)2004.56942 × 10 1 -4.06524 × 10 1 -7.71747 × 10 1 -
4002.25420 × 10 1 1.01942.25814 × 10 1 0.84825.12018 × 10 1 0.5919
8008.02414 × 10 2 1.49021.18512 × 10 1 0.93014.90610 × 10 1 0.0616
WENO-MAIM12002.18238 × 10 1 -2.29151 × 10 1 -5.63682 × 10 1 -
4001.09902 × 10 1 0.98971.51024 × 10 1 0.60154.94657 × 10 1 0.1885
8004.41601 × 10 2 1.31549.35506 × 10 2 0.69104.72393 × 10 1 0.0664
MOP-WENO-MAIM12002.39900 × 10 1 -2.47191 × 10 1 -6.06985 × 10 1 -
4001.41890 × 10 1 0.75771.71855 × 10 1 0.52445.61908 × 10 1 0.1113
8005.43475 × 10 2 1.38451.02170 × 10 1 0.75025.10242 × 10 1 0.1392
MIP-WENO-ACMk2002.21312 × 10 1 -2.28433 × 10 1 -5.36234 × 10 1 -
4001.06583 × 10 1 1.05411.46401 × 10 1 0.64185.03925 × 10 1 0.0897
8004.76305 × 10 2 1.16209.40930 × 10 2 0.63785.15924 × 10 1 −0.0339
MOP-WENO-ACMk2003.83033 × 10 1 -3.46814 × 10 1 -7.18464 × 10 1 -
4001.77114 × 10 1 1.11281.87369 × 10 1 0.88835.05980 × 10 1 0.5058
8006.70535 × 10 2 1.40131.09368 × 10 1 0.77674.80890 × 10 1 0.0734
Publisher’s Note: MDPI stays neutral with regard to jurisdictional claims in published maps and institutional affiliations.

Share and Cite

MDPI and ACS Style

Li, R.; Zhong, W. Towards Building the OP-Mapped WENO Schemes: A General Methodology. Math. Comput. Appl. 2021, 26, 67. https://doi.org/10.3390/mca26040067

AMA Style

Li R, Zhong W. Towards Building the OP-Mapped WENO Schemes: A General Methodology. Mathematical and Computational Applications. 2021; 26(4):67. https://doi.org/10.3390/mca26040067

Chicago/Turabian Style

Li, Ruo, and Wei Zhong. 2021. "Towards Building the OP-Mapped WENO Schemes: A General Methodology" Mathematical and Computational Applications 26, no. 4: 67. https://doi.org/10.3390/mca26040067

APA Style

Li, R., & Zhong, W. (2021). Towards Building the OP-Mapped WENO Schemes: A General Methodology. Mathematical and Computational Applications, 26(4), 67. https://doi.org/10.3390/mca26040067

Article Metrics

Back to TopTop