New Stable, Explicit, Shifted-Hopscotch Algorithms for the Heat Equation
Abstract
1. Introduction
2. The New Methods
3. Results
3.1. General Definitions and Circumstances
3.2. Preliminary Tests
(¾, ⅔, ½, ⅓, ¼), (¼, ½, C, ½, ¾), (⅓, ⅔, C, ⅓, ⅔), (C, ½, C, ½, C),
(⅕, ½, ½, ½, ⅘), (¼, ½, ½, ½, ¾), (⅓, ½, ½, ½, ⅔), (0, ½, ½, C, 1).
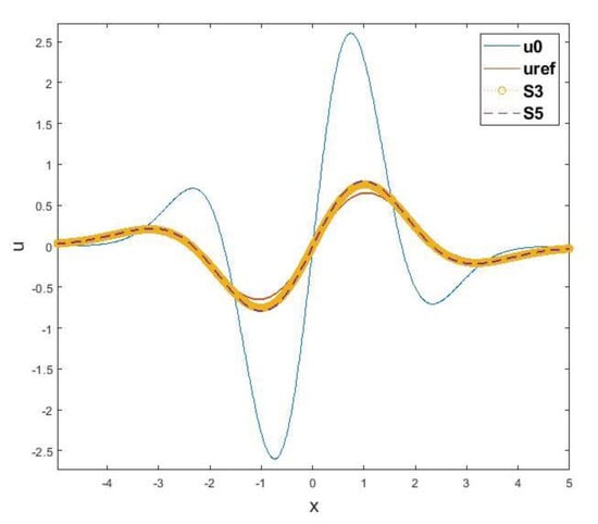
3.3. Case Study I and Comparison with Other Solvers
- ode15s, a first- to fifth-order (implicit) numerical differentiation formula with variable step and variable order (VSVO), developed for solving stiff problems;
- ode23s, a second-order modified (implicit) Rosenbrock formula;
- ode23t, applies (implicit) trapezoidal rule with using free interpolant;
- ode23tb, combines backward differentiation formula and trapezoidal rule;
- ode45, a fourth/fifth-order explicit Runge–Kutta–Dormand–Prince formula;
- ode23, second/third-order explicit Runge–Kutta–Bogacki–Shampine method;
- ode113, first- to 13th- order VSVO Adams–Bashforth–Moulton numerical solver.
S2 (¼, ½, C, ½, ¾),
S3 (¼, ½, ½, ½, ¾),
S4 (0, ½, ½, ½, 1),
S5 (0, ½, ½, C, 1)
3.4. Case Study II and Comparison with Other Solvers
3.5. Verification by Comparison to Analytical Results
3.6. Verification for the Nonlinear Fisher’s Equation
3.7. Analytical Investigations
4. Discussion and Summary
Author Contributions
Funding
Data Availability Statement
Conflicts of Interest
Appendix A
References
- Zhong, J.; Zeng, C.; Yuan, Y.; Zhang, Y.; Zhang, Y. Numerical solution of the unsteady diffusion-convection-reaction equation based on improved spectral Galerkin method. AIP Adv. 2018, 8, 045314. [Google Scholar] [CrossRef]
- Blaj, G.; Kenney, C.J.; Segal, J.; Haller, G. Analytical Solutions of Transient Drift-Diffusion in P–N Junction Pixel Sensors. arXiv 2017, arXiv:1706.01429. [Google Scholar]
- Le Bihan, D. Diffusion MRI: What water tells us about the brain. EMBO Mol. Med. 2014, 6, 569–573. [Google Scholar] [CrossRef] [PubMed]
- Gasparin, S.; Berger, J.; Dutykh, D.; Mendes, N. Stable explicit schemes for simulation of nonlinear moisture transfer in porous materials. J. Build. Perform. Simul. 2018, 11, 129–144. [Google Scholar] [CrossRef]
- Zimmerman, R.W. The Imperial College Lectures in Petroleum Engineering; World Scientific Publishing: Singapore; London, UK, 2018; ISBN 9781786345004. [Google Scholar]
- Fisher, R.A. The Wave of Advance of Advantageous Genes. Ann. Eugen. 1937, 7, 355–369. [Google Scholar] [CrossRef]
- Mojtabi, A.; Deville, M.O. One-dimensional linear advection-diffusion equation: Analytical and finite element solutions. Comput. Fluids 2015, 107, 189–195. [Google Scholar] [CrossRef]
- Barna, I.F.; Bognár, G.; Guedda, M.; Mátyás, L.; Hriczó, K. Analytic self-similar solutions of the Kardar–Parisi–Zhang interface growing equation with various noise terms. Math. Model. Anal. 2020, 25, 241–256. [Google Scholar] [CrossRef]
- Barna, I.F.; Kersner, R. Heat conduction: A telegraph-type model with self-similar behavior of solutions. J. Phys. A Math. Theor. 2010, 43, 375210. [Google Scholar] [CrossRef]
