Effects of Ecological Restoration on the Distribution of Soil Particles and Organic Carbon in Alpine Regions
Abstract
1. Introduction
2. Materials and Methods
2.1. Selection of Sample Plots
2.2. Sample Collection and Indicator Measurement
2.3. Data Analysis
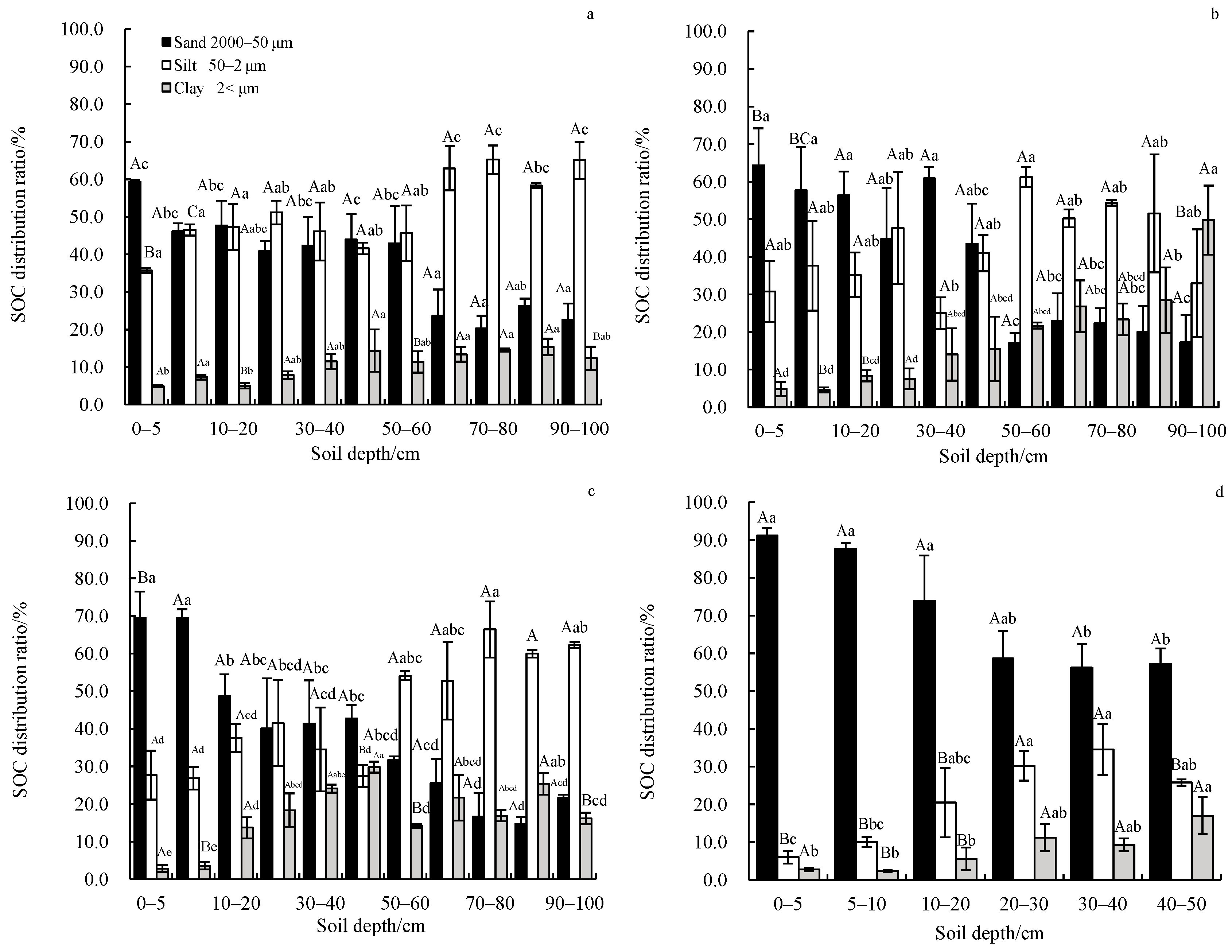
3. Results
3.1. Distribution Characteristics of Soil Particles in Different Restoration Years
3.2. Distribution Characteristics of SOC in Different Restoration Years
3.3. Comparison between Natural and Restored Lands
4. Discussion
5. Conclusions
Author Contributions
Funding
Data Availability Statement
Conflicts of Interest
References
- Tupek, B.; Ortiz, C.A.; Hashimoto, S.; Stendahl, J.; Dahlgren, J.; Karltun, E.; Lehtonen, A. Underestimation of boreal soil carbon stocks by mathematical soil carbon models linked to soil nutrient status. Biogeosciences 2016, 13, 4439–4459. [Google Scholar] [CrossRef]
- Olayemi, O.P.; Kallenbach, C.M.; Wallenstein, M.D. Distribution of soil organic matter fractions are altered with soil priming. Soil Biol. Biochem. 2022, 164, 108494. [Google Scholar] [CrossRef]
- Lehmann, J.; Hansel, C.M.; Kaiser, C.; Kleber, M.; Maher, K.; Manzoni, S.; Nunan, N.; Reichstein, M.; Schimel, J.P.; Torn, M.S.; et al. Persistence of soil organic carbon caused by functional complexity. Nat. Geosci. 2020, 13, 529–534. [Google Scholar] [CrossRef]
- Lan, Z.; Zhao, Y.; Zhang, J.G.; Rui, J.; Khan, M.; Sial, T.A.; Si, B.C. Long-term vegetation restoration Increases deep soil carbon storage in the northern Loess Plateau. Sci. Rep. 2021, 11, 13758. [Google Scholar] [CrossRef]
- Fu, X.; Shao, M.; Wei, X.; Horton, R. Soil organic carbon and total nitrogen as affected by vegetation types in Northern Loess Plateau of China. Geoderma 2010, 155, 31–35. [Google Scholar] [CrossRef]
- Jia, X.X.; Wei, X.R.; Shao, M.A. Distribution of soil carbon and nitrogen along a revegetational succession on the Loess Plateau of China. Catena 2012, 95, 160–168. [Google Scholar] [CrossRef]
- Yang, X.; Zhang, X.; Lv, D.; Yin, S.; Zhang, M.; Zhu, Q.; Yu, Q.; Liu, B. Remote sensing estimation of the soil erosion cover-management factor for China’s Loess Plateau. Land Degrad. Dev. 2020, 31, 1942–1955. [Google Scholar] [CrossRef]
- Laganière, J.; Angers, D.A.; Paré, D. Carbon accumulation in agricultural soils after afforestation: A meta-analysis. Glob. Chang. Biol. 2010, 16, 439–453. [Google Scholar] [CrossRef]
- Zhang, K.; Dang, H.; Tan, S.; Cheng, X.; Zhang, Q. Change in soil organic carbon following the ‘Grain-for-Green’ programme in China. Land Degrad. Dev. 2010, 21, 13–23. [Google Scholar] [CrossRef]