- Mátyás, L.; Barna, I.F. General self-similar solutions of diffusion equation and related constructions. arXiv 2021, arXiv:2104.09128. [Google Scholar]
- Bastani, M.; Salkuyeh, D.K. A highly accurate method to solve Fisher’s equation. Pramana J. Phys. 2012, 78, 335–346. [Google Scholar] [CrossRef]
- Agbavon, K.M.; Appadu, A.R.; Khumalo, M. On the numerical solution of Fisher’s equation with coefficient of diffusion term much smaller than coefficient of reaction term. Adv. Differ. Eq. 2019, 146. [Google Scholar] [CrossRef]
- Zoppou, C.; Knight, J.H. Analytical solution of a spatially variable coefficient advection-diffusion equation in up to three dimensions. Appl. Math. Model. 1999, 23, 667–685. [Google Scholar] [CrossRef]
- Lienhard, J.H., IV; Lienhard, J.H., V. A Heat Transfer Textbook, 4th ed.; Phlogiston Press: Cambridge, MA, USA, 2017; ISBN 9780971383524. [Google Scholar]
- Cusini, M. Dynamic Multilevel Methods for Simulation of Multiphase Flow in Heterogeneous Porous Media; Delft University of Technology: Delft, The Netherlands, 2019. [Google Scholar]
- Appau, P.O.; Dankwa, O.K.; Brantson, E.T. A comparative study between finite difference explicit and implicit method for predicting pressure distribution in a petroleum reservoir. Int. J. Eng. Sci. Technol. 2019, 11, 23–40. [Google Scholar] [CrossRef]
- Moncorgé, A.; Tchelepi, H.A.; Jenny, P. Modified sequential fully implicit scheme for compositional flow simulation. J. Comput. Phys. 2017, 337, 98–115. [Google Scholar] [CrossRef]
- Chou, C.S.; Zhang, Y.T.; Zhao, R.; Nie, Q. Numerical methods for stiff reaction-diffusion systems. Discret. Contin. Dyn. Syst. Ser. B 2007, 7, 515–525. [Google Scholar] [CrossRef]
- Gumel, A.B.; Ang, W.T.; Twizell, E.H. Efficient parallel algorithm for the two-dimensional diffusion equation subject to specification of mass. Int. J. Comput. Math. 1997, 64, 153–163. [Google Scholar] [CrossRef]
- Xue, G.; Feng, H. A new parallel algorithm for solving parabolic equations. Adv. Differ. Eq. 2018, 2018, 1–6. [Google Scholar] [CrossRef]
- Gagliardi, F.; Moreto, M.; Olivieri, M.; Valero, M. The international race towards Exascale in Europe. CCF Trans. High Perform. Comput. 2019, 3–13. [Google Scholar] [CrossRef]
- Reguly, I.Z.; Mudalige, G.R. Productivity, performance, and portability for computational fluid dynamics applications. Comput. Fluids 2020, 199, 104425. [Google Scholar] [CrossRef]
- Gordon, P. Nonsymmetric Difference Equations. J. Soc. Ind. Appl. Math. 1965, 13, 667–673. [Google Scholar] [CrossRef]
- Gourlay, A.R. Hopscotch: A Fast Second-order Partial Differential Equation Solver. IMA J. Appl. Math. 1970, 6, 375–390. [Google Scholar] [CrossRef]
- Gourlay, A.R.; McGuire, G.R. General Hopscotch Algorithm for the Numerical Solution of Partial Differential Equations. IMA J. Appl. Math. 1971, 7, 216–227. [Google Scholar] [CrossRef]