- Bobrovsky, M.; Komarov, A.; Mikhailov, A.; Khanina, L. Modelling dynamics of soil organic matter under different historical land-use management techniques in European Russia. Ecol. Model. 2010, 221, 953–959. [Google Scholar] [CrossRef]
- Hunt, J.R.; Celestina, C.; Kirkegaard, J.A. The realities of climate change, conservation agriculture and soil carbon sequestration. Glob. Chang. Biol. 2020, 26, 3188–3189. [Google Scholar] [CrossRef]
- Wang, Y.; Fu, B.; Lü, Y.; Chen, L. Effects of vegetation restoration on soil organic carbon sequestration at multiple scales in semi-arid Loess Plateau, China. Catena 2011, 85, 58–66. [Google Scholar] [CrossRef]
- Lal, R.; Griffin, M.; Apt, J.; Lave, L.; Morgan, M.G. Ecology. Managing Soil Carbon. Science 2004, 304, 393. [Google Scholar] [CrossRef]
- Paul, K.I.; Polglase, P.J.; Richards, G.P. Sensitivity analysis of predicted change in soil carbon following afforestation. Ecol. Model. 2003, 164, 137–152. [Google Scholar] [CrossRef]
- von Lützow, M.; Kögel-Knabner, I.; Ekschmitt, K.; Flessa, H.; Guggenberger, G.; Matzner, E.; Marschner, B. SOM fractionation methods: Relevance to functional pools and to stabilization mechanisms. Soil Biol. Biochem. 2007, 39, 2183–2207. [Google Scholar] [CrossRef]
- McLauchlan, K.K.; Hobbie, S.E. Comparison of Labile Soil Organic Matter Fractionation Techniques. Soil Sci. Soc. Am. J. 2004, 68, 1616–1625. [Google Scholar] [CrossRef]
- Six, J.; Paustian, K. Aggregate-associated soil organic matter as an ecosystem property and a measurement tool. Soil Biol. Biochem. 2014, 68, A4–A9. [Google Scholar] [CrossRef]
- Novara, A.; Gristina, L.; Kuzyakov, Y.; Schillaci, C.; Laudicina, V.A.; La Mantia, T. Turnover and availability of soil organic carbon under different Mediterranean land-uses as estimated by13C natural abundance. Eur. J. Soil Sci. 2013, 64, 466–475. [Google Scholar] [CrossRef]
- Wu, Y.T.; Jeff, J.S.; Li, F.M.; Qian, P.Y.; Wang, F.; Sukhadev, S.M. Soil particlesize fractionation with centrifugation method. Chin. J. Appl. Ecol. 2004, 15, 477–481. [Google Scholar]
- He, N.; Wu, L.; Wang, Y.; Han, X. Changes in carbon and nitrogen in soil particle-size fractions along a grassland restoration chronosequence in northern China. Geoderma 2009, 150, 302–308. [Google Scholar] [CrossRef]
- Sun, C.; Liu, G.; Xue, S. Natural succession of grassland on the Loess Plateau of China affects multifractal characteristics of soil particle-size distribution and soil nutrients. Ecol. Res. 2016, 31, 891–902. [Google Scholar] [CrossRef]
- Dai, Y.; Dong, Z.; Li, H.; He, Y.; Li, J.; Guo, J. Effects of checkerboard barriers on the distribution of aeolian sandy soil particles and soil organic carbon. Geomorphology 2019, 338, 79–87. [Google Scholar] [CrossRef]