- Gourlay, A.R. Some recent methods for the numerical solution of time-dependent partial differential equations. Proc. R. Soc. Lond. A Math. Phys. Sci. 1971, 323, 219–235. [Google Scholar] [CrossRef]
- Hundsdorfer, W.H.; Verwer, J.G. Numerical Solution of Time-Dependent Advection-Diffusion-Reaction Equations; Springer: Berlin, Germany, 2003. [Google Scholar]
- Morris, J.L.; Nicoll, I.F. Hopscotch methods for an anisotropic thermal print head problem. J. Comput. Phys. 1973, 13, 316–337. [Google Scholar] [CrossRef]
- ten Thije Boonkkamp, J.H.M. The Odd-Even Hopscotch Pressure Correction Scheme for the Incompressible Navier–Stokes Equations. SIAM J. Sci. Stat. Comput. 1988, 9, 252–270. [Google Scholar] [CrossRef]
- Harley, C. Hopscotch method: The numerical solution of the Frank–Kamenetskii partial differential equation. Appl. Math. Comput. 2010, 217, 4065–4075. [Google Scholar] [CrossRef]
- Al-Bayati, A.; Manaa, S.; Al-Rozbayani, A. Comparison of Finite Difference Solution Methods for Reaction Diffusion System in Two Dimensions. AL-Rafidain J. Comput. Sci. Math. 2011, 8, 21–36. [Google Scholar] [CrossRef][Green Version]
- Xu, J.; Shao, S.; Tang, H. Numerical methods for nonlinear Dirac equation. J. Comput. Phys. 2013, 245, 131–149. [Google Scholar] [CrossRef]
- de Goede, E.D.; ten Thije Boonkkamp, J.H.M. Vectorization of the Odd–Even Hopscotch Scheme and the Alternating Direction Implicit Scheme for the Two-Dimensional Burgers Equations. SIAM J. Sci. Stat. Comput. 1990, 11, 354–367. [Google Scholar] [CrossRef]
- Maritim, S.; Rotich, J.K.; Bitok, J.K. Hybrid hopscotch Crank–Nicholson-Du Fort and Frankel (HP-CN-DF) method for solving two dimensional system of Burgers’ equation. Appl. Math. Sci. 2018, 12, 935–949. [Google Scholar] [CrossRef]
- Maritim, S.; Rotich, J.K. Hybrid Hopscotch Method for Solving Two Dimensional System of Burgers’ Equation. Int. J. Sci. Res. 2018, 8, 492–497. [Google Scholar]
- Saleh, M.; Nagy, Á.; Kovács, E. Construction and investigation of new numerical algorithms for the heat equation: Part 1. Multidiszcip. Tudományok 2020, 10, 323–338. [Google Scholar] [CrossRef]
- Saleh, M.; Nagy, Á.; Kovács, E. Construction and investigation of new numerical algorithms for the heat equation: Part 2. Multidiszcip. Tudományok 2020, 10, 339–348. [Google Scholar] [CrossRef]
- Saleh, M.; Nagy, Á.; Kovács, E. Construction and investigation of new numerical algorithms for the heat equation: Part 3. Multidiszcip. Tudományok 2020, 10, 349–360. [Google Scholar] [CrossRef]
- Holmes, M.H. Introduction to Numerical Methods in Differential Equations; Springer: New York, NY, USA, 2007. [Google Scholar]
- Chen-Charpentier, B.M.; Kojouharov, H.V. An unconditionally positivity preserving scheme for advection-diffusion reaction equations. Math. Comput. Model. 2013, 57, 2177–2185. [Google Scholar] [CrossRef]
- Appadu, A.R. Performance of UPFD scheme under some different regimes of advection, diffusion and reaction. Int. J. Numer. Methods Heat Fluid Flow 2017, 27, 1412–1429. [Google Scholar] [CrossRef]
- Kovács, E. New Stable, Explicit, First Order Method to Solve the Heat Conduction Equation. J. Comput. Appl. Mech. 2020, 15, 3–13. [Google Scholar] [CrossRef]
- Kovács, E. A class of new stable, explicit methods to solve the non-stationary heat equation. Numer. Methods Partial Differ. Eq. 2020, 37, 2469–2489. [Google Scholar] [CrossRef]
- Munka, M.; Pápay, J. 4D Numerical Modeling of Petroleum Reservoir Recovery; Akadémiai Kiadó: Budapest, Hungary, 2001; ISBN 963-05-7843-3. [Google Scholar]
- Muñoz-Matute, J.; Calo, V.M.; Pardo, D.; Alberdi, E.; van der Zee, K.G. Explicit-in-time goal-oriented adaptivity. Comput. Methods Appl. Mech. Eng. 2019, 347, 176–200. [Google Scholar] [CrossRef]
- Appadu, A.R. Analysis of the unconditionally positive finite difference scheme for advection-diffusion-reaction equations with different regimes. In Proceedings of the AIP Conference Proceedings; American Institute of Physics Inc.: College Park, MD, USA, 2016; Volume 1738, p. 030005. [Google Scholar]
- Hiriart-Urruty, J.-B.; Lemaréchal, C. Fundamentals of Convex Analysis; Springer: Berlin, Germany, 2001. [Google Scholar]











| Numerical Method | Running Time (s) | |||
|---|---|---|---|---|
| ode15s, | ||||
| ode23s, | ||||
| ode23t, | ||||
| ode23tb, | ||||
| ode45, | ||||
| ode23, | ||||
| ode113, | ||||
| S1, | ||||
| S2, | ||||
| S3, | ||||
| S4, | ||||
| S5, | ||||
| CrN inv | ||||
| CrN lins |
| Numerical Method | Running Time (s) | |||
|---|---|---|---|---|
| ode15s, | ||||
| ode23s, | ||||
| ode23t, | ||||
| ode23tb, | ||||
| ode45, | ||||
| ode23, | ||||
| ode113, | ||||
| S1, | ||||
| S2, | ||||
| S3, | ||||
| S4, | ||||
| S5, | ||||
| CrN inv | ||||
| CrN lins |
Publisher’s Note: MDPI stays neutral with regard to jurisdictional claims in published maps and institutional affiliations. |
© 2021 by the authors. Licensee MDPI, Basel, Switzerland. This article is an open access article distributed under the terms and conditions of the Creative Commons Attribution (CC BY) license (https://creativecommons.org/licenses/by/4.0/).
Share and Cite
Nagy, Á.; Saleh, M.; Omle, I.; Kareem, H.; Kovács, E. New Stable, Explicit, Shifted-Hopscotch Algorithms for the Heat Equation. Math. Comput. Appl. 2021, 26, 61. https://doi.org/10.3390/mca26030061
Nagy Á, Saleh M, Omle I, Kareem H, Kovács E. New Stable, Explicit, Shifted-Hopscotch Algorithms for the Heat Equation. Mathematical and Computational Applications. 2021; 26(3):61. https://doi.org/10.3390/mca26030061
Chicago/Turabian StyleNagy, Ádám, Mahmoud Saleh, Issa Omle, Humam Kareem, and Endre Kovács. 2021. "New Stable, Explicit, Shifted-Hopscotch Algorithms for the Heat Equation" Mathematical and Computational Applications 26, no. 3: 61. https://doi.org/10.3390/mca26030061
APA StyleNagy, Á., Saleh, M., Omle, I., Kareem, H., & Kovács, E. (2021). New Stable, Explicit, Shifted-Hopscotch Algorithms for the Heat Equation. Mathematical and Computational Applications, 26(3), 61. https://doi.org/10.3390/mca26030061