- Wang, G.; Ju, Q.; Cheng, G.; Lai, Y. Soil organic carbon pool of grassland soils on the qinghai-tibetan plateau and its global implication. Sci. Total Environ. 2002, 291, 207–217. [Google Scholar] [CrossRef]
- Brus, D.; Yang, R.-M.; Zhang, G.-L. Three-dimensional geostatistical modeling of soil organic carbon: A case study in the Qilian Mountains, China. Catena 2016, 141, 46–55. [Google Scholar] [CrossRef]
- Li, X.; Gou, X.H.; Wang, N.L.; Sheng, Y.; Jing, H.J.; Qi, Y.; Song, X.Y.; Hou, F.J.; Li, Y.; Zhao, C.M.; et al. Tightening ecological management facilitates green development in the Qilian Mountains. Chin. Sci. Bull. 2019, 64, 2928–2937. [Google Scholar] [CrossRef]
- Xu, Z.L.; Zhao, C.Y.; Feng, Z.D.; Hassan, S.; Wang, C.; Peng, H.H.; Wang, Y.; Zhao, Y.; Wang, Y.; Peng, S.Z.; et al. Estimating realized and potential carbon storage benefits from reforestation and afforestation under climate change: A case study of the Qinghai spruce forests in the Qilian mountains, northwestern China. Mitig. Adapt. Strat. Glob. Chang. 2013, 18, 1257–1268. [Google Scholar] [CrossRef]
- Yang, R.; Su, Y.; Wang, M.; Wang, T.; Yang, X.; Fan, G.; Wu, T. Spatial pattern of soil organic carbon in desert grasslands of the diluvial-alluvial plains of northern Qilian Mountains. J. Arid Land 2014, 6, 136–144. [Google Scholar] [CrossRef]
- Zhu, M.; Feng, Q.; Qin, Y.; Cao, J.; Li, H.; Zhao, Y. Soil organic carbon as functions of slope aspects and soil depths in a semiarid alpine region of Northwest China. Catena 2017, 152, 94–102. [Google Scholar] [CrossRef]
- Li, H.; Wu, Y.; Chen, J.; Zhao, F.; Wang, F.; Sun, Y.; Zhang, G.; Qiu, L. Responses of soil organic carbon to climate change in the Qilian Mountains and its future projection. J. Hydrol. 2021, 596, 126110. [Google Scholar] [CrossRef]
- Zhou, F.L. Stability of Aggregates and Distribution Characteristics of Organic Carbon under Chinese Milk Vetch and Straw. Master’s Thesis, Huazhong Agricultural University, Wuhan, China, 2019. [Google Scholar]
- Baiano, S.; Morra, L. Particulate and mineral-associated organic carbon in aggregates as affected by biowaste compost applications in a mediterranean vegetables cropping system. Commun. Soil Sci. Plant Anal. 2017, 48, 383–394. [Google Scholar] [CrossRef]
- Filley, T.R.; Boutton, T.; Liao, J.D.; Jastrow, J.; Gamblin, D.E. Chemical changes to nonaggregated particulate soil organic matter following grassland-to-woodland transition in a subtropical savanna. J. Geophys. Res. Earth Surf. 2008, 113, 10269. [Google Scholar] [CrossRef]
- Schaeffer, S.M.; Homyak, P.M.; Boot, C.M.; Roux-Michollet, D.; Schimel, J.P. Soil carbon and nitrogen dynamics throughout the summer drought in a California annual grassland. Soil Biol. Biochem. 2017, 115, 54–62. [Google Scholar] [CrossRef]
- Cotrufo, M.F.; Ranalli, M.G.; Haddix, M.L.; Six, J.; Lugato, E. Soil carbon storage informed by particulate and mineral-associated organic matter. Nat. Geosci. 2019, 12, 989–994. [Google Scholar] [CrossRef]
- Poeplau, C.; Kätterer, T.; Leblans, N.I.W.; Sigurdsson, B.D. Sensitivity of soil carbon fractions and their specific stabilization mechanisms to extreme soil warming in a subarctic grassland. Glob. Chang. Biol. 2016, 23, 1316–1327. [Google Scholar] [CrossRef]
- Six, J.; Conant, R.T.; Paul, E.A.; Paustian, K. Stabilization mechanisms of soil organic matter: Implications for C-saturation of soils. Plant Soil 2002, 241, 155–176. [Google Scholar] [CrossRef]







| Category | Soil Depth/cm | Treatment | C/N | SOC/g·kg−1 | Sand/% | Silt/% | Clay/% |
|---|---|---|---|---|---|---|---|
| Grasslands | 0–20 cm | Restored | 9.99 | 25.32 | 67.26 | 28.51 | 4.23 |
| Natural | 3.04 | 10.72 | 72.35 | 24.57 | 3.09 | ||
| >20 cm | Restored | 9.81 | 13.58 | 61.08 | 31.84 | 7.08 | |
| Natural | 2.84 | 7.80 | 63.09 | 32.22 | 4.69 | ||
| Woodlands | 0–20 cm | Restored | 13.69 | 40.53 | 48.04 | 47.67 | 4.29 |
| Natural | 10.35 | 63.16 | 71.60 | 26.59 | 1.81 | ||
| >20 cm | Restored | 23.27 | 61.27 | 34.02 | 54.40 | 11.58 | |
| Natural | 22.44 | 31.04 | 27.46 | 60.84 | 11.70 |
Publisher’s Note: MDPI stays neutral with regard to jurisdictional claims in published maps and institutional affiliations. |
© 2022 by the authors. Licensee MDPI, Basel, Switzerland. This article is an open access article distributed under the terms and conditions of the Creative Commons Attribution (CC BY) license (https://creativecommons.org/licenses/by/4.0/).
Share and Cite
Han, G.; Cao, G.; Cao, S.; Ye, W.; Cheng, G. Effects of Ecological Restoration on the Distribution of Soil Particles and Organic Carbon in Alpine Regions. Separations 2022, 9, 279. https://doi.org/10.3390/separations9100279
Han G, Cao G, Cao S, Ye W, Cheng G. Effects of Ecological Restoration on the Distribution of Soil Particles and Organic Carbon in Alpine Regions. Separations. 2022; 9(10):279. https://doi.org/10.3390/separations9100279
Chicago/Turabian StyleHan, Guangzhao, Guangchao Cao, Shengkui Cao, Wenqian Ye, and Guo Cheng. 2022. "Effects of Ecological Restoration on the Distribution of Soil Particles and Organic Carbon in Alpine Regions" Separations 9, no. 10: 279. https://doi.org/10.3390/separations9100279
APA StyleHan, G., Cao, G., Cao, S., Ye, W., & Cheng, G. (2022). Effects of Ecological Restoration on the Distribution of Soil Particles and Organic Carbon in Alpine Regions. Separations, 9(10), 279. https://doi.org/10.3390/separations9100279

